立法院第11屆第3會期司法及法制委員會第19次全體委員會議紀錄

時  間 中華民國11464日(星期三)9時至1322

地  點 本院紅樓302會議室

主  席 吳委員宗憲

議  程 報告事項

邀請司法院副秘書長、法務部部長、法務部矯正署署長、衛生福利部、內政部警政署率所屬相關單位列席就「法官如何判死(死刑量刑準則)─包括被害影響陳述(訴訟參與人意見陳述)、教化可能性、復歸社會可能性、量刑前社會調查/鑑定,及現行司法實務如何將刑法第57條第7款至第10款、第59條納入量刑鑑定因子」進行專題報告,並備質詢。

討論事項

併案審查

()委員賴士葆等20人擬具「中華民國刑法第二百八十六條條文修正草案」案。

()委員羅廷瑋等16人擬具「中華民國刑法第二百八十六條條文修正草案」案。

()委員王育敏等18人擬具「中華民國刑法第二百八十六條條文修正草案」案。

()委員陳亭妃等17人擬具「中華民國刑法第七十七條及第二百八十六條條文修正草案」案。

()委員張智倫等17人擬具「中華民國刑法第二百七十一條及第二百八十六條條文修正草案」案。

()國民黨黨團擬具「中華民國刑法第二百八十六條條文修正草案」案。

()委員邱鎮軍等19人擬具「中華民國刑法第二百八十六條條文修正草案」案。

()委員王育敏等23人擬具「中華民國刑法第二百七十一條條文修正草案」案。

()委員葉元之等18人擬具「中華民國刑法第二百八十六條條文修正草案」案。

()委員王鴻薇等21人擬具「中華民國刑法第二百八十六條條文修正草案」案。

(十一)委員柯志恩等16人擬具「中華民國刑法第二百八十六條條文修正草案」案。

【第二案()(十一)如經院會復議,則不予審查】

答詢官員 司法院副秘書長王梅英

司法院刑事廳廳長李釱任

法務部部長鄭銘謙

法務部常務次長黃謀信

法務部矯正署署長周輝煌

衛生福利部政務次長呂建德

繼續開會

主席:現在繼續開會。

介紹應邀列席官員:司法院王副秘書長、法務部鄭部長、法務部矯正署周署長及衛生福利部呂建德政次,其餘未及介紹列席代表請參閱名單,不再逐一介紹,並列入公報紀錄。

立法院司法及法制委員會第11屆第3會期第19次全體委員會議列席政府官員名單  11464

DW3193567

職稱

姓名

司法院

副秘書長

王梅英

刑事廳廳長

李釱任

法務部

部長

鄭銘謙

常務次長(11時以後)

黃謀信

檢察司司長

張曉雯

檢察司副司長

簡美慧

法務部嬌正署

署長

周輝煌

衛生福利部

政務次長

呂建德

保護服務司副司長

郭彩榕

心理健康司專門委員

洪嘉璣

內政部警政署

防治組副組長

黃南山

刑事警察局警政監

張文源

DW4345774 席:本日會議議程分別排定進行專題報告並備質詢,及併案審查委員賴士葆等20人擬具「中華民國刑法第二百八十六條修正草案」等11案,會議程序依例先進行提案說明及報告。

現在進行委員提案說明,每位發言時間3分鐘。

請問有沒有哪位委員要進行提案說明?

王鴻薇委員先簽到的,那就先請王委員,再麻煩王委員一併代表說明國民黨的黨團提案,謝謝。

王委員鴻薇:謝謝主席。各位委員及與會的官員。我們都知道在剴剴案被虐死之後,社會上其實引發了非常非常多的關注,依據衛生福利部保護服務司公布的兒少保護統計,在2019年到2023年,我國兒少受虐合計人數從11,113人增加到12,646人,增幅13.8%,其中未滿六歲受虐人數從2,244人增加到2,868人,增加的幅度更高達27.8%,顯示我國兒虐問題惡化,兒虐人數逐年增加,真的非常有必要用加重虐待兒童的刑期來發揮效用,才得以保護我們的兒童能夠安全、平安地長大。而在第一時間,我們看到公共政策網路參與平臺也有提案,短短不到一個月,有13萬公民附議要針對虐童致殘、致死者加重刑責,這樣的引發公憤,而我們的立法機構跟行政機構當然應該要對所有廣大公民的提議提出適當的回應,但非常遺憾的是,在這個過程裡面,法務部並沒有接受,而且是在公民團體以及立法院一直召開專題會議之下,法務部才改口說,針對凌虐兒少致死罪是否增訂死刑,會通盤檢討。但是我們覺得我們沒有辦法再一直等待行政單位遲遲沒有辦法修法,所以在去年,事實上國民黨團一共有15個修法提案,但是可以看到執政黨,也就是民進黨團提案數是0,其中在國民黨團裡面有非常多的提案是要把死刑納入刑法第二百八十六條修法,凌虐兒童致死要處以死刑或是無期徒刑。而今年國民黨團也正式提出黨團版,在刑法第二百八十六條第五項,針對未滿七歲,致人於死者,處死刑或無期徒刑;致重傷者,處無期徒刑或十年以上有期徒刑。我們希望藉此修法來保障兒少的福利,伸張兒少司法的正義,未來我們也會繼續努力。

