立法院第11屆第3會期經濟委員會第11次全體委員會議紀錄

時  間 中華民國11451日(星期四)93分至1140

地  點 本院紅樓101會議室

主  席 謝委員衣鳯

議  程 討論事項

審查:

一、本院委員魯明哲等19人擬具「再生能源發展條例第十三條條文修正草案」案。

二、本院委員謝衣鳯等17人擬具「再生能源發展條例第十三條條文修正草案」案。

答詢官員 經濟部部長郭智輝

經濟部能源署代理署長李君禮

繼續開會

主席:繼續開會。

今天是五一勞動節,主席臺所有同仁藉這個佳節向終年勤勉敬業、熱誠奉獻的勞工朋友們表達由衷的敬意,謝謝!所以我們今天的質詢就51分鐘,簡短一點。

現在進行討論事項。請宣讀。

討論事項

審查:

一、本院委員魯明哲等19人擬具「再生能源發展條例第十三條條文修正草案」案。

二、本院委員謝衣鳯等17人擬具「再生能源發展條例第十三條條文修正草案」案。

主席:本日議程所列討論事項「再生能源發展條例第十三條條文修正草案」共計兩個版本。

現在請經濟部郭智輝部長就委員提案進行報告。

郭部長智輝:主席、各位委員、各位女士、先生。今天承蒙貴委員會邀請,就審查()大院委員魯明哲等19人擬具「再生能源發展條例第十三條條文修正草案」、()委員謝衣鳯、羅廷瑋等17人擬具「再生能源發展條例第十三條條文修正草案」,代表本部進行報告,深感榮幸。

本部謹就廢棄物資源化利用(轉廢為能)推動政策,以及大院各委員所擬具草案內容,簡要報告如下,敬請各位委員、先進不吝賜教:

壹、廢棄物資源化利用(轉廢為能)之法規調適策略

自我國9878日制定公布「再生能源發展條例」以來,為促進資源永續循環利用,並配合環境部建立國內廢棄物去化的體系,以及強化「轉廢為能」的管理政策,將「經處理之國內一般及一般事業廢棄物」納入「再生能源發展條例」有關發電躉購與熱利用補助的適用範圍,促使廢棄剩餘資材得以轉換為能源(電能、熱能)進行再利用,並結合跨部門力量共同維護環境生態。

貳、大院委員魯明哲等19人擬具「再生能源發展條例第十三條條文修正草案」,本部說明如下:

一、委員提案

()提案修正第13條第1項第3款規定,針對一般廢棄物或事業廢棄物經處理後所製成之燃料,明定應「符合環境部相關標準」,始得申請相關獎勵補助。

()提案修正第13條第3項規定,建議配合農業部組織改造,修正「行政院農業委員會」為「農業部」。

二、本部意見

()目前環境部推動之強化「轉廢為能」之管理政策,已於廢棄物料源管理(「廢棄物清理法」及其相關子法)、空氣污染排放(「空氣污染防制法」及其相關子法)等法規明定相關標準規範,因此廢棄物作燃料再利用,自應符合環境部相關標準及法令。

()因此,有關委員提案修正第13條第1項第3款部分,提案內容與目前推動方向相符,本部敬表贊同。

()另委員提案修正第13條第3項規定,將會同機關由「行政院農業委員會」修正為「農業部」一節,本部敬表尊重。

參、大院委員謝衣鳯、羅廷瑋等17人擬具「再生能源發展條例第十三條條文修正草案」,本部說明如下:

一、委員提案

提案修正第13條第3項規定,建議配合農業部組織改造,修正「行政院農業委員會」為「農業部」。

二、本部意見:

委員提案修正第13條第3項規定,將「行政院農業委員會」修正為「農業部」一節,本部敬表尊重。

肆、結語

感謝大院諸位委員對於我國再生能源發展政策所提供建議,本部謹表敬佩。

「再生能源發展條例」自98年制定公布以來,因應國際上採用廢棄物能源替代石化燃料使用,協助廢棄物處理、降低環境污染及產業減碳排放等淨零永續規劃。因此,經濟部配合環境部廢棄物處理政策,鼓勵地方政府與企業投入資源,推動高效能廢棄物能源化設施,提升能源使用效率。

本部以上報告,謹請各位委員指正賜教,並祝各位委員身體健康,諸事順利。

主席:謝謝。現在進行詢答,委員詢答前援例作以下宣告:每位委員發言時間,本會委員5分鐘,必要時得延長1分鐘;非本會委員4分鐘,上午1030分截止發言登記。

首先請陳亭妃委員發言。

陳委員亭妃:98分)謝謝主席,我們請部長還有能源署署長。

主席:部長、署長。

郭部長智輝:委員早。

陳委員亭妃:部長好。418號其實我們辦公室就已經轉了的麻豆「大地莊園」的陳情書給能源署,他們的立場很簡單,誰都知道光電很重要,但要取之有道,我們一直要求光電業者必須要溝通協調。如果你住了二十年的環境,這個環境是過去臺南縣政府蘇煥智縣長一直強調要做臺灣第一個綠建築的莊園,這邊住了非常多人,是一個集中型住宅,結果在二十年後,突然之間他可能一覺醒來周邊全部都變成光電板!雖然是屋頂型光電板,它還是光電板,而且必須是在室內養殖,有一個實質建物之後,在上面蓋光電板,等於周邊全部都是水泥建物,然後上面加光電板。將心比心,他們完全被蒙在鼓裡都不知道,當他們看到一棟一棟的室內養殖如雨後春筍慢慢出現的時候,才發現茲事體大,原來不是只要做室內養殖,要做的是屋頂型光電板,難怪整個炸鍋!他們求助無門,最後拿了這一個陳情書來給我,他們陸續還在簽署。

我一直都跟經濟部還有能源署說,我們為什麼不開大門走大路?今天我們一直強調你要跟地方溝通,每一次廠商都是先斬後奏,廠商已經看到、拿到了相關執照之後,讓地方民眾產生反彈,你要去溝通,請問你要怎麼溝通?為什麼每一次在臺南都發生這樣的事件,每一次都讓人民很失望?部長,這個部分其實很單純,但單純到讓地方政府跟中央在踢皮球,為什麼?地方政府現在切開,因為室內養殖是拿地方政府的農許,當有農許之後可以蓋室內養殖後,他可以跟能源署申請屋頂型光電板,它是不用環評的。所以他就是用這樣以法玩法的方式,這樣的作法造成地方反彈。現在問題到了你們這裡,設屋頂型光電板一定要跟能源署申請工作許可證,那我們怎麼辦?我們怎麼處理?

郭部長智輝:報告委員,您這個部分的垂詢,我們可以了解一個關鍵,也就是我們在事前沒有跟地方居民做一個比較好的溝通,所以進行這件事情的時候當然造成居民不解而反對。就這個案子來講,我們中央的態度還是一樣,就是任何公共措施、任何辦法在推動的時候,我們還是要尋求當地居民的支持,我想政府的建設如果沒有國人的支持,政府的施政大概意義就不大。所以這一部分我們會再多多溝通,等到居民同意,我們再考慮放行,這是我們的作法。

那剛才您在說的法的部分,我想這也是要請大院裡面的各位委員大家來協助,對於我們在方法上面發現一些比較有疏漏的地方的話,我們都可以討論做修正。原則上我們所有的綠能政策都希望能夠獲得國人的支持,當地居民如果有反對,我們也不會強硬通過這樣的一個作法。

陳委員亭妃:部長,真的要拜託,我們一定要跟所有的光電業者說,如果可以開大門走大路,事前讓所有的居民知道到底你要做什麼,事前溝通絕對會比反彈之後的溝通更好處理。

郭部長智輝:是。

陳委員亭妃:可是現在大家都反彈了,已經對廠商沒有信任感,所以真的這個你們要把關。

郭部長智輝:我們會要求。

陳委員亭妃:而且將心比心。

郭部長智輝:是。

陳委員亭妃:如果你周邊、你住的環境全部都被光電板圍起來了,你會心安嗎?

郭部長智輝:是,我想我們大家的想法都會一致,這個部分我們會檢討改善。

陳委員亭妃:再拜託部長。然後我認為其實有很多農業部有劃設出來,離居民比較遠的地方,像有些是根本魚塭、養殖已經沒有辦法處理的,還有就是無法耕作、無法養殖的貧瘠地,這個部分為什麼我們都不去做相關的規劃?這些都離居民很遠,反而他們都要往居民多的地方去擠、去壓,這不是很奇怪嗎?

郭部長智輝:是,報告委員,我們現在已經朝這個方向在努力了,我們將來會公告哪些地方是適合光電業者去開發的;我們會先公告。

陳委員亭妃:我們甚至鼓勵他也沒有問題啊!是不是?

郭部長智輝:是。

陳委員亭妃:因為我知道貧瘠地可能距離會比較遠,他要做的饋線等所有設施會比較花重本,可是我們不能因為這樣,就讓光電業者為了獲利而往人民的居住範圍去壓,這是不對的!

郭部長智輝:報告委員,我們一定會以國人的福祉為第一優先,不會以業者的福祉為第一優先。

陳委員亭妃:所以部長拜託,這個案子請你們一定要把關。

郭部長智輝:是,謝謝委員指導。

陳委員亭妃:請能源署一定要把關。你們有把關,才會讓光電業者有壓力,這個部分再拜託!

郭部長智輝:謝謝委員。

陳委員亭妃:在民眾還沒有同意之前,你絕對不能核發工作許可證,這個是很重要的,拜託!謝謝!

主席:謝謝。現在請張嘉郡委員做詢答。

張委員嘉郡:916分)主席,我想請郭部長。

主席:部長。

張委員嘉郡:部長早安。

郭部長智輝:委員早。

張委員嘉郡:部長,你今天頭髮吹得特別帥喔!讚美你一下。

郭部長智輝:謝謝。

張委員嘉郡:部長,最近我非常關心你,你在網路節目接受專訪,針對核能延役的議題提出不少具體的看法跟想法。上上週本席也有提醒你,或許購買核電設備甚至它的技術,對於美國對等關稅的談判是一個對臺灣很好的籌碼。顯然你很願意深入面對現在政府錯誤能源政策的調整跟挑戰,本席在此要表示肯定。但是能源問題並不是朝夕可解的,我想要瞭解目前您具體的看法為何?

郭部長智輝:報告委員,所謂的錯誤或者正確是要假以時日才能夠斷定,每一個時間都有當時的需求,我們現在是……

張委員嘉郡:目前針對核能延役的部分,您說您有具體的想法,可以說明一下嗎?

郭部長智輝:報告委員,對於您剛才講的新的科技技術,我想我們基本上的原則就是不會排斥,我們也歡迎討論。對於剛才所指導的核能的部分,我們基本上就是三個原則……

張委員嘉郡:我知道,核能安全、全民共識、核廢料處理問題。你看,你講到我都會背了!這的確非常重要。我想要知道,假設本院通過將安全年限延長到60年的話,經濟部目前有在做任何積極準備嗎?

郭部長智輝:各種情況、各種準備我們都有。

張委員嘉郡:有嗎?類似什麼準備?

郭部長智輝:譬如說去年我們就知道核能機組會在這個月下載,但是去年開始進行一號機下載的時候,我們的人並沒有解散,我們所有的人都留著……

張委員嘉郡:所以你把他們保留住?

郭部長智輝:包括核二的人,我們都是留著的,因為這些人的核能操作經驗是非常珍貴的。

張委員嘉郡:寶貴的!

郭部長智輝:是!

張委員嘉郡:所以針對核能安全,就是你講的第一項核能安全的部分,很多專家學者都有多次正面評估,覺得這是可行的,至於核廢處理,您在節目中也提到目前的乾式貯存是可行的,現在看起來,剩下的關鍵就是全民共識了啊!

郭部長智輝:因為之前我們的乾貯場跟地方政府申請一直都沒有下來……

張委員嘉郡:去年通過了啊!

郭部長智輝:是,所以剛通過嘛!我們現在才開始在建置……

張委員嘉郡:這個進度為何呢?

郭部長智輝:這個是短期的,乾貯還是短暫的,這個沒有辦法……

張委員嘉郡:但是把濕貯轉到乾貯,濕貯就挪出空位了啊!

郭部長智輝:對,但是這個需要時間。

張委員嘉郡:目前的進度是什麼時候第一個乾式貯存場可以完成呢?

郭部長智輝:核一已經完成了,核二正在施工中。

張委員嘉郡:核二預計什麼時候可以完成?

郭部長智輝:大概今年年底可以完成,明年就可以拿到執照。

張委員嘉郡:那核三呢?核三目前有任何進度嗎?

郭部長智輝:核三還沒有。

張委員嘉郡:還沒有?那等於明年的這個時候你就有核一、核二的乾式貯存場,移到乾式貯存場之後,你就多了兩個核電廠的核廢料貯存空間耶!

郭部長智輝:是。

張委員嘉郡:所以這對於我們要延役是非常正面的,就剩下最後的全民共識。其實國家氣候變遷對策委員會的副召集人童子賢先生都說了,臺灣民意對於核能延役已有共識,你是不是覺得需要公投進一步確認這個共識呢?

郭部長智輝:我認為是不用公投啦!

張委員嘉郡:所以你覺得全民共識已經達標了嗎?

郭部長智輝:這不是需要公投才能夠解決的共識問題。

張委員嘉郡:那這個共識怎麼來?

郭部長智輝:我們的意思就是說,其實所謂的共識對我們來講,是對安全上面有顧慮的人,我們如何去跟他取得共識。就核能的運轉,核廢料可以處理,這兩個如果能夠解決,我想他擔心的大概就可以取消。

張委員嘉郡:所以核廢料的處理您已經在掌握之中了嘛!然後包括核能的安全,應該也是……

郭部長智輝:核能安全的部分,我們認為全球這麼多專家,大家可以證明,事實上40年的運作,我們沒有看到它出過問題嘛,但是……

張委員嘉郡:沒錯。所以現在問題……

郭部長智輝:但這是不是代表未來20年是安全的?這個我想要專家判斷。

張委員嘉郡:那是不是可以儘速做一個評估呢?

郭部長智輝:報告委員,這個東西我想也不是公投就能夠代表大家就可以說它安全,一定要專家認可它安全,我們才能相信它是安全的。

張委員嘉郡:那部長是不是可以儘速指示,趕快請專家開始評估,因為這件事情刻不容緩。核三廠二號機在517日停機之後會產生什麼問題,你知道嗎?沒錯,臺灣會達到非核家園,但是火力發電廠的比重將高達84%!你知道我們中南部的空氣品質有多差嗎?你知道我們中南部的孩子都在用肺發電!所以,這個火力發電的比重提高,對於空氣影響的……

郭部長智輝:報告委員,核三沒有停止運轉之前也是81%啊,對不對?差3%而已……

張委員嘉郡:那你的意思是說增加3%對你來說沒有差?

郭部長智輝:3%會影響到那麼多嗎?

張委員嘉郡:對你來說沒有差,但是對於……

郭部長智輝:大數法則告訴我們這根本就不是太大的問題。

張委員嘉郡:我就是希望您在政策推進上要多一份謹慎、多一份同理心!就是用更多證據來證明啊!核電停止運轉後,84%的火力發電如何不會讓空氣品質變差?你要說服的是這些地方的父母們!

郭部長智輝:報告委員,我們補這個3%的部分是零碳的再生能源跟低碳的……

張委員嘉郡:部長,你不要跟我說3%沒有差!希望你有同理心!我們都希望臺灣的能源更有韌性、更安全,這是我們共同努力的目標,但是你不能跟我說3%沒有差,這樣子的話,我相信不只本席沒辦法接受,甚至所有的地方政府也都沒辦法接受!

郭部長智輝:不是喔!委員,我不是講說它……這個就是我們在努力的……

張委員嘉郡:對!你就講這一句嘛!