主席:謝謝。

下一位請王育敏進行提案說明,就第3案及第8案兩案一併說明,謝謝。

王委員育敏:謝謝主席。各位同仁大家好。在我擔任立委的時候,從第8屆開始,我就提出虐待兒童致死應該最高可以處以死刑,到現在我第11屆重返立法院,這樣的主張我還是繼續堅持。雖然過去在提出相關法案的時候,都被司法單位打回票,覺得不可以再增訂死刑,但是我認為法律是服務人民,法律應該與時俱進。從最近的虐童案,大家已經看到了,對於六歲以下沒有自我保護能力,被大人活活虐待致死的孩童,所有人民都憤怒了,也覺得不應該,但是孩子的司法正義有沒有得到伸張?並沒有!在目前中華民國的刑法裡面,強盜致死最高可以到死刑,但是凌虐一個孩子致死卻沒有死刑,請問我們真的有給孩子公平正義嗎?所以今天我為什麼提了兩個修法的法條,就是要讓法務部表態,你今天到底要修在第二百八十六條還是修在第二百七十一條?因為過去我提第二百八十六條的時候,他就說不可以在第二百八十六條,這不符合比例原則、罪刑相當原則,所以感覺好像應該修在第二百七十一條,但是當提出第二百七十一條之後,他可能又會用別的理由來拒絕,我認為法務部不要再逃避這樣的問題。前陣子公民團體超過138,995人提議,虐待兒童致死應該最高可以到死刑,這個就是強大的民意。

今天我看到法務部的報告,他說之後還會再開專家學者會議,再來研議。請問你要研議到何時?這一題應該早就要研議出來了吧?所以我希望法務部不要再逃避你的責任,也不要把這個變成是你推託的藉口。今天國民黨的立委多人提出版本,包括黨團提出版本,事實上我們只有一個目標,就是這些弱小的孩子的確需要受到更大的保護,而當有大人用凌虐的方式、用殘忍的方式,導致這個孩子失去他的生命,你必須付出相當的代價,而這個代價就是我們應該要在刑法裡面增訂,凌虐幼童致死最高可以處以死刑,用最嚴厲的法律來制止這些不良的人繼續去傷害我們的孩子。所以請大家支持我們繼續修法,希望這次修法可以通過,讓我們還給孩子應有的司法上的公平正義,謝謝。

主席:謝謝。

下一位請張智倫委員進行提案說明。

張委員智倫:謝謝主席。各位委員、各位官員早。近年來,國內屢見針對幼童施以凌虐之重大刑案,不乏年僅一、兩歲之嬰幼兒遭長期虐待最終致死,令人痛心疾首。儘管現行刑法在第二百八十六條已經針對兒童凌虐行為明文入罪,並在去年修法加重其刑至二分之一,但實務上卻難以有效嚇阻,此類似的案件一再重演,顯見現行法制對防止嚴重兒童虐童案的嚇阻效果仍有不足,也難以回應社會對於加重刑責、保護幼童生命權的高度期待。

根據衛福部的統計,112年全國受虐兒少案件多達12,646人,其中未滿6歲者即達2,868人,占比將近23%,年紀越小越沒有自我保護與表達能力,如果無法及時發現,常常淪落為長期凌虐的受害對象,最終釀成不可挽回的憾事。尤其以1121224號的剴剴案為典型,僅1歲的男童遭受托保母凌虐致死,引發社會強烈憤慨,之後更有近14萬人在公共政策網路平臺連署,主張虐童致死應處以死刑或無期徒刑,並不得假釋,足以證明人民對於強化兒少保護的強烈期待。

本席針對刑法第二百七十一條及第二百八十六條提案,增訂加重處罰之規定,對於未滿7歲之人,若以凌虐方式致死,處以死刑或無期徒刑,處以無期徒刑者,明文不得假釋,並同步提高對於未滿18歲兒少虐待之基本刑責,致重傷、致死結果處罰之標準應符合比例原則,提升整體法律威嚇力。我們這次所修正的條文除參考聯合國兒童權利公約及公民與政治權利國際公約的精神外,更充分體現我國政府對於保障兒童生命權、身心發展與人性尊嚴之責任,希望透過此次修法建立社會對於兒虐零容忍之共識,並有效遏止不法,使每一位孩子皆能在安全與尊重中成長茁壯。敬請各位委員支持本修正提案,儘速完成立法程序,落實大家對兒童權益的保障,謝謝。

主席:謝謝。

接續進行機關報告,請機關代表針對專案內容及法案一併報告,詢答時採綜合詢答,每位發言時間3分鐘。

先請司法院王副秘書長報告,接下來請法務部鄭部長報告,謝謝。

王副秘書長梅英:主席、各位委員、各位先進,大家早安。本院奉邀列席報告,深感榮幸,茲報告如下,敬請指教。

第一點、教化可能性、社會復歸可能性和死刑量刑的關係。教化可能性就是社會復歸可能性的上位概念,教化可能性並不是一個精神醫學、心理學或者法律固有的概念。實務上,鑑定人對於法院這部分的囑託會分別鑑定被告矯治的可能性、再社會化的可能性,還有再犯的可能性。

量刑前的社會調查和責任能力鑑定是不一樣的,責任能力鑑定的重點在於判斷被告行為當時是否因為精神障礙,欠缺辨識能力或控制能力,量刑前的社會調查是重在發覺有沒有影響被告犯罪的中、遠程犯罪原因,也就是回顧被告過去的面向,協助法院判斷被告日後的社會復歸可能性,這個部分是展望被告未來的面向。再來,根據司法院重大矚目刑事案件量刑前調查/鑑定評估參考手冊說明,社會復歸可能性作為鑑定的事項,量刑前調查量刑因子基本上還是要以刑法第五十七條第四款、第五款及第六款關於被告的生活狀況、智識程度及品行作為核心。量刑前的社會調查雖然可以提供法院全面的視角,讓法院可以更慎重、周全判斷個案的量刑因子,還有適用刑法第五十九條的必要,但並不是直接把刑法第五十九條的適用全權委託量刑前的社會調查。

有關被告影響陳述部分,主要是起源於美國法制,這一類的陳述可能令人難以承受或者是有偏見,又或者是具有一定的煽動性,所以在程序上限於量刑階段的進行,實體的部分只限被害人個人特徵跟犯罪結果對於被害人家庭成員所造成的情感衝擊。這部分在我國法制的相關規定請參考書面,主要是使被害人或其家屬可以陳述意見,或者是就科刑的範圍表示意見。

第二個部分是關於刑法第二百八十六條修法草案,詳如書面。本院尊重貴院及相關主管機關意見的形成。以上。

主席:謝謝副秘。

下一位請鄭部長報告。

鄭部長銘謙:主席、各位委員、各位女士、先生。今天奉邀列席並代表本部報告並備質詢,茲報告如下,敬請指教。

有關專題報告法官如何判死及死刑量刑準則部分,在憲法法庭作成113年度憲判字第8號判決之後,最高法院已對死刑案件涉及刑法第五十七條量刑事由說明其法律上意見,必須考慮一般情狀及犯罪情狀。刑法第五十七條量刑審酌事項及第五十九條酌量減刑之規定賦予法院個案裁量權。對於適用國民法官審判程序的案件,本部所屬檢察機關均落實提出量刑證據,使個案都能符合程序及實體正義,並求取充分評價之適當刑度,以懲不法。對於量刑不當個案,亦將依法提起上訴救濟,以符罪刑相當性,捍衛被害人的權利。

第二、有關併案審查虐童相關刑法修正草案部分。感謝各位委員長期對兒虐刑責的關心及重視,刑法第二百八十六條近來經過108年及去年二度修正,新增第三項至第五項的處罰規定並擴大本罪適用年齡範圍,以遏止並重罰兒童少年身心受凌虐的不法惡行。目前本部已將虐童刑責納入刑法研修會議討論議案,聽取審檢辯學及機關代表意見,並於近期召開修法研商會議,廣納各界意見,通盤檢討相關各罪及刑法假釋的規定。本部贊成兒童欠缺自我保護能力,對虐童致死之被告應予嚴懲重罰,對各界修法建議均極為重視,也尊重各位委員提案的修法內容,更可考慮在符合比例原則、罪責相當的前提之下,對以凌虐方式殺害未滿7歲兒童之犯罪被害人,提高處罰刑度或調整假釋規定,達成遏止虐童犯行的目的,實踐兒少的司法正義,充分保障生命身體的法益。