郭部長智輝:我們從113年的3.4萬公噸;114年我們可以下降到3.1萬公噸了,我們是在下降的,並沒有增加,不像你所說的84%就是增加的,我們是下降的!所以就下降的部分……

張委員嘉郡:那你們要繼續努力、繼續下降,因為……

郭部長智輝:我們會報告給委員知道,你不能講那個比例,說從81%升到84%……

張委員嘉郡:因為美國網站Climate TRACE上面說台中火力發電廠在全球電廠的碳排放量中名列前茅……

郭部長智輝:不能說從81%升到84%就天下大變了,這個不能這樣講啦!委員,不能這樣講啦!你這樣講……

張委員嘉郡:名列前茅!你仔細看!所以繼續下降是對的,我們希望空氣品質可以愈來愈好,供電也能夠穩定,核能如果可以延役的話,我們臺灣的產業才有希望,未來才有競爭力,好不好?部長,您是經濟總舵手,您要繼續加油!

郭部長智輝:謝謝委員,我們是多元的電力,您的指教我們都會認真地思考,我們的共識也是讓臺灣的空氣更好,讓臺灣的運作、臺灣的電力更清新……

張委員嘉郡:更安全,謝謝。

郭部長智輝:這是毋庸置疑的。但是我要跟委員報告,81%83%不會像你所說的大家開始靠肺來發電……

張委員嘉郡:八十幾%,本來那個基準就很高了!

郭部長智輝:不會啦,我的意思是這個部分……所以不會這樣差一點點。

張委員嘉郡:真的,部長,拜託你要有同理心……

郭部長智輝:是,我們知道、我們知道。

張委員嘉郡:你知道有嬰幼兒的爸爸媽媽有多煩惱,你知道嗎?

郭部長智輝:我們完全跟你的想法是一樣的,我們都是為了國人的健康在努力。

張委員嘉郡:好,謝謝。

郭部長智輝:謝謝委員。

主席:謝謝。

現在請張啓楷詢答。

張委員啓楷:926分)請郭部長。

主席:郭部長。

郭部長智輝:委員早。

張委員啓楷:郭部長,你說核管法如果修法過了,核三廠就可以延役,對不對?這是你昨天接受專訪的時候清清楚楚說的。你知道核管法最近就要三讀通過了嗎?你知道嗎?

郭部長智輝:我不知道。

張委員啓楷:517號就會過,所以到時候你要兌現諾言,為了我們企業發展、為了全民好,核三就可以延役,對不對?

郭部長智輝:在法令的規定之下,我們政府一定是在法跟規的規定之下來運作,核管法修過了,我們要看它修的內容是什麼,我們還是要在法的框架之下去運作,跳脫法的框架,我們還是沒有辦法做,因為我們是政府,所以我們沒有辦法像委員說的,閃了就過,沒辦法!

張委員啓楷:沒有,不是閃了就過,部長,你昨天是對著全民講,那是一個公開的講話,對不對?你說的是核管法……

郭部長智輝:是呀,我講的意思就是我們在核管法修過以後,因為修成什麼樣子,我們不知道,但是修在我們可以依循的框架之內,我們一定是依法行事。

張委員啓楷:對啦,這次修法的重點就是你昨天講的,就是我們本來40年要除役,把40年變成60年,這個是明確有修的。第二個,我要明確跟你講,事實上為什麼這樣修?因為最近這一到三年日本就已經把它的40年延長到60年了,美國有些核電廠還從40年變成80年了,是跟國際接軌的。事實上就是你講的,我們是有修這個條文的,所以你講話要兌現你的諾言,我現在是跟你講,517號之後……

郭部長智輝:報告委員,我是政府的一分子,我們一定是遵定所有的法規來行事,所以我對在法規之內的事情、我承諾的,我一定做得到。

張委員啓楷:對嘛,所以你承諾如果修過了,核三就要延役,要不然的話,你就變成耍嘴皮子的部長了,你知道嗎?

郭部長智輝:不是耍嘴皮子,我還是一樣,在法律……

張委員啓楷:所以你有沒有要兌現你昨天講的話?有沒有要兌現核三廠的延役?

郭部長智輝:在法律規定之內的事情,我承諾的,我就會去做;我承諾在法律規定之外的,我不會去做。法律規定之外的,我不會做,我也不承諾,因為我不知道……你現在是一個假設性的命題在那裡……

張委員啓楷:沒有假設,條文這麼清楚啊!就是你昨天對著全民講的,40年延長到……

郭部長智輝:我在講的是在這個法規之內,我們基本上還是那個三原則,但是你修過了,那個三個原則,基本上的三個原則……如果今天法律的規定之內我可以做,我就做啊。

張委員啓楷:部長,你不是直接說,你說三個原則裡面,核廢料,你說美國會幫我們處理,對不對?你剛才說的還有乾式的貯存槽,部長,乾式貯存槽不是短期的耶,乾式貯存槽可以放50年,更重要的是,先進國家現在都是這樣處理,對不對?美國、日本、韓國、法國現在的核廢料放在哪裡?都是放在乾式貯存槽,而且可以放50年,全世界都這樣做,所以就是你剛剛講的……

郭部長智輝:這個我們會交給技術部門來確認,我想我們也不可能……我們臺灣在這方面的領域確實有一些專家,但是這種事情,在世界上每一個國家買的設備的時代跟機種可能不會都一樣,就是每一個機器都不會一樣,產生的核廢料……

張委員啓楷:你說核廢料,就是你剛剛講的。

郭部長智輝:每個機器不一樣,run出來的核廢料……委員,你可能不太清楚,就是每一台機器所用的鈾原料、鈾棒是訂做的,這個你可能不清楚。

張委員啓楷:我知道,我們現在是講核廢料的處理,所以你剛才有說了……

郭部長智輝:是,我的意思是說訂做的東西……

張委員啓楷:你不是在專訪的時候講得很清楚,包括美國AIT的處長都講了,你說可以請他們幫我們處理,對不對?第二個,全世界都是這樣放,放在乾式的貯存槽……

郭部長智輝:全世界都是這樣沒有錯,但是處理的方法是不一樣的,處理方法不會一樣。另外,那個規格,所有的鈾原料……

張委員啓楷:美國可以處理,日本可以處理,法國可以處理,所有全世界用核能的,核廢料都可以處理,現在只有臺灣沒辦法處理,這太怪了吧!

郭部長智輝:不是臺灣沒有辦法……沒有,委員,你現在又在講話術了。臺灣可不可以處理?我們尋求可以處理的方法來處理。

張委員啓楷:OK,好,所以你在尋求可以……你說安不安全?部長,你知道嗎?國際原子能總署對我們核電廠的評比是前段班,全世界第6名。你剛才也說了,全世界已經用了40年,是安全的,對不對?所以安全我認為沒有問題,核廢料問題也解決了,第三個就是全民共識。你去看看最近這二、三年的民調,都是七成以上認為要重啟核能,我們還有公投過耶!以核養綠,對不對?以核養綠就是要用核電,對不對?你說要有全民共識,這個全民共識是臺灣民眾的全民共識,還是賴清德跟民進黨的全民共識?如果是全民的話,那些民調都是啊!我們現在要推動、要更凝聚全民的共識,所以我們推了一個核三延役,你說多此一舉,這不就是要落實你們的第三項嗎?

郭部長智輝:委員,你講錯了,核三延役,全民共識,你剛才在講……你是講共識這個問題,哪有什麼你推核三延後……

張委員啓楷:凝聚你們的全民共識嘛!

郭部長智輝:不是這樣子嘛!你的意思可能是核三延役要不要公投,是不是?

張委員啓楷:對啦,公投就是要凝聚全民共識嘛!所以你剛剛講的那三個條件都符合:核廢料的處理、安全……

郭部長智輝:我是講如果按照你的邏輯來講,公投是多此一舉嘛!你剛才說過了,對不對?你剛才說過了嘛。

張委員啓楷:為什麼多此一舉?

郭部長智輝:公投就浪費錢啊,一次就要5億,然後又要花很多的時間,對不對?

張委員啓楷:你們賴清德總統跟民進黨不是說要凝聚全民共識嗎?公投,第一個,是憲法賦予人民的權利,你要跟民意對撞、跟憲法對撞嗎?第二個更重要,你說要凝聚全民共識,公投就是一種凝聚全民共識的方法啊!

郭部長智輝:委員,你的主張我沒有意見,只是人家主持人問我,我表達的意思是這樣,好不好?我們的意見有很多不一樣的地方。

張委員啓楷:今天最重要的就是我剛剛提到你們講的這三項都已經解決了,然後你又公開講說核管法通過之後就是要……

郭部長智輝:因為你的目的……

張委員啓楷:沒有,部長,這很重要喔,人民現在……

郭部長智輝:我已經講過了,核管法只要通過,核管法通過……那一天院長也在大院裡面講得非常清楚,核管法通過的時候,是大家理性討論通過的,他不會覆議。你們講說通過之後,我們會不會來覆議?我跟委員報告,你可以問院長,這是他講的話,我想也有紀錄嘛……

張委員啓楷:對,他不會覆議,很好。

郭部長智輝:所以對我來講,我的基本原則是這樣子,報告委員,我們的基本原則是這樣,在法律的規定之下,我們不會逾法,也不會越法,我們一定會按照法律核准的範圍裡面去施作,這個就是我們公務同仁做事情的依歸嘛。

張委員啓楷:對,依法就是依核管法嘛,現在全民在看經濟部部長講話算話嗎?是講話算法,還是耍嘴皮子?

郭部長智輝:經濟部部長能夠講話不算話嗎?

張委員啓楷:517號就見真章嘛!

郭部長智輝:不是,經濟部部長,我講的話……

張委員啓楷:現在全民希望你講出人民的需求、企業的需求,人民就……

郭部長智輝:我講的話,只要在法律規定之內,我講的話都算數!

張委員啓楷:算數,對不對?

郭部長智輝:算數。

張委員啓楷:所以現在全民看你會不會又縮回去,變成耍嘴皮子的部長……

郭部長智輝:不是,你不要這麼會懷疑啦,我都覺得你每天都在懷疑這個、懷疑那個。委員,懷疑那個沒有意義啦,了解嗎?

張委員啓楷:好,另外一個也很重要的……

郭部長智輝:你為什麼不懷疑太陽從西邊出來?

張委員啓楷:部長,另外一個重點,你說核能5月全部歸零以後不會對空氣有影響,我給你看一下,去年核三廠一號機除役以後,你馬上跟麥寮電廠續約了,麥寮電廠是燒煤的,對空氣有沒有影響?所以那一天有來自彰化、雲林、嘉義等17個團體的民眾到行政院及監察院抗議,他們說經濟部縱容繼續燒煤,麥寮電廠本來已經停了,結果因為核三廠一號機除役以後,你看這就是對比,繼續去買麥寮電廠的電。每多發1度煤電就是在155公里的麥寮電廠污染範圍之內,無差別持續射殺國人的生命,這是慢性殺人,麥寮是全臺灣第二大污染源,為什麼空氣會好呢?從去年的麥寮電廠就看出它是有問題的。

然後部長一直說天然氣是乾淨的,還有低碳天然氣,我給大家看一個數據,這是台電的數據,台電112年火力發電排放量,在空氣污染部分,燃氣(天然氣)的氮氧化物是燃煤的47%,不是沒有,燃煤是0.173、燃氣是0.082,差不多一半。另外,在懸浮微粒(PM10)的部分,燃煤是0.005、燃氣是0.004,占85%,沒有什麼乾淨的天然氣,還是有污染,對不對?如果跟燃煤比稍微低一點點,可是還是有污染。

郭部長智輝:我們從來沒有講過天然氣是零碳的,你不要把我說低碳的東西講成零碳,這個完全是用話術在問我問題。

張委員啓楷:不是話術。部長,我們是理性、務實、科學在討論,郭智輝說不會對空氣有什麼影響,我現在要跟你說的就是有影響,我剛才也給你很清楚的數據,有影響,對不對?

郭部長智輝:你這麼計較有影響、微量影響、稍微影響,都要這樣子表示,我們會依據你希望表達的方式先分級,你認為我們應該分幾級?

張委員啓楷:部長,這個影響很大。

郭部長智輝:你認為分幾級才算影響很大?

張委員啓楷:部長,我剛剛跟你講了,麥寮電廠繼續用,全臺灣第二大污染源……

郭部長智輝:麥寮繼續用的部分是我們跟台電之間的契約行為,這是我們跟它的契約行為,政府不能夠違反契約行為,所以你不能「竹篙鬥菜刀」,你每一次都用「竹篙鬥菜刀」。

張委員啓楷:部長,契約行為到去年4月就停了,你們是重新又去續了一個約。

郭部長智輝:請問你有看過那個契約嗎?

張委員啓楷:有啊,看過。台電的總經理……這個案子我追了那麼久,我還問過你,你怎麼問我有沒有看過?

郭部長智輝:委員可能沒有看得很清楚。

張委員啓楷:我們追這個案子追了兩、三個月,當初我還質詢過你,契約你看過,我也看過。

郭部長智輝:政府看的契約,我們有多少人在看,政府可以違反這個契約嗎?政府可以違反契約嗎?

張委員啓楷:部長,你在這個契約上面繞,去年的重點是什麼?就是麥寮跟台電25年的合約本來已經停了,是不是這樣?因為核電廠被關掉之後,你拿了這個東西又繼續買,買到今年年底,所以人民跟社團都上來抗議了,這些我都質詢過你,當然對我們的健康、對空氣有影響,對不對?

第二個,我今天拿的是你們台電的資料,天然氣也是有污染,比燃煤稍微低一點點,可是還是有,對不對?如果跟核電比當然就增加很多,所以我現在是要跟你講,你不要講空氣沒有…

郭部長智輝:委員,我也沒有必要在這裡跟你就形容詞在辯異,好不好?

張委員啓楷:好啦!因為我本來要問其他的,時間已經到了,部長,現在最重要的是517日核管法就過了,就看你到底能不能讓核三延役,現在全民都在看,不要變成耍嘴皮子的經濟部長。第二個,核三廠停了之後,517日之後我們變成非核家園,我們的電價不只變貴了,成本增加了,空氣污染也增加了。

郭部長智輝:報告委員,517日以後你看我會不會漲價,各位可以看一下518日我們電價有沒有漲,如果電價有漲,518日那天電價有漲,我下臺,好不好?518日以後沒有漲,請委員收回這句話。

張委員啓楷:部長,你為什麼要押518日?你不是一直在講10月份電價審議委員會開完以後,電價審議委員會什麼時候開?

郭部長智輝:沒有錯,你可以講電價審議委員會……

張委員啓楷:電價審議委員會什麼時候開?

郭部長智輝:電價審議委員會9月底才開。

張委員啓楷:沒有開怎麼漲價,你這不是話術嗎?

郭部長智輝:你才話術啦!你現在講517日之後就會漲價……

張委員啓楷:部長,你要檢視的是517日之後到10月份會不會漲。

郭部長智輝:你剛剛是用文字在敘述……

張委員啓楷:部長,10月份會不會漲電價?

郭部長智輝:你說517日以後會漲價,這是你說的,我說518日沒漲價……

張委員啓楷:517日之後馬上會第一時間就漲嗎?你當然開電價審議委員會,所以人民要問你的是10月……

郭部長智輝:你每一次講話都是講第二天以後會不會怎麼樣。

主席:大委員、大部長,是不是我們現在……

張委員啓楷:主席講話了,部長,人民要看的是101日有沒有漲價,謝謝。

主席:謝謝。

現在請鄭正鈐委員做詢答。

鄭委員正鈐:941分)謝謝主席,我想請郭智輝部長。

主席:請郭部長。

郭部長智輝:委員早。

鄭委員正鈐:部長好。因為剛剛有好多委員都提到517日之後,臺灣就變成一個非核家園的環境,因為核管法確實立法院也在修,我絕對認為也尊重你剛剛提到的一個點,就是公務人員一定是依法行政、依法在辦事,這絕對是沒有問題的一個天條。

郭部長智輝:謝謝委員。

鄭委員正鈐:如果核管法於立法院通過之後,到核三延役的過程當中,最快大概多久可以完成?因為我記得在幾個月前的時候,曾經有官員提到核管法過了之後,到核電廠要延役還要好幾年的時間,我不知道經濟部對於這個部分有沒有更精準的估算?核管法通過了之後,到核電廠延役大概最快多久的時間可以達成?