有關各位委員草案版本關於條文構成要件、刑度與刑法總則之關聯部分,敬請參酌本部書面意見。以上報告,敬請主席及各位委員指教。

主席:謝謝部長。其餘提出書面報告機關有沒有需要口頭補充的?沒有的話,機關代表報告完畢,相關書面報告內容請各位參閱並列入公報紀錄。

司法院書面資料:

一、邀請司法院副秘書長、法務部部長、法務部矯正署署長、衛生福利部、內政部警政署率所屬相關單位列席就「法官如何判死(死刑量刑準則)─包括被害影響陳述(訴訟參與人意見陳述)、教化可能性、復歸社會可能性、量刑前社會調查/鑑定,及現行司法實務如何將刑法第57條第7款至第10款、第59條納入量刑鑑定因子」進行專題報告,並備質詢。

二、併案審查()委員賴士葆等20人擬具「中華民國刑法第二百八十六條條文修正草案」案等十一案。

主席、各位委員、各位先進:

今天 貴院司法及法制委員會第19次全體委員會議,本院奉邀前來就「法官如何判死(死刑量刑準則)─包括被害影響陳述(訴訟參與人意見陳述)、教化可能性、復歸社會可能性、量刑前社會調查/鑑定,及現行司法實務如何將刑法第57條第7款至第10款、第59條納入量刑鑑定因子」列席報告,並就併案審查()委員賴士葆等20人擬具「中華民國刑法第二百八十六條條文修正草案」案等十一案表示意見,深感榮幸。茲就與本院業務有關部分報告如下,敬請指教。

壹、專題報告

一、教化可能性、社會復歸可能性與死刑量刑之關係

()「教化可能性」即為「社會復歸可能性」之上位概念。最高法院102年台上字170號判決確立法院對被告選科死刑應:逐一盤點刑法5710款有利、不利被告之量刑事由,提升對被告全人格之認識,立體化被告之形象。於判斷被告是否「顯無教化可能性」時,應以「實證調查(例如科刑前調查報告)」之方式為之。

()「教化可能性」非精神醫學、心理學或法律固有之概念,故實務上鑑定人面對法院之委託,會分別鑑定:矯治可能性:受矯治人願意聆聽內容,並願意思考、接受及內化聆聽內容。(再)社會化可能性:被告是否願意與社會互動,並使其行為符合社會各種規範的要求,以及調整其行為與旁人相處,建立互動關係。再犯可能性:被告未來是否會再犯,通常是指是否會再犯相同犯行之可能性。亦即鑑定被告社會復歸之可能性。另是否屬「情節最嚴重之犯行」而得以宣告死刑,事屬法院認事用法之職權行使,本院予以尊重。

二、量刑前社會調查/鑑定

()量刑前社會調查或鑑定與責任能力鑑定之區別

責任能力鑑定重在判斷被告「行為時」是否因精神障礙或心智缺陷致欠缺辨識行為違法(即辨識能力)或依其辨識而行為之能力(即控制能力)。量刑前社會調查/鑑定則重在「回溯被告過去的成長背景、家庭環境、求學情形、工作狀況等,藉此探尋被告犯罪動機形成背景,發覺有無影響被告走向犯罪之中、遠程犯罪原因(回顧過去之面向)」,以及「蒐集被告之前科紀錄、年齡、勞動能力及意願、家庭環境及生活狀況、身體狀況、性格等,協助法院判斷被告日後之社會復歸可能性(展望未來之面向)」。

()司法院「重大矚目刑事案件量刑前調查/鑑定評估參考手冊說明(下稱「量刑鑑定手冊」),基於再犯可能性評估使用之評估工具(例如RNR模式)本為「處遇階段」之評估工具;矯治可能性則除同樣涉及矯治執行階段之評價外,尚涉及行為人本身因素以外之國家矯治環境、財政資源投入多寡等環境因素。量刑鑑定手冊建議宜由具犯罪學、心理學、社工專業背景之鑑定人,以被告晤談、訪談親友、心理衡鑑及書面資料分析等方式,廣泛地蒐集與被告之「保護因子」及「危險因子」相關之量刑資訊,供法院進行有效判斷。

()量刑前社會調查/鑑定與刑法第5759條各款之量刑事由

量刑前調查或鑑定有關之量刑因子,雖可能因個案特殊性、鑑定命題及鑑定手法廣泛地涉及「犯罪行為人與被害人之關係(刑法第57條第7款」)、「犯罪行為人之義務違反程度(刑法第57條第8款)、「犯罪所生危險或損害(刑法第57條第9款)」、「犯罪後之態度(刑法第57條第10款)」,然基本上仍是以「生活狀況(刑法第57條第4款)」、「智識程度(第57條第5款)」、「品行(刑法第57條第6款)」為核心。而刑法第59條規定:犯罪之情狀顯可憫恕,認科以法定最低度刑仍嫌過重者,得酌量減輕其刑」。而所謂「犯罪之情狀」,係指審酌刑法第57條各款所列事項以及其他一切與犯罪有關之情狀。量刑前社會調查/鑑定以被告之「生活狀況」、「品行」及「智識程度」為中心,探查被告犯罪動機形成原因、展望被告社會復歸之可能,雖可提供法院更全面性之視角,讓法院得以更慎重、周全地判斷個案有無適用刑法第59條之必要,然非逕將刑法第59條之適用全權委由量刑前社會調查/鑑定決之。

三、被害影響陳述部分:

()被害人影響陳述(Victim impact statement)主要起源於英美法制,美國聯邦最高法院於Payne v. Tennessee案中,認為國家可以參酌關於被害人人格特質,以及犯罪對被害人即其家屬所造成影響的被害人影響陳述。由於此類陳述可能令人難以承受,或有偏見或具有一定程度之煽動性,因而將被害影響陳述之容許範圍予以限縮,在程序面上,限於量刑階段始得進行,另在實體內容部分,則限於「被害人個人特徵」及「犯罪結果對於被害人家庭成員所造成之情感衝擊」,至於被害人家庭成員對於被告以及犯罪之個人意見及描述,則不得作為量刑之考量因素,避免過度不利於被告,以符合正當法律程序要求。犯罪被害人於美國刑事訴訟程序中並非當事人,並未破壞國家訴追架構及訴訟程序中之三方關係。

()日本刑事訴訟法之被害人意見陳述部分,依據日本刑事訴訟法第292條之21項規定:「當被害人等或被害人的法定代理人提出在法庭上陳述與案件有關的感受或意見時,法院應允許其在審判期日上陳述意見。」,立法目的包括透過讓被告直接聽到被害人之心情與意見,使被告深刻認識到其行為對他人所造成的影響,從而促進其反省、更生,並保障被害人得以表達感情、意見和參與司法程序的權利,加強對被害人權利的保護和支援。又被害人若欲在法庭上陳述意見,須向法院提出聲請,並由法院允許始得以在審判期日上陳述意見。被害人陳述內容則包括「有關心情之意見陳述」與「作為辯論之意見陳述」,然依據日本刑事訴訟法第292條之29項、第316條之384項規定、兩者均不得作為認定犯罪事實之證據,僅就其中關於「有關心情之陳述意見」得作為量刑參考資料。

()被害人影響陳述於我國法制上相關規範分別在刑事訴訟法第271條第2項、第289條第2項、第45547條及國民法官法第79條第2項等規定,主要意旨在於審判期日,應傳喚被害人或其家屬並予陳述意見之機會,另於科刑辯論前,法院應予到場之告訴人、被害人或其家屬、或訴訟參與人等依法得陳述意見之人,就科刑範圍表示意見之機會。

另刑事訴訟法第271條第2項但書規定:「……但經合法傳喚無正當理由不到場,或陳明不願到場,或法院認為不必要或不適宜者,不在此限。」及國民法官法施行細則第309條第2項規定,於特定情況得不賦予到場之被害人等陳述意見之機會等規定,即考量前揭相關外國法制,審酌被告對於被害人家屬情感質疑之抗辯困難,避免過於增加被害人之期待,而影響裁判公正,且以被害人之社會價值作為量刑基礎,或有可能逸脫行為責任刑罰框架,於維持國家訴追架構及訴訟程序中之三方關係下,考量被害人參與司法程序的權利之保障,賦予法院個案裁量權所為設計。

貳、併案審查()委員賴士葆等20人擬具「中華民國刑法第二百八十六條條文修正草案」案等十一案

一、關於委員羅廷瑋等16人、委員王育敏等18人、國民黨黨團、委員葉元之等18人、委員王鴻薇等21人、委員柯志恩等16人分別擬具「中華民國刑法第二百八十六條條文修正草案」:

各該草案第5項前段均規定:「對於……,犯前四項之罪者,依各該項之規定加重其刑至二分之一」,而「前四項之罪」依文義已包含第3項及第4項「致人於死」及「致重傷」部分,然第5項後段又再規定「致人於死」及「致重傷」之法律效果,則究應以何者為準,不無疑義,建請釐清。

二、關於委員陳亭妃等17人擬具「中華民國刑法第七十七條及第二百八十六條條文修正草案」:

兒童及少年性剝削防制條例第41條公務員或經選舉產生之公職人員犯罪或包庇犯罪、第42條意圖犯特定之罪而移送被害人入出臺灣地區及其未遂犯、第45條第4項之意圖營利犯及第5項之未遂犯等態樣,有無於草案第77條第2項第4款併予規範之必要,建請斟酌。

三、關於委員張智倫等17人擬具「中華民國刑法第二百七十一條及第二百八十六條條文修正草案」:

()草案第271條增訂第4項對於未滿7歲之人以凌虐方式犯殺人罪之規定,然其未遂犯及預備犯有無併予規範之必要,又同項後段「處無期徒刑者,不得假釋」部分,在體例上宜否規定於刑法第77條,均請再酌。

()草案第286條第2項「二十年以上有期徒刑」部分,似與刑法第33條第3款前段有期徒刑上限為15年之規定有所扞格,亦請斟酌。

四、關於委員邱鎮軍等19人擬具「中華民國刑法第二百八十六條條文修正草案」:

草案第4項「十五年以上有期徒刑」部分,似與刑法第33條第3款前段有期徒刑上限為15年之規定有所扞格,建請斟酌。

五、關於委員王育敏等23人擬具「中華民國刑法第二百七十一條條文修正草案」:

草案增訂第4項對於未滿6歲之人以凌虐方式犯殺人罪之規定,然其未遂犯及預備犯有無併予規範之必要,敬請再酌。

六、關於其餘部分,尊重主管機關之政策決定及 貴院之立法裁量權,並請一併參酌本院於114522日 貴院司法及法制委員會「回應民意,虐童刑責法制總檢討」公聽會所提之書面報告。

最後,本院對 貴院委員關切相關議題而召開本次會議,表達敬佩之意。以上報告,敬請各位委員指教,謝謝各位。

法務部書面資料:

法官如何判死(死刑量刑準則)─包括被害影響陳述(訴訟參與人意見陳述)、教化可能性、復歸社會可能性、量刑前社會調查/鑑定,及現行司法實務如何將刑法第57條第7款至第10款、第59條納入量刑鑑定因子」專題報告,暨併案審查()委員賴士葆等20人擬具「中華民國刑法第二百八十六條條文修正草案」案、()委員羅廷瑋等16人擬具「中華民國刑法第二百八十六條條文修正草案」、()委員王育敏等18人擬具「中華民國刑法第二百八十六條條文修正草案」、()委員陳亭妃等17人擬具「中華民國刑法第七十七條及第二百八十六條條文修正草案」、()委員張智倫等17人擬具「中華民國刑法第二百七十一條及第二百八十六條條文修正草案」、()國民黨黨團擬具「中華民國刑法第二百八十六條條文修正草案」、()委員邱鎮軍等19人擬具「中華民國刑法第二百八十六條條文修正草案」、()委員王育敏等23人擬具「中華民國刑法第二百七十一條條文修正草案」、()委員葉元之等18人擬具「中華民國刑法第二百八十六條條文修正草案」、()委員王鴻薇等21人擬具「中華民國刑法第二百八十六條條文修正草案」、(十一)委員柯志恩等16人擬具「中華民國刑法第二百八十六條條文修正草案」等11

主席、各位委員、各位女士、先生:

今天奉邀列席 大院貴委員會就「法官如何判死(死刑量刑準則)─包括被害影響陳述(訴訟參與人意見陳述)、教化可能性、復歸社會可能性、量刑前社會調查/鑑定,及現行司法實務如何將刑法第57條第7款至第10款、第59條納入量刑鑑定因子」進行專題報告,暨併案審查()委員賴士葆等20人擬具「中華民國刑法第二百八十六條條文修正草案」案、()委員羅廷瑋等16人擬具「中華民國刑法第二百八十六條條文修正草案」、()委員王育敏等18人擬具「中華民國刑法第二百八十六條條文修正草案」、()委員陳亭妃等17人擬具「中華民國刑法第七十七條及第二百八十六條條文修正草案」、()委員張智倫等17人擬具「中華民國刑法第二百七十一條及第二百八十六條條文修正草案」、()國民黨黨團擬具「中華民國刑法第二百八十六條條文修正草案」、()委員邱鎮軍等19人擬具「中華民國刑法第二百八十六條條文修正草案」、()委員王育敏等23人擬具「中華民國刑法第二百七十一條條文修正草案」、()委員葉元之等18人擬具「中華民國刑法第二百八十六條條文修正草案」、()委員王鴻薇等21人擬具「中華民國刑法第二百八十六條條文修正草案」、(十一)委員柯志恩等16人擬具「中華民國刑法第二百八十六條條文修正草案」等11案,代表本部列席報告,並備質詢,敬請指教。