郭部長智輝:如果按照我們以前的資料顯示,核管法通過了,我們要確認這個機組可以再run多久,這個是一個非常重要的命題,因為以前的設計是40年,現在要延到60年,每一個設備都有其運作的狀況,所以雖然其他的國家延到60年,也有延到80年,因為每一台機組運轉的情況不會一樣,所以我們還要經過檢查,這個設備要先檢查,然後來判斷、確定它確實可以延到20年,這一段期間它當然不能夠正常來發電。根據以前的經驗來看,光是確認都要一年多,現在國外的資料顯示也許可以快一點,我想這一點就像大家所知道的,有很多的民主國家願意來幫忙我們,把他們的經驗跟我們分享。

鄭委員正鈐:所以我可以理解成核管法如果通過之後,經濟部有能力在一年左右的時間或者以內,就能夠讓核電廠延役,我可以這麼理解你的語言?

郭部長智輝:這個還有另外一個問題,我要跟委員報告,因為過去的法令,517日一定要下載,在這個情況下,因為我們的鈾原料,就是核電的原料棒,基本上都是tailor-made、訂做的,我們過去的量,就是517日下載,我們的量大概就到5月底,不會再多。

鄭委員正鈐:理瞭,所以我們要買新的燃料棒回來,大概還需要多少時間?

郭部長智輝:下載確認以後要一年多的檢驗,各種確認沒有問題以後,也許在那個時候,我們這邊可以做一件事情就是只要一通過,事實上我們就可以去訂燃料棒,檢查之後認為可以了,我們儘量趕快去訂燃料棒。但是跟委員報告,現在的燃料棒並非一次訂一個規格,而且每一支都不一樣……

鄭委員正鈐:理解。

郭部長智輝:所以要1618個月。

鄭委員正鈐:1618個月?所以綜合這兩個部分,若雙軌進行,同時檢查核電廠,同時訂燃料棒,最快也要1618個月時間才能重啟電廠?

郭部長智輝:這是最理想的狀況,也就是設備檢查沒有問題,我們又可以買到燃料棒……

鄭委員正鈐:理解,謝謝部長,沒有問題。但這樣一來就很清楚了,也就是說,核管法通過之後,經濟部以最快的速度雙管齊下,同時檢查核電廠的狀態,同時訂新的燃料棒,綜合起來最快需要1618個月才有可能重啟發電,最快的速度是這樣子,對不對?

郭部長智輝:其實我們還缺一個,即核能發電有所謂的國際同儕審查……

鄭委員正鈐:理解、理解。

郭部長智輝:不是我們自己說OKOK了。

鄭委員正鈐:理解、理解。

郭部長智輝:其他……

鄭委員正鈐:這也是行政的程序,所以聽起來最客觀的點……

郭部長智輝:最樂觀的數字可能是……

鄭委員正鈐:1618個月,還有要重新訂燃料棒的問題。

郭部長智輝:這是比較樂觀的。

鄭委員正鈐:理解。所以包括經濟部及國內的行政程序,還有國際檢驗這部分,綜合這三個因素,在核管法通過之後,最快1618個月能夠重新重啟核電,對不對?你剛剛提到的三個因素是這樣子,我想這沒問題,至少臺灣會有1618個月左右的時間是非核家園的狀態,也就是沒有核電。因此,所有委員其實都很擔心這段時間的供電會不會有問題?不會有問題嗎?

郭部長智輝:不會有問題,因為大潭七號機,還有……

鄭委員正鈐:都有補上來?理解。

郭部長智輝:興達一號、二號機都上來,且上來的量比核三所下去的量要多很多。

鄭委員正鈐:422號大林五號機重新啟動,經濟部說是調度,但大林五號機其實是已經除役的天然氣發電機組,請問為什麼會在這個時間點緊急啟動?

郭部長智輝:報告委員,剛才有跟大家報告,政府所作所為都在法令規定之內……

鄭委員正鈐:理解。

郭部長智輝:雖然那是備用的發電機組,但啟動亦在法律允許之內去啟動。

鄭委員正鈐:理解,你講的這兩個點我覺得都沒有問題。也就是在法令的允許下,它現在屬於緊急備用電力設施,畢竟已經除役了,所以算是緊急備用的電力設施。按照電力設施空氣污染物排放標準第二條第一項第十一款特別提到「緊急備用電力設施:……專用於供電系統跳電、限電期間或其他為維持供電系統正常運轉之機組」,所以有設定時間。在大林電廠五號機除役之後,去年曾經緊急動用過一次,今年又緊急動用一次,所以我們擔心電力的調度是不是很吃緊,才會把已經除役的大林五號機組又重新啟用?可不可以請部長回答一下?

郭部長智輝:報告委員,那是假設重啟的狀況,所以我們一定要維修機器,也要試運轉,以免真的要用的時候轉不起來,因此需要試運轉。

鄭委員正鈐:在台電公告的資料當中,並沒有特別講到試運轉,若確實是這樣子,那麼我們希望之後在公告所有細節時能更精準一點,不要造成民眾誤會。畢竟去年大林五號機也緊急動用過一次,今年又緊急動用,所以不免以為是不是電力很吃緊才會出現這樣的情況?

郭部長智輝:會動用當然是在吃緊的狀況,不過那一次不是吃緊,那是在test running

鄭委員正鈐:因為去年722發生一次,今年422又發生一次。

郭部長智輝:對,就是吃緊,當然也是為了因應吃緊,所以有一些模擬狀況。現在日間有10%,夜間有7%的餘量,各位到台電網站都可以看到現在的發電餘量有多少。

鄭委員正鈐:其實所有的委員、經濟部以及所有國人,都擔心臺灣供電夠不夠的問題,而我們希望臺灣的供電是夠的!

郭部長智輝:報告委員,我們現在……

鄭委員正鈐:能符合產業上的需求。

郭部長智輝:現在電是夠的,比較可惜是缺綠電,所以綠電還要再趕,還要再加強。

鄭委員正鈐:OK。今天主席特別安排再生能源發展條例修正案的詢答,我最後就問,這次再生能源發展條例的修正有幾個點,第一,確定讓所有權人或管理人負起責任,一旦沒做或時間到的時候沒有拆除可能會有罰款問題。我想請教,一般大型的光電廠大概沒問題,基本上都符合,所以我擔心的是屋頂型,這次也規範在裡頭。屋頂型的規模比較小,之前很多屋頂型業者在設置屋頂型太陽能面板時都說,其一,這可以省電,這是最基本的原則;其二,可以隔熱、防漏水,一旦使用時間到了,應該要被強制拆除,但屋主──可能就是一般的老百姓,他並不想強制拆除,想繼續留著,可不可以?

郭部長智輝:可以。

鄭委員正鈐:可以,是不是?OK,如果不想拆除要繼續留著,是可以的?

郭部長智輝:可以。

鄭委員正鈐:可以?OK。另外我想再請問有關光電板的處理問題,這其實跟環境部有很大關係,目前針對模組的回收怎麼收費?

郭部長智輝:每瓩1,000元。

鄭委員正鈐:每瓩1,000元?現在是由能源署收,還是環境部收?

李代理署長君禮:法令規定是環境部,由能源署代收。

鄭委員正鈐:現在是環境部,但由能源署代收,且環境部要求成立回收基金,對不對?

李代理署長君禮:在環境部的基金還沒有法源可建立之前,先由能源署代收到再生能源發展基金,未來環境部有法源可以收的時候,我們再把錢還給環境部。

鄭委員正鈐:OK,理解。我要問一個狀態,模組的回收款項、回收費用中,含不含一般民眾?因為要拆除屋頂上的模組,其實有很高的成本,所以拆除的費用算不算在回收的模組費用裡?

李代理署長君禮:拆除是業者的責任,由業者負責拆除,拆除後才由環境部的基金來處理。

鄭委員正鈐:這代表拆除時,如果是屋頂型的,對民眾來說就要自己拆除,對不對?畢竟費用很大。我在想,一般光電設置時間為二十年到三十年,所以二十年前設置的人跟三十年之後要去拆除的人,可能是不一樣的人!因此,針對拆除成本,有沒有可能在回收模組當中給予一定的支持?

李代理署長君禮:基本上可以繼續使用,未來如果壞了也可以維修,但最後壞掉要拆除時,就要由裝置的人負責,這就看有沒有和當時裝置的太陽能光電廠簽合約。

鄭委員正鈐:畢竟是二、三十年前的事,裝置的人可能跟現在法令規定的負責人不一樣了,所以這邊就會有問題。爰此,希望在立法時能更細緻地把這部分考慮進來,好不好?

郭部長智輝:我們可以做為參考。

鄭委員正鈐:OK,謝謝部長。

郭部長智輝:謝謝委員。

主席:現在請鄭天財委員做詢答。

鄭天財Sra Kacaw委員:954分)主席、各位委員。有請部長及能源署署長。

主席:請郭部長及李代理署長。

郭部長智輝:委員好。

鄭天財Sra Kacaw委員:部長好、署長好,辛苦了。大家辛苦了!今天談再生能源發展條例修正案,我要談的主要是再生能源之中的地熱能,地熱能的定義是指源自地表以下蘊含於土壤、岩石、蒸氣或溫泉之能源,而我主要是談與溫泉有關的地熱能。

根據地熱電廠進駐原住民部落的相關統計,以經濟部地熱裝置來說,原民會的統計是全國有六成七設在原鄉部落,這麼大的比例,原鄉已經出現翻天覆地的變化。部長,請看螢幕上的簡報,以這張臺灣地圖來說,我們可以看到臺灣地圖上標註地熱發電案場的現況,有六成七就在我們的原鄉部落。再生能源發展條例第十四條第二項規定「設置再生能源發電設備於原住民族土地或部落及其周邊一定範圍內之公有土地者,應依原住民族基本法第二十一條規定辦理。」這裡面談的是再生能源發電設備,請問署長,取地熱的那個位置就不算?還是有包含?

李代理署長君禮:算,鑽井的地方是算的,鑽井的地方跟發電的地方都是屬於發電設備的一部分。

鄭天財Sra Kacaw委員:好,現在問題就是出在原基法第二十一條,這個當然跟經濟部沒有關係,當時這條條文被誤解了,因為這條條文是我在第8屆的時候提出來修正的,所以不包含私有土地其實是錯誤的,當然這個跟你們沒有關係。

再生能源發展條例第十五條之五也規定「申請地熱能探勘許可或開發許可之內容涉及原住民族土地或部落及其周邊一定範圍內之公有土地者,申請人應於申請前依原住民族基本法第二十一條規定辦理。」所以探勘許可就包含地熱的位置嘛,是不是?

李代理署長君禮:包括鑽井的位置。

鄭天財Sra Kacaw委員:包括鑽井的位置嘛,所以不是只有在它廠房的位置嘛。

李代理署長君禮:是。

鄭天財Sra Kacaw委員:是包含,這個部分要把它釐清,所以你們在處理的時候,因為核准的都是你們嘛,這個部分要把它弄清楚,因為基本上,那個溫泉,因為我講的是溫泉跟地熱,因為地熱屬於溫泉,知道嗎?

李代理署長君禮:是。

鄭天財Sra Kacaw委員:地熱屬於溫泉嘛,所以在這樣一個情形之下,鑽井或是探勘很少是在私有土地上,都是在公有土地啦,基本上是這樣,所以這個部分在審核的時候務必要讓業者能夠了解。

李代理署長君禮:會。

鄭天財Sra Kacaw委員:接下來,這是我們需要去努力的地方,也希望朝這個方向,當然等一下我也會把條文拿給部長跟署長看。在紐西蘭,臺灣跟紐西蘭差不多一樣,大部分地熱都是在原住民族的土地上,紐西蘭一開始也是發生了很大激烈的抗爭,紐西蘭政府因應這些地熱的開發,它跟毛利族建立了夥伴關係,採信託模式、股份讓與,所以紐西蘭地熱發電的占比從7%攀升到20%,它有這樣一個怎麼讓地熱開發能夠有效且不要影響到原住民族部落的方式,當然就是要諮商同意,相關開發的這些利益怎麼樣回饋給部落,這個部分是我們要努力的地方,怎麼樣去因應、去修法,這個都有它的必要性,是不是可以直接適用?

接下來,我們看一下過去我在中央原民會服務的時候,去協調同樣是經濟部的單位水利署。溫泉法第三條是定義規定,有關溫泉的定義是包含地熱(蒸氣)。另外,第七款規定「溫泉取供事業:指以取得溫泉水權或礦業權,提供自己或他人使用之事業。」第八款規定「溫泉使用事業:指自溫泉取供事業獲得溫泉,作為觀光休閒遊憩、農業栽培、地熱利用……」,因為這個法不是能源署的法,所以你們沒有接觸過,我現在是把這個法律提出來讓署長跟部長能夠了解。

溫泉法第十一條是當初我去協調,後來在立法院三讀通過的條文。第十一條裡面就提到「主管機關應向溫泉取供事業或個人徵收溫泉取用費;其徵收方式、範圍、費率及使用辦法,由中央主管機關定之」,也就是由經濟部定之;然後第二項規定「溫泉取用費,除支付管理費用外,應專供溫泉資源保育……不得挪為他用。但位於原住民族地區內所徵收溫泉取用費,應提撥至少三分之一納入行政院原住民族綜合發展基金,作為原住民族發展經濟及文化產業之用」。所以這個部分,在再生能源發展條例還沒有修正之前,是不是可以用這個條文?因為現在正在開發嘛,現在開始了,所以這個部分,署長跟水利署,因為我是公務員出身,我知道這個是要去跟水利署……

郭部長智輝:是,謝謝委員,這個我想我們來研究一下,然後再請教委員過去的經驗,大家努力朝這個方向來做。

鄭天財Sra Kacaw委員:好,謝謝。

郭部長智輝:謝謝委員。

主席:謝謝。

現在請呂玉玲委員詢答。

呂委員玉玲:102分)謝謝主席,請郭部長。

主席:請郭部長。

郭部長智輝:委員好。

呂委員玉玲:部長,這個會期從一開始到現在,針對美國對等關稅的議題,都一直是我們立法院詢答裡面聚焦的焦點,最重要的就是因為美國對於整個經濟體系合作關係的漠視,而且對我們還提高了整個關稅的問題,我們朝野不分黨派,一定也會做我們整個產業的依靠,協助他們度過這個難關。所以在44號的時候,我們提出了880億支持產業的方案,部長也有到地方去進行表達關心的傾聽之旅,回來之後,我們看到這次提出來的特別預算裡面增加了50億,不管是工業還是農業,加起來是930億,但是在整筆預算裡面我們看到,這次的特別預算是針對對等關稅的問題而提出的。這次的特別預算,我們剛剛有講到,工業跟農業總共才930億,但是行政院提出的特別預算總共是4,100億,依照預算法第八十三條的規定,提出特別預算必須有相當的要件,其中一個就是國家經濟發生重大變故,有需要的話我們會才會提出特別預算。但是我們看到在這次4,100億的特別預算裡面,國土安全的部分就有1,500億,培養人才是170億,還把整個勞健保的300億通通放進去,如果這些都有需要的話,一般行政的預算用追加就好了,為什麼要放進去?如果像部長特別講到的,要追加1,000億給台電,這個也可以用追加預算,不用放到特別預算裡面,是不是?你整個包裹的話,就是要叫我們幫你背書囉?

郭部長智輝:報告委員是這樣子,我想你也很清楚發生這個對等關稅的問題以後,雖然第二天我們就提出一個880億的預算規模,那是面對關稅32%的時候,我們採取的措施,但是我們開始去訪談,到每一個地方去跟業者座談以後,我們發現比我們想像的……

呂委員玉玲:我知道後來有加50億啊!

郭部長智輝:造成第二波的影響……

呂委員玉玲:對產業我們是全力支持的,你要加到950億,我們都會支持。

郭部長智輝:對,報告委員,我們的意思就是產業外溢的時候,碰到一個新的狀況,我們沒有考慮到……

呂委員玉玲:各種狀況都有。

郭部長智輝:譬如為什麼裡面有國防、有社會安全的費用?我們後來發現美國一直加中國的關稅,加到兩百多%,中國已經不可能再賣到美國去,但是中國那些東西會跑到哪裡去?一定往亞洲外溢出來嘛,外溢出來就會到臺灣,這個是我們所擔心的,那個衝擊更大,那個衝擊會非常大,所以我們目前就是禁止傾銷,禁止紅色供應鏈進到臺灣洗產地,這一些都是我們必須要額外再編列一些費用去防範的部分,這是更可怕的一個錢。第二個,那一天你們也一直在指導我們,說不是只有直接輸美的廠商,廠商的供應鏈也受影響啊!

呂委員玉玲:所以說產業我們都要……

郭部長智輝:所以才會有社會照顧的……

呂委員玉玲:不管要轉型還是協助他們設備更新,都可以包含進去,只要針對產業的,我們都全力支持,不夠的再增加都可以。

郭部長智輝:那個是在930億裡面的。

呂委員玉玲:是。

郭部長智輝:但是它外溢到這個社會上,社會的安全照顧包括……

呂委員玉玲:可是你看到健保也算進去啦!

郭部長智輝:對,包括為什麼……

呂委員玉玲:國土安全也算進去啦!

郭部長智輝:是,報告委員,因為以後有一些我們在中國的台商會轉移他的生產陣地,有一部分可能會回到……

呂委員玉玲:所以部長你的意思是說你認同這4,100億就是跟對等關稅有關係,而且也跟產業有關係?

郭部長智輝:對。

呂委員玉玲:那為什麼4,100億關係到產業的不到四分之一?不到四分之一耶!你不能把其他的都包裹進來。

郭部長智輝:那是外溢的效應會比較大,外溢的效應非常非常的大。

呂委員玉玲:沒有錯,部長,我要提的就是在特別預算裡面……

郭部長智輝:現在就以中國來講,譬如啤酒,啤酒會大量傾銷到臺灣來。

呂委員玉玲:那你要協助哪一部分?他傾銷到臺灣,所以要協助哪一部分?你還是要協助產業嘛!

郭部長智輝:我們要防止他洗產地嘛!

呂委員玉玲:那你要協助產業,對不對?對關稅的部分。

郭部長智輝:我們要協助的不是只有關稅這一部分,還包括不要造成社會上面的動盪。

呂委員玉玲:部長,我的意思是我們要協助,但是我們現在提的是特別預算,必須符合預算法第八十三條。

郭部長智輝:是,因為關稅而引起的社會的改變。

呂委員玉玲:這些部分都可以用一般預算來追加,你要懂得預算法,所有一切都依法嘛!部長,你剛才講的依法就是這個法,這有法源依據。

郭部長智輝:我們是依法,報告委員,我這一次的……

呂委員玉玲:依法,所以我才告訴你這法在第八十三條。

郭部長智輝:我知道的情況是這樣啦,4,100億我們都是用歲計盈餘來做的嘛!

呂委員玉玲:我知道就是超收,因為去年超收了5,723億,就可以做你們的基底了啦!

郭部長智輝:有人在講說歲計盈餘有這麼多錢嘛,那一人就發一萬,那是沒有辦法的人才這樣講,我們有辦法可以照顧全員,因為受到關稅的動盪……

呂委員玉玲:部長,你這樣講是不對的,普發一萬塊是全民的,你超收全民的稅金,發給全民是合理的,現在碰到這個對等關稅,我們就把這5,723億做你的基底來協助產業,不要外包給其他跟產業無關的部分。

郭部長智輝:不是無相關。

呂委員玉玲:幫產業渡過這個危機。

郭部長智輝:它是第二波,你要知道那個叫漣漪作用,一個東西丟下去,然後就一波一波這樣往外溢。

呂委員玉玲:好,一切依法,依我們的預算法,一般行政部分就用追加,照預算法啊!你不能包裹下去,叫大家幫你背書啊!

郭部長智輝:不是,我們沒有包裹,我們是受這個關稅影響的第二波、第三波的……

呂委員玉玲:當然有第二波、第三波,這就是本席要提醒你的,你現在全部包裹進來的話,未來我們要跟美國談判關稅的問題,5月底就要談囉!

郭部長智輝:4,100億不是我經濟部的費用啦!

呂委員玉玲:我知道你要講這個問題啦!

郭部長智輝:所以我在跟你講,我所了解的原則是這樣。

呂委員玉玲:那未來5月底的時候,輪到我們跟美國磋商的時候,如果美國還是繼續,沒有放鬆32%的關稅,我們是不是繼續擴大再編特別預算?

郭部長智輝:報告委員,32%……

呂委員玉玲:你現在就把滿額特別預算做出來了?

郭部長智輝:32%美國已經講是最高的,我們就用32%來推論。

呂委員玉玲:那我現在就請問部長……

郭部長智輝:所以不會超過……

呂委員玉玲:5月底的磋商……

郭部長智輝:不會超過32%

呂委員玉玲:好,5月底的磋商,萬一他這32%沒有鬆口,你要繼續來擴大對美國的採購跟投資?繼續擴大編列特別預算嗎?

郭部長智輝:沒有,我們現在所做的就是以32%做為基準嘛!

呂委員玉玲:所以未來就算他沒有鬆綁,你也不會再繼續擴大編列?

郭部長智輝:我們講過了嘛,這個是到116年的年底。

呂委員玉玲:3年,所以你是說到116年不再擴大編列特別預算來支應對等關稅?

郭部長智輝:這是最高的。

呂委員玉玲:你說的?

郭部長智輝:不是我在編預算,委員。

呂委員玉玲:不是,現在你說的嘛!

郭部長智輝:我的經濟部……不是,我不是主計長,也不是行政院長,你不能用這個問題來問我。

呂委員玉玲:我說針對產業。

郭部長智輝:你不能用這個問題來問我啦,這超過我的權限啦。

呂委員玉玲:所以我才說你們有需要特別預算是針對對等關稅……

郭部長智輝:你問我經濟部的部分,我來回答你,好不好?經濟部以外的問題我沒辦法回答。

呂委員玉玲:好,部長,請問這次的特別預算是不是針對美國的對等關稅才提出的?

郭部長智輝:我們經濟部就是針對美國對等關稅提出來的預算。

呂委員玉玲:所以現在這4,100億裡面都是包含在經濟部產業的需求嗎?

郭部長智輝:影響。

呂委員玉玲:是需求嗎?

郭部長智輝:第一波影響、第二波影響、第三波的影響。

呂委員玉玲:所以你認同4,100億都是產業的需求?

郭部長智輝:我們很多的想法都是未雨綢繆,就像您在座談會也講不要雨天收傘,對不對?

呂委員玉玲:對。

郭部長智輝:照顧廠商,我們不雨天收傘,類似這樣,就是先考慮到最差的狀況可能怎麼樣,我想行政院應該就是按照這樣,第一波的影響可能930億,但是還有第二波、第三波,第二波就是社會的影響,第三波……

呂委員玉玲:所以我才說這4,100億都要針對產業的需求提出來,因為這個特別預算就是針對關稅的問題,才有這特別預算,不要把無關的事務包裹進來,這才是為產業解決他們的困難。

郭部長智輝:報告委員,不是說對關稅一個名目上的影響,而是實質上……

呂委員玉玲:當然是啊!實質的產業需求啊!

郭部長智輝:後面延續造成的影響也要考慮。

呂委員玉玲:所以你才去傾聽,聽到有沒有做到的部分,我們再來提出特別預算,所以我們看到你只增加50億而已,其他部分都是比較不相關的。

郭部長智輝:因為那個時候,第二天又改成10%可以豁免90天,所以那個情境有不一樣,我們是參考每一個階段的情境變異做出來的推論。

呂委員玉玲:因為你這次提出來的是說用到116年、3年的預算,所以我才特別說你要照預算法第八十三條來編,一般行政方面就用追加預算,不要再這樣包裹。

郭部長智輝:報告委員,影響沒有那麼久的話,當然我們也不會用那些錢,影響沒有那麼那麼久、沒有那麼大,不會用到,是影響有用到那麼多才會用到。

呂委員玉玲:好,希望你們把錢用在刀口上。

郭部長智輝:是,謝謝委員。

主席:謝謝,在本席質詢結束後休息5分鐘。

主席(呂委員玉玲代):請謝衣鳯召委質詢。

謝委員衣鳯:1014分)謝謝主席,我想要請郭部長。

主席:請郭部長。

郭部長智輝:委員好。

謝委員衣鳯:郭部長,我認同你剛才說的,行政單位是合法合規,你已經是行政單位的郭部長,不過剛才呂委員的題目很好,但這不是你的題目嘛!現在你又不是行政院長,你怎麼回答,是不是?你是行政院長了嗎?現在。

郭部長智輝:報告委員,我想這一部分可能是我急了一點,我不是行政院長,所以我剛才在講我沒有辦法替代行政院長回答這個問題,後面我有講。我是說我經濟部的問題我可以回答,我現在的工作是經濟部部長,所以我回答經濟部的問題,但委員剛才垂詢的是行政院長的事情。我只是說我們接到的指令,不是只有看目前的狀況,而必須要考慮到未來可能造成第二波影響或者第三波的影響,我是就這樣來說明,並沒有替代院長回答這個問題,我在這個地方再澄清,我不會逾越我的職責。

謝委員衣鳯:好,那我現在請教你,這個是美國川普總統所說的,他在29號宣布,未來美國汽車進口的關稅,它會是overall而不是分別的,就是不會對汽車製造商課20%進口關稅,或者加上25%鋼鋁關稅。我想請問,因為這個變化的過程太快了,那到底是怎麼樣,你是不是能說明清楚?這是你的問題。

郭部長智輝:是。

謝委員衣鳯:而且這對於臺灣汽車零組件產業的影響是什麼,是好還是不好?

郭部長智輝:報告委員,我想對於這個關稅,到現在我們還都還在進行中。美國總統這樣的改變,其實我們認為到目前為止,大家可能都已經習慣了,就是到最後拍板為止可能都有變化。對我們臺灣來講,我們有做過幾個simulation,我們也做過幾個狀況的判斷。以目前來講,因為臺灣做汽車零組件我們分兩種,但是臺灣比較強的其實在aftermarket。所以這個部分,美國現在要求把零組件這個供應鏈可以再調降,這個是他碰到的,就是這樣子反而在美國製造的汽車會比在美國以外的汽車要貴。

謝委員衣鳯:對。

郭部長智輝:變成對美國的消費者來講,他們可能也不太能夠接受。因為這樣子,美國汽車公司還有美國汽車零組件的公司,他們可能也會跟美國政府lobby、談這些事情。這個最後會造成什麼樣的影響,我們還要靜觀其變,不過對臺灣廠商來講,臺灣大部分都是在aftermarket,在aftermarket臺灣有非常高的優勢。我去訪談過,我們也座談過,跟非常多臺灣的汽車零組件廠商,他們說只要遇到的關稅之立足點是平的、大家一樣的,他們永遠不會擔心;但如果給其他國家比較低的關稅,臺灣比較高的關稅,這樣子對他們來講傷害就比較大。

謝委員衣鳯:你講到重點,現在我們看到好像亞洲第一個國家,就是美國要談結果……可能是印度了;日韓也都在談判過程當中。我想要請問,我們跟美國的關稅談判是什麼時候,以及最終我們會不會調降?

郭部長智輝:我們跟美國的談判是在進行中,所以我們不會是最後談判的那一群裡面,我們一定是在領先談判群裡面的。對我們來講,我們在所謂日韓之後談,我們認為應該也都有優勢,別人談判的結果,我想我們都可以去推論,作為爭取對我們最有利關稅的參考。

謝委員衣鳯:就如同你所說的,你知道我們不能夠比其他國家的關稅還要高,但是我們有不同的產業,有competitive的競爭國家,在這個情況下,我們怎麼樣能夠每一個都兼顧到,這個部分你怎麼處理?以及我們看到目前,當然美國不是唯一的市場,對於臺灣的汽車零組件,身為我國的經濟部長,你怎麼樣協助產業、怎麼樣給予他們政策上的幫助,讓他們可以走出去,是不是?

郭部長智輝:是,報告委員,我們現在採取的方式是,第一個,碰到關稅的實際衝擊,大概我們盤點出來有6個傳統產業,現在第一步是針對這6個傳統產業增加他的競爭力,降低他的作業成本,我們透過AI教導跟做ESCO協助他降低成本,這是我們目前在做的。

第二個階段,6月以後,當美國的豁免90天結束的時候,我們希望能夠幫助這些廠商移轉他的訂單,能夠到新市場,包括歐洲市場,包括靠近歐洲的中東市場,這個就是我們在考慮的…

謝委員衣鳯:那現在進行得怎麼樣?

郭部長智輝:然後印度的市場,我們是幫助他們……

謝委員衣鳯:我知道。

郭部長智輝:在市場上面能夠讓大家看得到。所以我們貿易署就開始準備了,貿易署編的特別預算有100億,是幫助業者在國外取得新的訂單。就像我在座談都一直講,這些新的訂單我們會用一個品牌的名字,叫做「Taiwan Select」,就是透過這樣一個品牌,把訂單帶回來以後,交給我們經濟部所屬的20個機構,由這20個機構協助他們輔導的中小微企業下去製造,這可以去中心化。我相信在我們的輔導之下他的成本可以降,然後我們又直接拿訂單,這樣子對他們來講更有競爭力。

謝委員衣鳯:好,謝謝。

郭部長智輝:謝謝委員。

主席:現在休息。

休息1022分)

繼續開會1027分)

主席(謝委員衣鳯):休息結束。

我們現在請蔡易餘做詢答。

蔡委員易餘:1028分)謝謝召委,我們是不是有請部長?

主席:郭部長。

郭部長智輝:委員好。

蔡委員易餘:部長好。針對這一次美國的對等關稅,當然臺灣有相對的因應措施,所以行政院提出了這4,100億特別預算。這個特別預算裡面,當然是由經濟部主責,未來會由經濟部跟財政部聯席審查。經濟部主責的大概就是協助產業如何在這個時候,第一個,要安定;第二個,幫他們找到國際市場。部長,這在過去幾次的質詢我們都有講到。

郭部長智輝:是。

蔡委員易餘:針對協助產業爭取海外訂單這件事情,可不可以請部長再說明現在經濟部的具體作法?

郭部長智輝:是,報告委員,因為關稅的問題,造成臺灣很多中小微企業可能在取單上面臨到一個很大的窘境,所以現在經濟部的作法就是,我們用一個品牌的名字,叫「Taiwan Select」,將中小企業整合起來,我們帶他們一起到海外去參展,不要再像過去他們用兩個booth、三個booth,用小小的booth去個別展,就像鳥巢一樣,所以我們現在是用一個大的會館「臺灣館」來參展,然後讓各個企業都落在裡面,我們幫助他們來取得訂單。

蔡委員易餘:部長,我想你說的應該是比較大的範圍,如果是一個比較大型的展,比方說機械展,這可能就會有臺灣館,或是農機展,類似這樣的概念。

郭部長智輝:對、對、對。

蔡委員易餘:但是有一些訂單的爭取,那些展覽未必是大型的,未必會變成臺灣整體出去參展,它有一點是會變成……

郭部長智輝:我們大概就是臺灣一個品牌,如果他的公司是比較中型的公司或者是比較有規模的公司,我們就補貼他,他要自己去參加展覽……

蔡委員易餘:講到補貼這一塊,我想跟部長講,因為現在補助的規定是,他如果要出去參加展覽,我們就是看他有多少攤位來補助他,目前大概一個攤位會補助4萬塊,如果增加一個攤位,就給他增加5,000塊,上限就是6萬塊。我要告訴部長的是,如果出去展覽,一個攤位真的不能看,一個攤位小小的,大概就68平方公尺,所以通常廠商要出去展覽,可能都要拚3個攤位、4個攤位,才會讓人家覺得有這個陣仗,做生意就是這樣做,做生意的如果沒有把場面擺出來,有時候那些訂單找你的誘因就會比較不夠。所以我現在要說,你如果是用這樣的補助,你給他4萬塊,然後增加一個攤位才多5,000塊,你想廠商要出去爭取訂單,事實上他要花費很多,但是政府的補助力道看起來卻是這樣小小的。

郭部長智輝:是,報告委員,我想這一部分,為什麼我們這次會增加到100億的預算?這也是院長跟總統下鄉跟所有業者座談的時候聽到大家的反映,所以我們特別編列了比較高的費用來補助,我們的補助方法基本上是要改變參展的型態,像剛才委員指教的,2個攤位、3個攤位太小、太渺小,別人可能看不到……

蔡委員易餘:對,我覺得用「渺小」這個名詞很適當。

郭部長智輝:所以我就把他們整合變成一個大的。

蔡委員易餘:大家一起來。

郭部長智輝:100booth都是臺灣的,裡面有各種應用的設備、設施,當這樣的時候,別人才會看得到,數大就是美,然後現場還會有我們聘的人員、翻譯的人員,這都是經濟部外貿協會或是貿易署可以做的……

蔡委員易餘:你們會聘人員在現場幫忙、協助。

郭部長智輝:幫助他,他就不用派那麼多人去。

蔡委員易餘:我覺得這方向都很好,所以未來特別預算過後,這個就要改進、實施。

郭部長智輝:是,這個要請大院各位委員來協助。

蔡委員易餘:我相信未來在野黨也一樣,大家會一起趕快把這個4,100億通過,不要拘泥在一些小節,大家要趕快拚通過。我再具體建議,我想跟部長說,我們在補助參展的時候,事實上我們應該用產業別、甚至營業額來做一個區隔,我為什麼要說營業額?部長,這是我一個建議,你如果要去外國拚國際訂單,事實上如果沒有一定規模的公司,是沒有那個能量的。所以我的意思是,既然我們要打的是國際盃,比如說我們在打棒球的時候,我們會不會組臺灣的一軍出去打?派最強的出去啊!派最強的出去才有辦法把訂單搶回來,我們派最強的隊伍出去才有辦法打世界冠軍,如果還在二軍的,可能他們要先調整。所以我的意思是,如果這個產業的營業額越大,應該要給他越多的補助,讓他更有能量代表臺灣隊去國際把訂單爭取回來。部長,你支持這樣做嗎?

郭部長智輝:報告委員,委員的這些指正,我們都會朝這個方向來考慮,不過我們希望以大帶小,不是只有大的出去,二軍也要出國去見習一下,以大帶小,整合式啦!

蔡委員易餘:這樣也很好啊,以大帶小,不過前提是你要讓這個大的有動力啊!

郭部長智輝:我們現在就是全部掛供應鏈,以大帶小。

蔡委員易餘:好,所以我覺得補助企業參展這個事情要趕快推動。

郭部長智輝:是,我們會強化。

蔡委員易餘:第二個,我想再請教一下,我們這一次在因應關稅,我看到經濟部有講到一個概念,就是要推動從過去一直在講的產業園區立體化。我想請問部長,這一次的產業園區立體化的具體作為是什麼?

郭部長智輝:關於產業園區立體化,基本上我們會用容積獎勵的方式,會稍微把大家的道路做寬一點,然後大家退縮一點,把原來的廠區朝高度上面去放寬。

蔡委員易餘:所以是容積有辦法再做一些放寬嘛?

郭部長智輝:對。

蔡委員易餘:如果是容積放寬的話,我想要跟部長說,以新加坡為例,因為他的土地就那一點點,所以新加坡在做他的產業園區的時候,都用一個叫做垂直分區的概念,這個垂直分區有的叫做產業上樓,有的叫做生活上樓,他們甚至產業園區裡面也有住宅,也有其他的辦公空間,當然那是新加坡,他的模式沒辦法複製到我們這裡,跟我們不一樣。

郭部長智輝:報告委員,現在經濟部新設的產業園區,在服務中心上面就會蓋宿舍跟生活所需的這些設施。

蔡委員易餘:這個很好,你剛剛講的大概是產二,就是辦公的空間。

郭部長智輝:不、不、不。

蔡委員易餘:我現在要說的是產一,尤其是過去傳統的產業園區,有沒有辦法在這一次產業園區立體化中,也讓他們打破過去的限制?比方說,嘉義有一個嘉太產業園區,嘉太產業園區是嘉義唯一的甲級產業園區,甲級產業園區的土地非常珍貴,所以他根本就賣光光,然後那裡的廠商也找不到其他的產業園區同樣有到甲級的資格,所以他們有個期待就是,如果產業園區立體化,把我們現有的廠房更新,更新後給我們容積獎勵,讓我們蓋高一點,當然在符合所有建築法規蓋高一點的情況之下,我的生產線可以有更寬裕的空間,我覺得這倒是一個很好的方式。

郭部長智輝:是的,我們朝這個方向在努力。

蔡委員易餘:好,我覺得這方面,經濟部要趕快把辦法訂出來,要有一個具體作為,而不是每一次腦袋裡面只想著:我要再開發新的產業園區、我要在哪裡再開發新的。不能這樣!對於過去的產業園區,我們還是要給他獎勵,他們已經在這個產業園區扎根這麼久了,如果他們可以透過立體化爭取容積率的話,他們會把廠房提升,甚至他們也可以導入綠能,導入更多的東西進來,好不好?

郭部長智輝:我們會在今年內來公告實施這個部分。

蔡委員易餘:好,部長,這個很令人期待,謝謝。

郭部長智輝:謝謝委員。

主席:謝謝。

現在請邱志偉委員做詢答。

邱委員志偉:1037分)謝謝主席,先請經濟部郭部長。

主席:郭部長。

郭部長智輝:委員好。

邱委員志偉:部長好。部長,非核家園對我而言不只是一個理念,也是一個信仰,更是法律規定,這不是任何一個黨的目標或者一個黨的理念,而是一個國家法律規定。我為什麼這樣說?環境基本法第二十三條規定,政府應訂定計畫,逐步達成非核家園目標。這一條你知道啦?

郭部長智輝:是。

邱委員志偉:所以這是一個法律規定。現在大家都在討論核三要延役,我先問一個背景問題好了,未來10年臺灣缺電的可能性有多大?

郭部長智輝:未來十年,我們大概討論過,到2032年,目前的……

邱委員志偉:2032年就是未來七年。

郭部長智輝:目前的設施可以上來的,2032年絕對沒有問題。

邱委員志偉:絕對不會有缺電的任何可能性,可能性趨近於零,對不對?我們不能說百分之百,但可能性趨近於零,是這樣子嗎?

郭部長智輝:也就是到2032年是絕對沒有問題。

邱委員志偉:絕對沒有問題,就是不可能缺電!

郭部長智輝:你要講到2035年,後面那個三年……

邱委員志偉:我知道。我是說到2032年、未來七年之內沒有缺電的問題,對不對?

郭部長智輝:沒有缺電的問題。

邱委員志偉:2032年之後包括再生能源、LNG燃氣及各種再生能源,比例都會慢慢的越來越高,對不對?

郭部長智輝:是。

邱委員志偉:燃煤一定會降低,那也是我們的目標,所以在這種情況之下,你說到2032年、這七年之內,絕對沒有缺電的問題,對不對?2032年更沒有缺電的問題,因為再生能源等全部都補上來了,你們為什麼把時間訂在2032年呢?

郭部長智輝:我們現在所有多元的電能裡面,再生能源會從明年的20%2030年會升到30%,也就是再生能源增加主要是因為臺灣的業者需要綠色的能源,基於這個綠色能源的因素,所以再生能源會來到30%2030年就30%。我們明年要讓再生能源來到20%,這就是屬於綠色能源。

邱委員志偉:我請教您贊不贊成核三延役呢?您贊不贊成?

郭部長智輝:我現在是經濟部長,我是依法行事,如果法律規定……

邱委員志偉:你要有想法!

郭部長智輝:如果法令規定延役,我就執行延役。

邱委員志偉:不是,現在法律還沒有修,有政黨、個人、立法委員、縣市首長希望核三延役。

郭部長智輝:對。

邱委員志偉:我想請教您個人的意見,您贊成核三延役嗎?

郭部長智輝:核三延役有三個原則,就是安全無慮……

邱委員志偉:成本、時間。

郭部長智輝:全員有共識、核廢料可以處理,如果這三個原則大家都可以同意,我就去執行。

邱委員志偉:所以你是有前提的支持、有條件的支持?

郭部長智輝:不是支持,我是執行。我是經濟部長,所以我要執行法律規定的事情。

邱委員志偉:這三個條件基本上都沒有辦法有共識。這些主張核三要延役的或者要重啟核核能的,哪一個縣市首長、哪一個立法委員、哪一個民意代表敢說,核廢料放在他的選區、縣市?你有聽過有這樣的縣市首長、這樣的國會議員嗎?他們曾經表態過嗎?沒有,對不對?他說要支持核三延役,核廢料要放在哪裡?以鄰為壑!你知道我的意思嗎?你敢說要核三延役,核廢料你來處理,放在你的縣市、放在你的選區,有人這樣說嗎?沒有人敢這樣說!這樣就是政客,不管是縣市長或任何政治人物,言行要一致,我看到這個覺得很煩惱,政治人物言而無信、隨便亂講,過去說得聲嘶力竭,現在卻全面反對;過去是全力贊同的,現在是全面反對,立法院很多這種人。我覺得核三這個問題你要有立場,你剛剛說的是你的立場,有三個條件包括社會共識、安全,另外是核廢料可以處理,對不對?這個是非常高的門檻,不可能完成、滿足這三項條件,所以我可不可以再解讀,你不支持核三延役?

郭部長智輝:我還是依照這三個原則在處理,因為我們的公務同仁也必須要依法、依規來執行這些事情。

邱委員志偉:你是行政部門主管、經濟部主管,你要有一定的立場、一定的態度!

郭部長智輝:沒有,我就是執行行政院的命令。

邱委員志偉:行政院的命令是什麼?雖然還沒有修法,但是行政院要有態度。

郭部長智輝:一樣,不管有修法、沒修法,我就執行行政院的命令。

邱委員志偉:我個人只要在立法院就是堅決反對,而且這是國家法律規定,不是個人信仰,也不是政黨的目標。

另外,漢翔是國家隊,對不對?漢翔也是經濟部所屬,漢翔跟中科院有一些合約糾紛,我覺得部裡要來處理一下。關鍵的系統件沒有辦法交貨的原因,當然不能歸責於漢翔,是因為全球供應鏈中斷的不可抗力因素,而不是公司管理的問題,這樣中科院竟要罰他將近11億,對公司當然造成很大的影響。經濟部是主管,也是漢翔國家隊的隊長,我覺得應該跨部會協調,部長要了解並跟國防部協調。中科院應該是國防部業管的,你要了解這件事情,麻煩你來協調,幫忙漢翔解決這個問題。

郭部長智輝:好,我們來進行。

邱委員志偉:另外,過去有個施振榮董事長提議在我的選區興達港蓋海洋科學園區,這個部分我最了解,沒人比我更了解,我每天都在那裡,當地所有的建設我都有參與。海洋科學園區是他個人的想法,而我覺得興達海基要轉型,因為沒生意、沒訂單,所以要轉型。地在那邊,設備都在那邊,廠房也都在那邊,有20公頃,旁邊還有地,加起來差不多40公頃。我也曾經請經濟部產業園區管理局召開會議,我說產業園區很重要,特別是針對海洋產業、海洋科技的科學園區很重要。剛好有這個機會,興達海基可以轉型,又有腹地可以帶動地方發展,地方有需求,又可以帶動茄萣、湖內的發展,所以這個要大力促成。因為在我的爭取之下,包括北高雄產業園區、白埔產業園區以及未來的路竹產業園區,如果不是我在這邊質詢,這三個園區不會從天上掉下來,不會現在運行中,任何產業園區一定要大力爭取,所以我希望海洋產業園區未來能夠在這邊落腳,順便協助興達海基轉型。部長的看法呢?

郭部長智輝:我們朝這個方向來研議。

邱委員志偉:你們要有時程表。

郭部長智輝:是。

邱委員志偉:你真的要控管一下進度。

郭部長智輝:是的。

邱委員志偉:謝謝。

郭部長智輝:謝謝委員。

主席:謝謝。

現在請賴瑞隆委員詢答。

賴委員瑞隆:1047分)謝謝主席。請郭部長。

主席:郭部長。

賴委員瑞隆:郭部長好。

郭部長智輝:委員好。

賴委員瑞隆:先請教一下,主計總處有公布了今年第一季GDP的成長率5.37%,當然大家對這個數字有很多不同的解讀,部長怎麼看這樣的數字?

郭部長智輝:本來大家就預期川普總統上來以後,可能會對關稅有一些要求,所以大家可能在原來比較低關稅的時候趕快出貨,美國的buyer也會有這種想法,所以造成第一季會有這樣的現象。

賴委員瑞隆:但全年度應該還是努力以保3為目標?

郭部長智輝:我們現在看第二季大概也會有比較高的數字,第三季以後就不知道,真正的關稅落了以後……

賴委員瑞隆:要看最後談判的結果?

郭部長智輝:對。

賴委員瑞隆:如果以目前的狀態,我們應該還是努力在維持在3以上?

郭部長智輝:我們希望是這樣,目前4月結束了,今天51號,我想4月份大概也都是3以上。

賴委員瑞隆:如果加入政府投入的4,100億特別預算,我想應該是相當有機會的。

郭部長智輝:我們希望今年還是能夠保持原來所估計這樣的部分去努力,但是最後真正的談判結果會造成什麼樣的影響目前還是很難去……

賴委員瑞隆:部長,預定談判結果什麼時候會出來?

郭部長智輝:如果按照進度來講,第一批的75國應該都會在7月前談了一個大致,因為他也不可能跟每一個國家都談嘛,那大概就是全面的……

賴委員瑞隆:是,所以7月前會談完嘛?

郭部長智輝:就是幾個標竿的國家先談,談完以後,後面就比照辦理。

賴委員瑞隆:我看川普應該很急,他也希望儘快的談好並底定,因為看起來他內部的也……

郭部長智輝:如果談太久的話,大概對他們內部的影響也很大,像美國今年第一季也是不好嘛!

賴委員瑞隆:對,所以談太久恐怕對他也有相當大的壓力,所以我想應該會儘快來談完。

郭部長智輝:是。

賴委員瑞隆:那我也要請教一下,因為我們製造業的景氣在2月、3月也有了變動,像在2月幾乎爬到了黃紅燈,其實相當不錯,但是到3月降到了黃藍燈,我認為這當然跟川普這些政策也都有相關的連動,部長怎麼看?

郭部長智輝:是,臺灣的經濟確實受到美國這個關稅政策的影響非常大。

賴委員瑞隆:所以這個燈號的部分也會受到景氣的影響?

郭部長智輝:因為這個是所謂外部環境的變異嘛,所以我想我們都會高度的關注這樣的變異,看未來的發展會造成什麼樣的現象。

賴委員瑞隆:好,我們也期盼在跟美國的談判有一些好的結果之後,對我們的景氣、對我們的經濟成長率都有一些好的幫助跟影響。

郭部長智輝:是。

賴委員瑞隆:再來請教一下,今天好像有人到經濟部去,甚至有立委去批評電力補貼是龐氏騙局,部長怎麼看?是這樣嗎?

郭部長智輝:因為我今天一大早就在這裡了,還沒有進經濟部,所以沒有看到這個現象,這個包圍經濟部的活動如果是合法的,我們都尊重國人所有合法的行動;可是如果是不合法的,我們就要檢討為什麼他會採取這個不合法的行動。至於是不是龐氏騙局,我對這個沒有研究,所以我就不予評論。

賴委員瑞隆:那我問一下,他在這裡面講的是他認為政府現在的能源政策是錯誤的,部長認同這樣的看法嗎?

郭部長智輝:這個就是我一直在講的,所謂正確或者錯誤是用什麼時間點來回顧那個情境,不能說你不喜歡的,你就講它是錯誤,在每一個時期都有那個時期的一些決策,當然你現在來看,我是比較想請教他:你對清朝留辮子這件事情認為是正確或者錯誤?所以我們不能夠用現在來評論過去這個是對的或者是錯的。

賴委員瑞隆:不過我還是要強調,在當下這樣的狀況之下,非核家園還是入法的,還是在朝野的共識下的……

郭部長智輝:對,我們就是要依……

賴委員瑞隆:所以政府當然必須依照相關的法令來進行嘛,對不對?

郭部長智輝:對,沒錯。

賴委員瑞隆:包括核能的部分、核廢料處理也沒有達成共識,甚至於燃煤的部分,大家也覺得燃煤的空污要改善,所以很多縣市也都希望不要燃煤。發展綠能這個方向是國家的趨勢,也是正確的方向,所以我覺得不能夠把這些東西最後就全部導到一句很簡單的話,說現在是一個錯誤的能源政策,講那些是錯誤的能源政策的人,可是我看不出來你的能源政策是什麼。非核家園是國家一個既定的政策,也是朝野的共識,然後核廢料無法處理確實也是一個事實,然後核能安全要怎麼樣讓國人安心,確實目前也沒辦法提出來,所以在當下這個階段,這就是目前的狀態,發展綠電也是目前整個國家的政策,也是世界各國的政策啊!所以我看不懂這些人提出這樣的批評跟這樣的評斷時是用什麼樣的立論基礎來談的。

郭部長智輝:沒有,就像每一個人吃東西有他的口味,都一樣啦!

賴委員瑞隆:對,那就要講出一番道理,就像有人講的,黑的講久了也不會變成白的,我也擔心像這樣不斷的去攻擊能源政策,好像就變成國家的能源政策是錯誤的,那也請提出來你認為具體可行的能源政策是什麼。

郭部長智輝:報告委員,對這個部分我們一定會澄清。

賴委員瑞隆:要不斷的講啦!

郭部長智輝:我非常擔心三人成虎。

賴委員瑞隆:如果講了100遍,有可能講到後來就變成好像……

郭部長智輝:對,就是三人成虎嘛!我想就是成語故事裡面的三人成虎。

賴委員瑞隆:我很擔心這樣子啊!講臺灣獨裁講了100遍,好像臺灣就真的變成獨裁一樣,我覺得這是很錯誤的。

郭部長智輝:這個部分我們台電一定會出來澄清。

賴委員瑞隆:同樣的,一直講能源政策好像是圖利什麼、綠電是圖利什麼,講久了到後來就變成好像是真的一樣,全世界都在發展綠電,如果哪邊有違法就抓出來嘛!那你不能夠攻擊跟污衊整個能源政策。

郭部長智輝:我們認為大家就是依照法令的規定,你認為違法就去提告,我們就是按照法規範下去處理。

賴委員瑞隆:100遍有可能就變成讓大家模糊掉了,所以我真的希望經濟部、能源署還是要不斷的大力說明、澄清,包括這幾年在台電的努力下空污其實有大幅的改善,這是很多人重視的,也是我很重視的,我記得在9年前擔任立委的時候就一直盯著空污的數字,因為發展綠電,因為我們減少了燃煤,所以我們的空污大幅的改善,這對於南部、對中部都有很大、很大的幫助,這些絕對都是貢獻,所以我覺得對這些東西應該要正面給予肯定。那也有很多人不斷在造謠說台電是因為非核政策而導致虧損,部長要不要再澄清一次?

郭部長智輝:我們一定會再次澄清。

賴委員瑞隆:是因為這個能源政策而造成台電的虧損嗎?

郭部長智輝:完全不是,我想在這個邏輯上面有需要再導正的部分。

賴委員瑞隆:好,這個要持續的澄清。

郭部長智輝:因為核能最多的時候大概是占臺灣發電的10%,到現在剩下3%,你說現在我把這3%拿掉就會有多大的影響,我想3%會影響97%的這種說法,我真的就是無法想像怎麼會這樣說這樣子以後就有多嚴重。

賴委員瑞隆:我要請部長不斷的大力去澄清,好不好?要澄清虧損的問題不是這個所造成的。

郭部長智輝:虧損是因為我們過去買的原料比較貴,就是在戰爭的時候,並不是只有臺灣買的價格比較貴,日本也貴、韓國也貴,我們鄰近的國家也都買很貴,而且他們的電價事實上都比我們貴。

賴委員瑞隆:對,所以這才是根本的原因,你買進來的價格變貴了,但是我們又不讓台電漲價,我們政策上希望不要漲價,所以導致台電承受了這些嘛!

我接下來要問,我們也提出特別預算了,在地方講的時候,很多人都說希望支持台電,不管是立委或者地方的民代,甚至於很多企業都希望支持台電,我們現在又再次提出來1,000億撥補的部分,部長,如果最後沒有獲得在野黨的支持,一樣沒辦法在立法院得到這1,000億的撥補,接下來我們的電價會不會有調漲的壓力?

郭部長智輝:報告委員,我想電價調漲還是由電價審議委員會來做決定,他們會參考目前的這個狀況,看台電能夠忍受多久的財務危機……

賴委員瑞隆:負債比已經達到九成了,我們要馬兒不吃草、又要馬兒好,這個其實是有困難的啦!所以我希望台電要穩健的經營,如果是因為這樣而造成的,那國家財政這幾年的經濟成長率不錯,在有盈餘的時候由國家來撥補,我認為是最好的方案,可以穩定電價,也穩定物價,這是最好的方案,對全民的影響是最低的,也不會造成整個經濟上很大的波動。如果遲遲不給的話,台電當然虧損勢必持續加大,你又不給它漲電價,它的虧損就會持續加大嘛!所以我們希望部長強力、持續的去說明,也希望朝野大家一起來努力,臺灣的台電也是大家的台電,大家都希望電力可以穩定的供應,剛剛也講過,在沒有缺電這樣的問題時,我們希望更多人支持台電,讓台電穩定的供電、穩定的發電,讓臺灣的產業、民生都能夠持續的有好的電力,好不好?我希望你們持續加強溝通、說明。

郭部長智輝:是。

賴委員瑞隆:好,謝謝部長。

主席:好,謝謝。

我們現在請鍾佳濱委員做詢答。

鍾委員佳濱:1058分)主席、在場的委員先進、列席的政府機關首長和官員、會場的工作夥伴、媒體記者女士和先生。有請經濟部郭部長和能源署的李署長。

主席:郭部長、李署長。

郭部長智輝:委員好。

鍾委員佳濱:部長好、署長好。我們來看第一頁,部長,您是一個企業家,來自商業界,商業上解決自己的問題和解決別人的問題最大的差別在哪裡?你直覺的反應,在商業上,你還在想?我們直接看看這個答案對不對,你要給我點評一下,這個答案就是解決自己的問題要花錢、解決別人的問題可以賺錢,您同意嗎?

郭部長智輝:同意。

鍾委員佳濱:那這個誰很會做?新加坡跟臺灣都很會,對不對?新加坡跟臺灣都不產石油,結果我們都有很大規模的石化業,您覺得新加坡跟臺灣比起來誰的規模比較大?

郭部長智輝:這個我不清楚,但是署長說新加坡比較大。

鍾委員佳濱:對,新加坡,這很特別嘛,那它現在供應給誰呢?我們來看一下,新加坡是世界三大煉油中心之一,新加坡除了金融業跟觀光業之外,它的航運業幫它賺最多錢,因為它周邊有產油的馬來西亞跟印尼,它透過填海造陸設置大量的煉油廠,最重要是什麼?麻六甲海峽,世界上所有的油輪都要從那邊經過,是不是這樣?

那往下看。新加坡的燃料,它是供應給船舶用,它的石化業,那你覺得臺灣的石化業是用來做什麼的?

郭部長智輝:做下游產品。

鍾委員佳濱:對,而且我們不是自己用,我們還出口對不對?新加坡自己的船隊,它在全世界只有占一點點、1.3%,它煉那麼多的油都是給路過的船舶使用,賺人家的錢。臺灣的石化業進口那麼多的原油,做出來的石化材料也不是自己用而已,賣給別人也是賺別人的錢,您同意嗎?

郭部長智輝:是。

鍾委員佳濱:所以新加坡及臺灣都有航運船隊,剛剛我說了嘛!新加坡的船隊當然在自己那邊加油,臺灣的船隊你覺得會在哪裡加油?

郭部長智輝:看它的航線吧!

鍾委員佳濱:臺灣的航運能力,貨運的12大航商臺灣占了3名,我們的運力占全球快一成的市占率,所以船隊是不是規模很龐大?很龐大嘛!但是它在哪裡加油呢?我賣個關子,往下看,現在為了降低碳排應運而生的氫能產業,你覺得在臺灣其應用除了發電及工業製造外還有運輸,哪一方面需求最迫切?我再給你看一下,臺灣要降低碳排,所以我們的氫能未來要供應給發電、製造及運輸,其中運輸又有陸、海、空,你覺得哪一個占比最高?哪個需求最迫切?

郭部長智輝:這個都在未來,現在氫能沒有那麼大的……

鍾委員佳濱:但是我們要降低碳排,那你覺得現在世界各國都在研究氫能怎麼樣來降低碳排。

郭部長智輝:要看成本,報告委員,我想這些替代的能源是這樣,就是方法有很多,但是就商業的考量來講,我們還是要考慮成本。

鍾委員佳濱:是,除了看成本之外,成本會用什麼來做?碳稅就是一種成本,其實在運輸的領域當中,陸、海、空現在對氫能需求最殷切的是航運,IMO是國際海事組織,它已經規定為了降低溫室氣體排放,在2028年開始,如果船舶用油沒有用低碳燃料,可以課100美金到380美金的額外碳稅,所以部長你說對了,是不是價格出來了?如果你不使用低碳燃料就會被課碳稅,同意嘛!所以你覺得航運是不是很迫切需要使用低碳燃料?

郭部長智輝:是,當然。

鍾委員佳濱:所以低碳燃料目前對航運業的衝擊是什麼?長榮去年買了24艘甲醇雙燃料貨櫃輪,未來還會再訂1124,000LNG雙燃料貨櫃輪,連萬海都要導入使用生質燃油,剛剛講了,航運界都看很遠,一艘船訂下去要用二、三十年,雖然是未來的事情,現在就開始做準備,是不是應該要這樣做?企業家是不是要這樣做?是嘛!但是剛剛揭曉了,我們官股的陽明海運到哪裡去加低碳燃料?到韓國啊!您說得沒有錯,氫對臺灣來講,它是進口的,價格也比較貴,所以我們自家船隊要用的油,低碳燃料要到別的國家去加,臺灣有沒有加注生質燃油的能力?署長,有沒有?

郭部長智輝:臺灣可以生產生質燃油。

鍾委員佳濱:有這個生產的能力,好,但是目前……

郭部長智輝:我們現在像玉米都可以來做生質燃油。

鍾委員佳濱:是,但是目前有沒有供應給我們船舶用呢?還沒有嘛!

郭部長智輝:臺灣的市場太小,我們臺灣這個市場……

鍾委員佳濱:部長,我會嚇一跳!市場怎麼會太小?現在全世界的航運公司2028年要面對100380美金……

郭部長智輝:對一個大的製造廠來講……

鍾委員佳濱:我講的不是工業製造,我講的是船舶燃料,所以未來為了滿足IMO溫體排放,所以臺灣要思考有沒有可能幫經過臺灣海峽的船隊,占五分之一的世界航運量,我們國家的船隊占十分之一的航運量,這些船舶有沒有可能在臺灣加注低碳燃料,這是不是一個市場?部長,你認為這是不是一個市場?

郭部長智輝:就我商業的看法,通過臺灣海峽來臺灣加油的機率不高。

鍾委員佳濱:因為它要加低碳燃料嘛!臺灣目前沒有能力生產。

郭部長智輝:不是,我的意思就是說,其實我們高雄港,來高雄港轉運,當高雄港變成一個大型的轉運中心的時候,在這個地方加油至少還有機會啦!

鍾委員佳濱:是的,沒有錯!所以您說的沒有錯,如果是在這邊有吞吐,它跟新加坡的麻六甲一樣有吞吐的時候,它會同時加注燃料。

郭部長智輝:對。

鍾委員佳濱:所以我要說的是,其實在我們思考氫能產業的時候,不要只有經濟部思考用來替代LNG的火力發電燃料,舉例講,有人說不要為了喝一杯牛奶去養一頭牛,對不對?但是如果你家有個小牧場,你可以跟大牧場批很多原乳來加工成鮮乳賣給全社區的人,所以臺灣有沒有綠能?有嘛!有沒有風電?有嘛!有沒有光電?有嘛!但是生吃就不夠了,這些電直接供應電力都來不及了,有沒有可能去煉船舶燃料?不可能!但是我們如果有這個技術,我們可以進國外類似原料的氫原料煉製成船舶要用的多元低碳燃料,你覺得有沒有可能這樣做?

郭部長智輝:這都有可能,商業模式都可以發展。

鍾委員佳濱:是的,所以就是因為是未來的模式,所以要拜託您發展。

最後結論,因為我國港區跟我國船隊規模,而能提供多元低碳燃料加注業務,所以請經濟部研究國營事業,包括台灣中油有沒有帶動民間產業煉製及供應港區多元低碳燃料的可能性,可不可以請能源署評估一下?

郭部長智輝:是,我們可以評估。

鍾委員佳濱:當然我昨天也問過交通部長了,未來如果要對我們港區的船舶提供多元低碳燃料,也要有專用的管路跟儲槽,這就是交通部的事情了。所以最後我要請經濟部還有能源署與台電、中油參與本席近期將召開之公聽會,我會請交通部跟經濟部共同研究氫能產業,除了在臺灣、除了經濟部,取代陸運汽車用的汽油,而能用氫能代替汽油、代替LNG的發電之外,有沒有可能鎖定船舶燃料這塊面向,來把臺灣打造成一個類似新加坡為國際航運的船舶加注多元低碳燃料的可能性。署長,你要不要再補充一下?

郭部長智輝:是,我們來研究,我要跟委員報告,所有的事情其實最後還是成本來做決定。

鍾委員佳濱:是的,所以就是碳定價的問題。如果今天經濟部有辦法評估20302035年我們可以提供一個什麼樣的低碳燃料定價,那交通部就會告訴你,這樣定價的低碳燃料船舶需要多少的量,你就可以去規劃產生這樣的低碳燃料的建置規模,交通部也可以去規劃供應這樣的低碳燃料給船舶的港埠設施,這樣的建議你會不會去評估?

郭部長智輝:我們來評估。

鍾委員佳濱:好,謝謝。

主席:謝謝。現在請楊瓊瓔委員詢答。

楊委員瓊瓔:117分)謝謝主席。楊瓊瓔發言,邀請部長。

主席:郭部長。

郭部長智輝:委員早。

楊委員瓊瓔:部長好。最近電價議題引發了討論,請問電價漲不漲到底是誰可以決定呢?

郭部長智輝:電價審議委員。

楊委員瓊瓔:但是我沒有看到,過去你們都這麼說,都告訴我是電價審議委員,但是我們看到賴總統、行政院最近都接力地說撥補了1,000億就可以不調電價,請問這不就代表著電價調漲是政府在背後決定嗎?

郭部長智輝:電,我們……

楊委員瓊瓔:是嗎?

郭部長智輝:報告委員,我們是可以把我們的情況跟未來發展的……我們改善它的財務情形,然後讓委員去做決定,委員是獨立的……

楊委員瓊瓔:當然這是之前部長你一直告訴我的,是由電價委員會來做決定,我也建請你將我們所討論的內容給電價審議委員會,但是總統現在這麼說、行政院這麼說,他們說了算嗎?是嗎?

郭部長智輝:不是,報告委員,是這樣子,總統當然他了解非常大的狀況,今天台電因為財務狀況導致於它疲於奔命,為什麼?它已經90%負債了,一年……

楊委員瓊瓔:所以總統先生說的你聽不聽?如果說撥補了1,000億就可以不調漲電價,你會照著他所說的去執行嗎?

郭部長智輝:我們大概……這個是一個邏輯的評論。

楊委員瓊瓔:一個邏輯的評論?總統邏輯的評論?

郭部長智輝:對,就是1,000億下去可以改善它的財務,那麼我們也會建請所有的審議委員是不是可以朝著不漲價的方向來考量。

楊委員瓊瓔:所以部長您現在所說,我們在媒體上看到的總統先生的說法是一個邏輯的評論是嗎?

郭部長智輝:他只是這樣講,就像我撥補1,000……

楊委員瓊瓔:他只是這樣講,所以不是真的,不是撥補1,000億就不會漲價是嗎?

郭部長智輝:不是,委員,你不能這樣子講。

楊委員瓊瓔:不然要怎麼說呢?請做說明。

郭部長智輝:總統講的時候,那個情境只是告訴大家,今天撥補1,000億,大概這個方式可以讓台電將來在考慮要不要重新調整價格的時候,可以考慮是不是不漲價?

楊委員瓊瓔:所以還是問號,還不是決定號。本席要請教,在這一次的4,100億特別預算當中,行政院也包裹要撥補台電1,000億元,這就是剛剛我們所討論的,如果你可以說撥補了1,000億就不漲價,當然我們有討論的空間,你點頭了,所以本席要請教……

郭部長智輝:我是同意你現在講話,我現在很怕耶!我如果點頭,你就說我同意。

楊委員瓊瓔:不是,我們兩個在詢答嘛!要講清楚嘛!

郭部長智輝:是,那我同意你剛才講的那一句話。

楊委員瓊瓔:所以總統現在這麼說,我也要請你說明清楚,對不對?請說明。

郭部長智輝:不是,你現在說我點頭的這件事情,我只是呼應你剛才在講的這一句話,我是講說…

楊委員瓊瓔:好,非常好啊!呼應對啊。

郭部長智輝:我是禮貌上尊敬你講的話。

楊委員瓊瓔:謝謝你,就是不管怎麼樣,我們兩個是在詢答,我們希望能夠讓民眾了解,民眾希望知道真的答案是什麼……

郭部長智輝:是,所以我……

楊委員瓊瓔:所以如果你撥補1,000億可以改善台電整體財務體質,穩定供電,不要變成財務的黑洞,那當然有討論的空間。本席要告訴你,因為以前我們已經砸了3,000億來撥補,電價又多次調漲,民生的部分統計大概是40%,所以到現在還是虧損,還要繼續漲價,在這樣的情況之下,證明真正的原因是我們的能源政策,能源的來源才是最重要的根基。

郭部長智輝:報告委員,我們大家都很清楚,臺灣的能源是多元的能源,各種能源我們能夠用的我們都用,但是不能夠……

楊委員瓊瓔:好,部長,你講的這個就非常好,我們能夠用的我們都要用,但是我們能夠用的,本席告訴你,我們廢核,要把平均成本最低的1.42元核電廢掉不用,煤跟氣的發電成本是2.5塊到3塊左右,而向開發商所買的風、光電是5塊到6塊半。這也就是您所說的,各種能源我們都需要用,但就是有學者指出,統計的數字顯示去年購入火力發電跟風、光電的額外支出,加總起來就超過了600億。在這樣的情況之下,本席要請教,我們現在再生能源的發展跟不上電力的需求,所以你必須要買,這是你虧損的主要原因,我們要怎麼樣去調整,目前政府又貴、又錯、又缺的能源政策要怎麼樣去調整,我告訴你,在你回答之前,部長……

郭部長智輝:報告委員,我們現在81%是化石材料,因為它過去的漲價,導致我們在成本上面的提高。

楊委員瓊瓔:對,所以部長你這麼說,就是本席繼續要跟你討論的,台電自己本身所提出的財務改善計畫,它特別說了實話,它說就算在3,000億外再撥補2,000億,2026年到2027年一樣會虧損,因為台電說它沒有辦法單靠自身努力達到損益兩平,而且還具體建議,若燃料成本波動,可考量適度調整民生電價或政府持續補助民生用電,這是台電自己所提出的財務報告。所以看到這些,本席要請教,撥補完還要漲價,漲價完還要再撥補,這怎麼辦呢?本席絕對要求,不能把人民當成提款機,這一點非常重要,應該要從你的能源政策真正地去探討,這才是重點啊!部長,您請說明。

郭部長智輝:報告委員,我想你們的指教,我們都會參考,我們也會去檢討為什麼它會這樣子說,它到2026年、2027年還是虧損,我們會檢討它的報告內容到底是怎麼樣。

楊委員瓊瓔:部長,這是台電自己本身所提出的報告,也就是他們真正所需要的……

郭部長智輝:是啦,所以我……

楊委員瓊瓔:所以經濟部應該要好好去協助他們,必須釜底抽薪,從能源政策去檢討,要不然你告訴我們,總統先生所說的,你認為是一個評論,那人民到底要依靠什麼?要依靠什麼?原本大家講,如果真的撥補了1,000億就不會漲價,你可以答應我們嗎?你可以答應我們嗎?

郭部長智輝:如果我有這個權力的話,可惜我沒有那個權力。

楊委員瓊瓔:你是部長啊!你沒有這個權力啊?

郭部長智輝:部長也不能夠決定,部長沒有這個權力,因為……

楊委員瓊瓔:本席本來要問你,如果撥補了1,000億,你要答應我們不漲價是一年、半年還是多少年,你告訴我你沒有這個權力,那我們民眾要怎麼辦呢?

郭部長智輝:當然沒有這個權力啊,漲不漲價是電價審議委員會的權力嘛,我怎麼可能代電價審議委員會來決定呢?

楊委員瓊瓔:好,這個議題我也希望你反映,民眾不可以被當成提款機,你們必須要真正地從能源的根基去討論。

最後一個議題,我要請問,你們說要購買SMR,我也聽到你的專訪,我很歡喜,因為你們採開放的態度,所以本席要請教,未來不排除採購小型模組化反應爐SMR,您說目前政府有在做規劃、有在推動這個技術,請教目前的進度、規劃如何呢?是不是代表著政府不再堅持非核家園?

郭部長智輝:報告委員,我們講過了,對新的能源科技,我們並沒有排除……

楊委員瓊瓔:好,非常好。

郭部長智輝:基本上它是安全的,它的核廢料是可以處理的,人民有共識,在這三個前提之下,我們都歡迎討論。

楊委員瓊瓔:所以您在專訪所提出的SMR,這部分確實有在規劃?

郭部長智輝:我們有在討論。

楊委員瓊瓔:有在討論這個議題,好,我們也希望有一個方向也可以告訴我們。但是本席要告訴你,因為每一次討論到這個議題,也就是環境基本法第二十三條,本席也有提案,也就是逐步達成非核家園,改成淨零碳排的目標,你同意吧?

郭部長智輝:方向應該是……這如果是立法院的決議,我們當然一定要尊重。

楊委員瓊瓔:好,如果這個法案通過,換句話說也就是取消非核家園您是支持的,本席也希望大家一起來支持,因為我們必須跟世界接軌,也就是說環境基本法是一個關鍵者。所以本席再請教,您既然支持這個方向,本席有提案,很多的委員也有提案,請教行政院會提案嗎?因為這個法你如果沒有改,其他的開放態度都沒有辦法落實。

郭部長智輝:報告委員,只要是大院通過的,我們當然予以尊重。

楊委員瓊瓔:你會執行嗎?

郭部長智輝:我們尊重。

楊委員瓊瓔:會提出行政院版嗎?

郭部長智輝:那是環境部的事情,不是經濟部的事情。

楊委員瓊瓔:所以本席問你行政院版呢?

郭部長智輝:我是經濟部長,不要用……

楊委員瓊瓔:你是經濟部長,當然你要參與其中去了解啊,對不對?你要參與其中去了解啊,政府橫向組織非常重要。所以您剛剛回答一句話,也就是說,如果立法院通過,你會遵循之?

郭部長智輝:依法依規,我一定要遵循立法院通過的……

楊委員瓊瓔:好,謝謝,我們一起加油。

郭部長智輝:好,謝謝委員。

主席:謝謝。

現在請何欣純委員做詢答,何欣純委員,何欣純委員不在。

現在請黃國昌委員做詢答。

黃委員國昌:1118分)謝謝主席,麻煩有請部長。

郭部長智輝:委員好。

黃委員國昌:部長好。針對台灣民眾黨立法院黨團所提出來核三延役的公投,您日前在接受媒體訪問的時候,你說這很簡單,只要修法不需要公投,我相信那個直播應該有忠實傳達部長的意思。不過我還想再確定一下,第一個是,所以部長你的意思是只要修法通過,行政部門會執行核三的延役嗎?

郭部長智輝:我的意思是,只要通過這個法,我在這個法的框架之下應該執行的任務,我不會退卻。

黃委員國昌:是,所以你還是沒有回答我的問題,法修過只是幫你們在延役的部分除去法規上面的障礙,這是確定的事情,但是立法者可以幫你們除去法規上的障礙,障礙除去掉以後,核三要不要延役這件事情,權力還是在行政部門手上,為了慎重起見,所以我才請教部長,您的意思是,只要法修正通過了以後,行政部門會推動核三延役嗎?

郭部長智輝:報告委員,我想是這個樣子,這個法通過了,經濟部是不是可以獨立來執行這個法,我想我們經濟部可能沒有那麼大的權限。

黃委員國昌:沒關係,你就代表經濟部發言就好了。

郭部長智輝:我代表經濟部,我是經濟部長,我當然是代表經濟部發言。

黃委員國昌:對,這個我知道,所以你就代表經濟部發言。

郭部長智輝:這個是行政院的職責……

黃委員國昌:所以這是行政院才能決定的事情?是不是?

郭部長智輝:行政院有要求我們執行的時候,我們一定會執行。

黃委員國昌:對嘛!好,現在下一個問題,公投通過了以後,你覺得行政院要不要執行?

郭部長智輝:公投通過了以後行政院要不要執行,行政院會有判斷。

黃委員國昌:行政院會判斷?依法行政院可以判斷嗎?

郭部長智輝:啊?

黃委員國昌:依法行政院可以判斷嗎?公投通過了以後,行政院還有判斷餘地嗎?行政院還可以自己判斷?人民公投的結果出來了以後,行政院還可以自己判斷要不要執行公投的結果?行政院有這個權力嗎?

郭部長智輝:我不是行政院院長,所以我也不知道我有沒有這個權力。

黃委員國昌:其實你不需要是行政院院長就可以知道,因為公民投票法裡面已經規範得非常清楚了,公民投票法規範有關於重大政策,公投通過了以後,就應該由總統或權責機關來實現。否則的話,我們的公民投票法是訂好玩的嗎?所以從這個觀點上面來講,我們立法院幫你們除去了法規上面的障礙,行政院要不要往前再邁一步這件事情,你說你是經濟部長,沒有辦法代表行政院院長發言,這個我尊重。但問題是,我要提醒的是什麼?我要提醒的是依照公民投票法的規定,這種重大政策的公民投票通過了以後,總統或行政權責機關就要執行,這個是法律明確的規定!這是法律明確的規定!到時候行政部門就沒有選擇餘地了。

郭部長智輝:當然!

黃委員國昌:當然嘛?

郭部長智輝:我們同意啊!

黃委員國昌:如果是這個樣子的話,你覺得這公投有沒有意義?還是沒意義嗎?這公投意義非常的大啊!公投通過,行政部門就要執行啊!跟單純的立法部門除去掉法規範的障礙以後,行政院要不要執行,行政院還可以做決定,兩個法律狀態完全不一樣啊!我有說錯嗎?

郭部長智輝:法律的部分,我尊重委員的……

黃委員國昌:好,沒有關係。第二個部分,我上次請教卓榮泰,2025再生能源達到20%,大概這個是確定跳票了啦!現在賴清德總統他希望能夠達成的目標是2026年年底以前,再生能源達到20%,這在媒體上講了非常多次了。

郭部長智輝:是。

黃委員國昌:我去年請教卓榮泰的時候,目標大家都會喊,怎麼樣達到那個目標的路徑,才是重要的事情。但很遺憾,可能是卓榮泰去年剛上台,我問他這個問題的時候,他一問三不知,我事後也給行政院,包括經濟部,補交作業的機會。我先請教一下部長,2024年年底我們再生能源的占比達到百分之多少?

郭部長智輝:去年是11.5

黃委員國昌:去年是11.5,其實具體的數字應該是11.6。我為什麼敢這樣講?我秀給部長看,因為這個是行政院的施政報告,在今年到立法院來的施政報告,他講的是11.6,我相信施政報告上面寫的數字是正確的,但是去年年底的時候,你知不知道經濟部所提給我的報告,到2024年的時候,你們的預估是達到百分之多少?

郭部長智輝:這上面寫12.3

黃委員國昌:12.3,所以從今年行政院院長所提出來的報告,到去年年底的時候,你們所給我的預估,清楚地看得出來,我們再生能源占比整個進度是落後的,本來你們預估是12.3,結果實際上面只有11.6

郭部長智輝:是。

黃委員國昌:現實上面的狀況是這個樣子。蔡英文在之前的2025再生能源20%跳票了,現在賴清德新喊的是再生能源2026會達到20%,達得到嗎?

郭部長智輝:我們再努力。

黃委員國昌:再努力嘛!你們經濟部給我的報告預估是達到多少,你知道嗎?這白紙黑字,這個都有經濟部給我的資料。

郭部長智輝:上面寫……

黃委員國昌:上面寫18.9啊!所以連你們經濟部的報告,我分兩個層次講,第一個,經濟部的報告,事實上,你們的預測跟實際的進度比起來,你們的預測已經過度樂觀了。第二個,我即使按照你們自己所提出來的預測,到2026年底,一樣不會達到20%,對不對?是吧?

郭部長智輝:我們現在在努力嘛!

黃委員國昌:現在在努力嘛!針對有關於2026要達標的這件事情,經濟部現在有鑑於過去的評估已經失準,現在還有沒有再做新的評估出來?

郭部長智輝:我們從太陽能,還有離岸風電……

黃委員國昌:是,全部把它加起來。

郭部長智輝:地熱、小水利……

黃委員國昌:是,全部把它加起來。

郭部長智輝:然後我們現在重新訂目標,重新去整合,我們管理的模式改變……

黃委員國昌:是,好。

郭部長智輝:我們希望2026年能夠達到20%

黃委員國昌:那你們重新訂的目標,包括管理的模式,最新的數據出來了嗎?因為從你去年11月給我的數據,到今天的角度上面來看,就完全失準了嘛!你剛剛有講,你們重新有管理模式、重新訂目標,全部都要加起來,非常的好!這些新的數據、新的預估,可以提供嗎?

郭部長智輝:好,我們來做這個報告給你。

黃委員國昌:可以嘛!好,謝謝。

主席:謝謝。現在請羅廷瑋委員詢答。

羅委員廷瑋:1126分)謝謝召委。有請部長。

主席:郭部長。

郭部長智輝:委員好。

羅委員廷瑋:部長,我們看一下照片,部長你知道今天氣候先鋒者聯盟發起人楊家法,也是台電員工,帶著台電員工將近百位剛剛在經濟部抗議,您知道這件事嗎?

郭部長智輝:這個我有收到報告。

羅委員廷瑋:那您知道他們的訴求嗎?

郭部長智輝:我今天早上還沒有到經濟部。

羅委員廷瑋:那您知道他們的訴求嗎?

郭部長智輝:嗯?

羅委員廷瑋:知道他們的訴求嗎?

郭部長智輝:不清楚。

羅委員廷瑋:好,第一個,他們都認為,現階段台電並沒有公開透明,並沒有負起責任,並且相關的政策是大量的虧錢。其中就舉到一個,人事開銷方面,你們說一年撙節了4億,但是錯誤的能源政策4天就燒掉了9億。部長,他們今天所有人的訴求,在經濟部,在你的經濟部面前抗議,你有沒有要回應一下?

郭部長智輝:報告委員,我想一個團體裡面,我們台電大概有3萬個員工,那一百多個人是不是都我台電的,我也不太清楚。

羅委員廷瑋:我剛剛有特別確認,他跟我講,今天同仁至少100位是台電的同仁,不是路人甲、乙、丙、丁。

郭部長智輝:是,但也是我們……

羅委員廷瑋:但是你要跟我講3萬個人……

郭部長智輝:我們台電公司有3萬個人。

羅委員廷瑋:然後只有100個人到現場,它是少數的意思嗎?難道所有其他公民團體抗議就不能夠代表他們一定的聲音嗎?

郭部長智輝:他是不是代表一定的聲音,或者是他只是自己個人的聲音,我不太清楚。

羅委員廷瑋:100個員工就是一股力量、一股聲音嘛!我今天就是說他們的訴求……

郭部長智輝:是,但是我要跟委員報告的就是,我們的員工有3萬人。

羅委員廷瑋:但是你不能說有3萬人,他就是少數,所以他聲音不重要,是嗎?

郭部長智輝:我不是說他不重要,不重要是你說的!

羅委員廷瑋:所以你不需要跟我講你台電員工有沒有3萬人。

郭部長智輝:但我只是告訴你,你跟我講有100人,我跟你講我們有3萬人嘛!

羅委員廷瑋:今天重點是有一群台電的員工,他們願意站出來,願意表達他們的心聲,他們是現職的員工,但是他們不畏強勢,他們願意站出來,我想問你的是你願不願意回應他們嘛?

郭部長智輝:回應什麼啊?我不知道他在訴求什麼。

羅委員廷瑋:對不起,我剛剛跟你講的時候,你在旁邊跟人家聊天啊!

郭部長智輝:我沒有跟他聊天,我是在問我們有多少人,我沒有聊天喔!

羅委員廷瑋:第一,他說你們講撙節開銷,將所謂的人事開銷一年省了4億,但是錯誤的能源政策4天燒掉9億,他是台電人,他看不下去,整個錯誤的能源政策讓台電面臨巨大的虧損,您怎麼回應?

郭部長智輝:是嗎?是這樣嗎?

羅委員廷瑋:那你覺得台電是賺錢喔?台電賺大錢喔!

郭部長智輝:你認為……

羅委員廷瑋:如果台電是賺大錢,現在還需要撥補嗎?

郭部長智輝:你認為是那個造成我們虧損嗎?你認為是他講的造成我的虧損嗎?

羅委員廷瑋:所以你認為是賺錢,沒有虧損?

郭部長智輝:我沒有說它是賺錢,但是你認為它是虧損喔?

羅委員廷瑋:這是他們目前講出來的數據。

郭部長智輝:那是不是要就虧損這件事情來討論?

羅委員廷瑋:您到現在只是要跟我在這邊鬥嘴,沒有意義啊!

郭部長智輝:我沒有跟你鬥嘴,是你老是……

羅委員廷瑋:我說他現在提出的數據,您可不可以回應?您認為呢?

郭部長智輝:我不知道要回應什麼!

羅委員廷瑋:他說虧錢,錯誤的能源政策……

郭部長智輝:虧錢有很多種原因,不能講這個事情是什麼能源政策,他是專家嗎?

羅委員廷瑋:他是第一線實際在台電上班的員工,看不下去啊!那請問一下,您這樣講,那您是專家啦?

郭部長智輝:他看不下去喔……

羅委員廷瑋:那您是專家嗎?不好意思……

郭部長智輝:坦白講,他看不下去,他離開啊!

羅委員廷瑋:您是專家嗎?

郭部長智輝:對不對?看不下去,沒有人要他留在這裡嘛!

羅委員廷瑋:您講這句話,我就要問你了,現階段你說請他離開,你會不會秋後算帳?這些人為了自己的心聲、為了全國百姓的聲音說出來……

郭部長智輝:我們講了很多次喔!

羅委員廷瑋:你說請他離開,你是不是要秋後算帳?

郭部長智輝:這是你講的。

羅委員廷瑋:那你為什麼要請他離開?

郭部長智輝:這是你講的。

羅委員廷瑋:你為什麼要在國會殿堂講說請他離開?

郭部長智輝:這是你講的,我在國會殿堂講,你要就事實來論述,你不能夠隨便亂講。

羅委員廷瑋:今天我是轉述這些團體,他們的聲音……

郭部長智輝:你是國會議員,你要怎麼用1.3%的人來講這件事情?第二個,4億的話,你知道我們一年有多少營業額嗎?

羅委員廷瑋:你又著重在1.3%,你現在就是覺得他們人數少,看不起他們嗎?你都不就我剛剛問的問題來回答,第一,我說他們的心聲是這樣,你願不願意回答?你一下說他是專家嗎?一下說他是1.3%的人;現階段你剛剛又回答說那他可以離開啊!所以我要問的第二個問題:你現在會不會針對這些人秋後算帳?

郭部長智輝:我為什麼要秋後算帳?你告訴我。

羅委員廷瑋:因為你剛剛的態度看起來就是很強硬,你說可以請他們離開啊!

郭部長智輝:你看我的態度跟我看你的態度,也都差不多吧!

羅委員廷瑋:那你怎麼可以在國會殿堂請人家離開?

主席:好!不好意思,羅委員、郭部長,我們現在不要動氣。

郭部長智輝:是你在講的嘛!你在講一個事實。

羅委員廷瑋:我們調回剛剛的錄影帶,你剛剛說:他不高興,他可以離開啊!

郭部長智輝:當然,我們沒有要求他不可以離開啊!

羅委員廷瑋:你這樣的態度就是漠視這些發生事件的人。

郭部長智輝:那要怎麼講呢?

羅委員廷瑋:我就希望你就事實回答,他今天在經濟部有遞上陳情書,剛剛我也講了,實際他們所發言的內容……

郭部長智輝:我也沒有收到他的陳情書,報告委員,他如果對台電不滿可以向台電陳情,他找我……有很多陳情管道可以往上反映,我們也都有員工反映信箱。

羅委員廷瑋:經濟部是主管機關,經濟部是整個能源政策的主管機關,你不要推給台電,那我請教你,就你說的話,國內約有84%電力將轉由火力發電,這是事實吧?

郭部長智輝:沒有錯,是從81%轉成84%

羅委員廷瑋:好,那我想請問一下,晚上沒有太陽、無風無雨,晚上火力發電會達到多少?會不會將近100%?沒有太陽能,無風無雨啊!

郭部長智輝:你這個假設情況的機率非常小。我跟你講,我們還有地熱、還有水力。

羅委員廷瑋:我當然知道,所以我說將近100%,我沒有跟你說是100%嘛!

郭部長智輝:你現在講的……不是這個意思?

羅委員廷瑋:我問你晚上無風無雨或沒有太陽,晚上一定沒有太陽吧!這樣是84%火力發電嗎?

郭部長智輝:是多少我要看數字。

羅委員廷瑋:一定會增加,對不對?

郭部長智輝:報告委員,就我們的資料顯示,這87%是全年的平均。

羅委員廷瑋:你用全年的平均來回答我。好,現階段要跟大家講的是,臺中市是最痛苦的,一手拿著我們的稅金去撥補台電;一手漲著我們的電價,再來火力發電最大宗都在臺中,現階段燃氣機組準備要上線,你燃煤機組不願意換。王美花之前承諾願意的條件,請問一下郭部長,換你上任後,王美花說的燃氣機組換燃煤機組還算不算數?

郭部長智輝:我們本來就是燃氣機組換燃煤機組。

羅委員廷瑋:但你還有沒有備而不用?

郭部長智輝:備而不用這是另外一個安全上的考量。

羅委員廷瑋:會有這樣的安全考量,就是因為我們缺電、就是電不夠多,所以基本上你希望當整個電力緊急有問題的時候,甚至當問題產生的時候,發生所謂的跳電,然後才會使用到備用機組。

郭部長智輝:報告委員,安全不只是電力不夠,有一些國防的issue也叫做安全……

羅委員廷瑋:召委在催我,我要講的是中部地區也包含彰化,我們在針對火力發電廠抗議的時候,彰化王縣長也來到現場,中部地區的空污實在是非常嚴重,所以我們希望經濟部真的要檢討現在的能源政策,並且我希望雖然發聲的是少數的員工,我尊重你的說法,但是我們一定要尊重他們的聲音,並且能夠保障他們的工作權,我再一次拜託。

郭部長智輝:我們一定尊重少數,我沒有講不尊重少數喔!

羅委員廷瑋:請你不要隨意地講出「他可以離開」這樣的話,真的不好。

郭部長智輝:我們一定尊重少數,我只是說他是自由的,他可以表達他的意識。

羅委員廷瑋:這樣很好,但是你剛剛不要提到說:他不高興,他可以離開。你給人的感覺就是那你不要來做啊!

郭部長智輝:你不要隨便定義我的話。

羅委員廷瑋:你不要講這樣的話,要保障這些人的工作權。

郭部長智輝:我的話我自己定義,你不要隨便定義我的話。

羅委員廷瑋:你講出來了,你就要接受可受公評嘛!

郭部長智輝:我當然接受,但是我講的話是我定義,不是你定義。

羅委員廷瑋:這些我就不跟你再多說了,因為召委一直在催。

主席:時間到了,不好意思,謝謝。

現在請蘇清泉委員做詢答,蘇清泉、蘇清泉委員不在。

登記發言委員除不在場外,其餘均已發言完畢,詢答結束;委員林岱樺所提書面質詢,列入紀錄,刊登公報。

委員林岱樺書面質詢:

鑒於西葡兩國大停電與極端氣候具可能關聯性,且依據台電回文目前各綠能發電設備已具備一定IoT環境偵測設備,為強化國家再生能源供應之科學數據收集及掌握能源供應穩定狀況,以作為能源政策參考之科學依據。

請回覆目前再生能源電廠氣候及環境平台資料收集系統之進度。

主席:書面質詢和未及答復部分,請相關單位於一週內以書面答復並副知本會。

進行審查再生能源發展條例第十三條條文修正草案,現在進行廣泛討論。廣泛討論無人登記發言,請議事人員宣讀所有條文,若有修正動議及附帶決議,請一併宣讀,宣讀完畢後,再進行協商。

請宣讀。

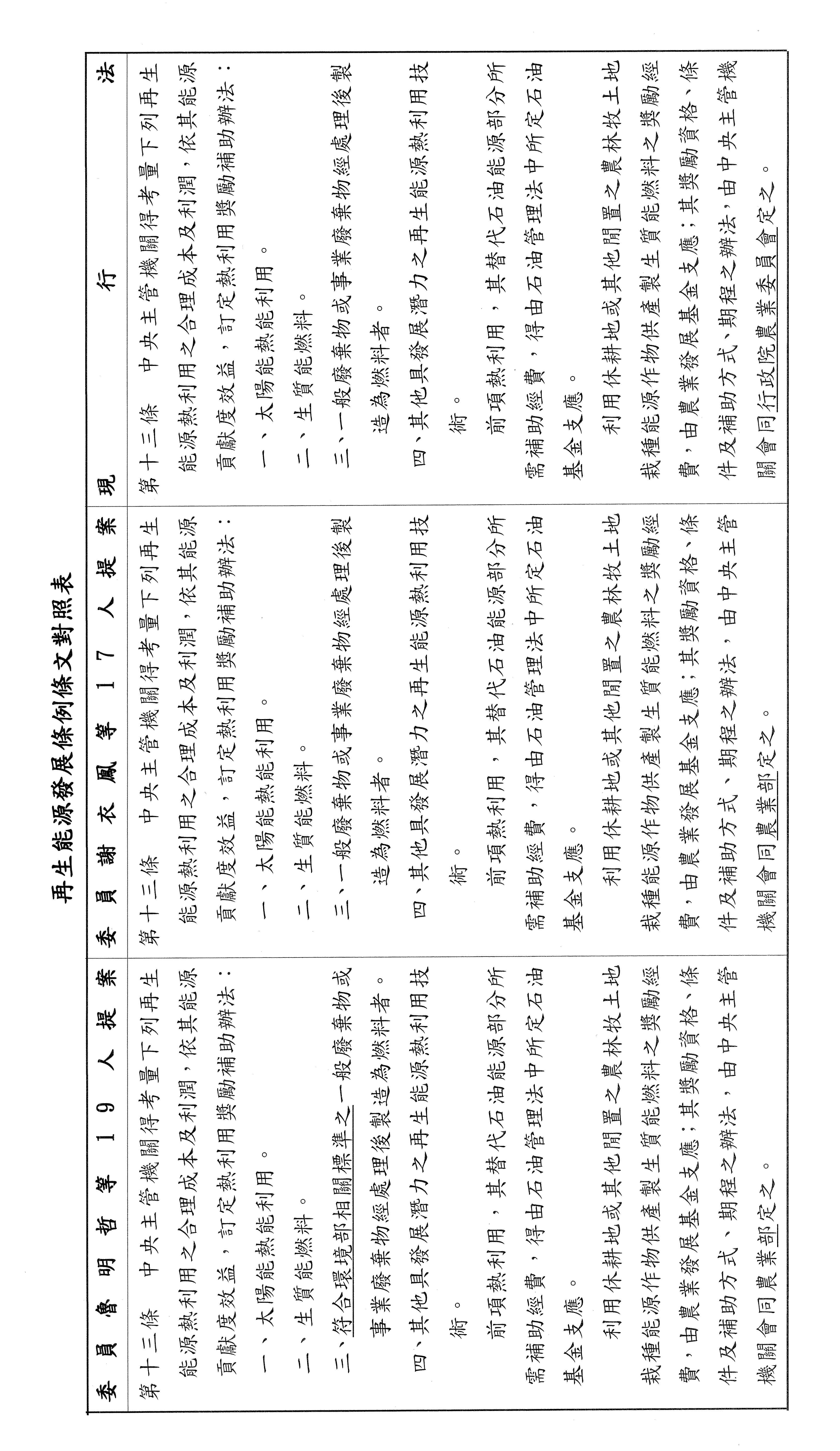
DrawObject1

二、修正動議:

主席:現在進行協商。

請賴委員瑞隆發言。

賴委員瑞隆:這個修正內容應該大致上沒有什麼太大的不同意見,我只是建議,像魯明哲委員提的這個部分,因為「符合環境部相關標準之」,一般像這樣的文字其實是可以考慮放在立法說明裡面,這樣會讓整個法條文字比較簡單一點,比如一、太陽能熱能利用;二、生質能燃料;三、一般廢棄物或事業廢棄物經處理後製造為燃料者,這樣文字上看起來會單純一點,我認為如果放在立法說明,是比較好的一個選擇,看看各位委員的看法?

主席:請問楊瓊瓔委員?

楊委員瓊瓔:非常感謝。我只是提醒我們所提的修正條文,因為現在「行政院農業委員會」已經改為「農業部」,所以我們就把機關名稱正確之,敬請大家來支持,謝謝。

賴委員瑞隆:好,支持。

主席:對於剛剛賴瑞隆委員所提議的,以上委員有沒有意見?

陳委員亭妃:沒有。

賴委員瑞隆:謝謝。

主席:行政部門李署長?

李代理署長君禮:沒有。

主席:沒有意見?

李代理署長君禮:同意放在現行條文的說明裡面就可以。

主席:好,楊瓊瓔委員?

楊委員瓊瓔:對,放說明就好。

主席:好,那就放說明,我們就把魯明哲委員第三點「符合環境部相關標準之」放在立法說明裡面。

賴委員瑞隆:其他就照案通過。

主席:就按照謝衣鳯委員等17人提案通過,可以嗎?

陳委員亭妃:可以。

主席:好,修正動議也會通過,就是按照這個版本,好不好?

賴委員瑞隆:謝衣鳯跟楊瓊瓔委員的。

主席:對。

賴委員瑞隆:好!

主席:好,請宣讀協商結論。

協商結論:再生能源發展條例第十三條條文修正草案,照委員謝衣鳯等17人提案及委員楊瓊瓔等3人提案之修正動議通過。

主席:請問各位同仁,照宣讀協商結論通過,有沒有異議?(無)好,那無異議通過。

討論事項所列再生能源發展條例第十三條修正草案審查完竣,擬具審查報告提報院會討論,請問院會討論前需不需要交由黨團協商?

賴委員瑞隆:不用,不用。

主席:好,那就不須交由黨團協商。

本日議程處理完畢,現在散會。

散會1140分)