壹、法官如何判死(死刑量刑準則)─包括被害影響陳述(訴訟參與人意見陳述)、教化可能性、復歸社會可能性、量刑前社會調查/鑑定,及現行司法實務如何將刑法第57條第7款至第10款、第59條納入量刑鑑定因子

一、刑法第57條刑之量定及第59條酌量減刑之規定,乃實體法上賦予法院個案裁量之事項

刑之量定,乃法律賦予法院自由裁量之事項,倘於科刑時,已以行為人之責任為基礎,並斟酌刑法第57條所列各款事項,在法定刑度內,酌量科刑,無顯然失當或違反公平、比例及罪刑相當原則,亦無偏執一端,致明顯失出失入情形,自不得指為違法(最高法院114年度台上字第980號判決意旨參照)。惟其裁量仍應兼衡罪責相當及特別預防之刑罰目的,具體審酌整體犯罪過程之各罪關係(例如各行為彼此間之關聯性《數罪間時間、空間、法益之異同性》、所侵害法益之專屬性或同一性、數罪對法益侵害之加重效應等)及罪數所反應行為人人格及犯罪傾向等情狀綜合判斷,為妥適之裁量,仍有比例原則及公平原則之拘束,倘違背此內部界限而濫用其裁量,仍非適法(最高法院104年度台抗字第718號刑事裁定意旨參照)。

又被告之家庭情況、犯罪動機、目的等犯罪情節,以及犯罪後態度等事項,僅屬刑法第57條所定在法定刑範圍內量刑時應予審酌之事項,茍非其犯罪具有特殊原因、環境或背景,在客觀上足堪憫恕者,尚難適用刑法第59條酌量減輕其刑之規定(最高法院110年度台上字第1897號判決意旨參照)。至於刑法第59條所稱「犯罪之情狀」,與同法第57條所規定科刑時應審酌之「一切情狀」,並非有截然不同之領域,故是否依刑法第59條酌減其刑,自應就同法第57條各款所列事項,以及其他一切與犯罪有關之情狀,予以全盤考量,審酌其犯罪是否顯可憫恕(最高法院114年度台上字第902號判決意旨參照)。

二、在憲法法庭作成113年度憲判字第8號判決後,最高法院已對死刑案件涉及刑法第57條量刑事由說明其法律上意見

刑法第57條量刑事由,於死刑案件之審酌,得區分為與犯罪行為事實相關之「犯罪情狀」即犯罪的具體情節(例如犯罪之動機與目的、犯罪時所受之刺激、犯罪之手段、犯罪行為人與被害人之關係、犯罪行為人違反義務之程度、犯罪所生之危險或損害等),及與犯罪行為人相關之「一般情狀」即罪犯的個人情狀(例如犯罪行為人之生活狀況、品行、智識程度、犯罪後之態度等)。必先審查「犯罪情狀」是否為「情節最重大之罪」,是否為適用死刑之範疇,再綜合犯罪行為人之人格與社會生活情形之「一般情狀」,考量得否求其生。亦即,若依「犯罪情狀」未達「情節最重大之罪」,即無適用死刑之餘地。如依「犯罪情狀」可選擇死刑,法院仍應綜合考量「一般情狀」,有無可減輕或緩和罪責之因素。所犯為「情節最重大之罪」,雖係選擇死刑之「必要條件」,然非「充分條件」;若所犯非屬「情節最重大之罪」,尚難以行為人之一般情狀具惡劣性,即科處死刑(最高法院113年台上字第3802號判決意旨參照)。

三、本部所屬檢察機關對於適用行國民法官審判程序之案件(下稱國法案件),落實提出量刑證據作為刑法第57條量刑審酌事項之依據

國法案件之量刑證據是否充分、具體,往往是最後決定刑度的關鍵因素。鑑於國法案件仰賴檢察官查明並提供足夠量刑資訊,使國民法官徹底瞭解案件來龍去脈、被告及被害人間之關係、被害人及其家屬因此造成之損害、被告犯後態度等量刑因素,以作出客觀且合理的量刑判斷,本部所屬檢察機關在實施國法案件公訴程序中,已落實依刑法第57條各款量刑審酌事項提出具體事證,使個案能符合程序及實體正義,並求取充分評價之適當刑度,以懲不法,對於量刑不當之個案,亦將依法提起上訴救濟,以符罪刑相當性,並捍衛被害人權益。分述如下:

()刑法第57條第7款「犯罪行為人與被害人之關係」

國民法官制度中的重大刑案,行為人與被害人間若具有親屬、配偶、朋友等密切關係。透過審理中讓被害人家屬等重要證人陳述意見,完整呈現案件全貌、協助揭示關係破裂的脈絡,也凸顯受害的多重面向,納入法庭量刑因子的考量。

()刑法第57條第8款「犯罪行為人違反義務之程度」

當行為人與被害人間具有特定義務關係,例如父母對子女、照護者對受照顧者等,在求刑時強調違反義務的嚴重性:如加害人本應保護被害人卻反而施暴、凌虐,此等行為是對法律與社會倫理的雙重違反,應適當反映在刑度上。

()刑法第57條第9款「犯罪所生之危險或損害」

國法案件中,對被害人家屬而言,可能受有心理、生活、經濟等多方面損害,故在量刑證據蒐集上,側重於被害人形象立體化呈現,檢察官蒐集並勾勒被害人人生歷程,或在法庭上由家屬說明被害人生平情形,作為量刑證據。檢察官也會視個案委由鑑定人出具專業意見,完備量刑證據之可信性。

()刑法第57條第10款「犯罪後之態度」

以往一般判決多以被告是否與告訴人和解、是否取得告訴人原諒、偵審中是否自白為主要判斷標準,然國民法官更重視被告是否已經真摯悛悔、是否已經取得被害人家屬諒解,以及雙方在法庭上的互動情形等,從更多面向瞭解被告的犯後態度,進而作為是否具有再犯可能性的依據。

貳、併案審查刑法部分條文修正草案

本部前於民國107年間,經行政院、司法院會銜提案修正刑法第286條,新增本條第1項刑度下限為6月以上5年以下有期徒刑,受虐對象年齡自16歲以下提高為18歲以下,並參考刑法第126條有關凌虐人犯規定,新增本條第34項致死、致重傷之加重結果犯刑責,並於108年間經大院三讀通過。113年間,大院委員為遏止近來虐童亂象,避免兒童身心受暴力虐待,再修正增訂刑法第286條第5項規定,使對未滿7歲之人犯第1項至第4項之罪者,均須加重其刑至二分之一,藉由提高刑責達到遏止虐童之目的,實踐兒少之司法正義,以充分保障生命、身體法益。感謝各位委員長期對兒虐刑責的關心及重視,本部由衷表示敬佩之意,本部對於委員提案修法之目的均表贊同,以下謹就草案條文構成要件、刑度與刑法總則之關聯表示意見,敬請指教:

一、有關委員賴士葆等20人擬具「中華民國刑法第二百八十六條條文修正草案」案

()提案重點

修正現行第286條第3項、第4項規定,有關致人於死之法定刑增訂死刑。

()本部意見

就凌虐或以他法足以妨害未滿18歲之人身心健全或發育而致死之行為,是否增訂死刑之法定刑,各界意見不一,本部均極為重視,現已蒐集我國實務見解及相關外國立法例,將通盤檢討相關各罪規定,儘速評估及研議修法方向。

二、有關委員羅廷瑋等16人擬具「中華民國刑法第二百八十六條條文修正草案」案

()提案重點

修正現行第286條第5項,對未滿「7歲」之人犯本條第1項之罪加重其刑之規定,下修為「6歲」,並於後段增訂:「致人於死者,處死刑或無期徒刑;致重傷者,處無期徒刑或10年以上有期徒刑」。

()本部意見

1.現行第5項規定:「對於未滿7歲之人,犯前4項之罪者,依各該項之規定加重其刑至二分之一」,草案下修加重其刑之被害人年齡限制,使對於6歲以上,未滿7歲之人犯本條第1項至第4項之罪行為人,修正後均不適用加重其刑規定,限縮本項適用範圍是否反而不利於兒童保護政策之推動,建請通盤考量。

2.草案第5項對於凌虐未滿6歲之人致死之行為增訂刑度為死刑或無期徒刑,對致重傷行為增訂刑度為無期徒刑或10年以上有期徒刑,惟前揭相同構成要件行為,已於現行條文第3項、第4項予以明定,草案似在相同條文對於相同構成要件犯行予以相異法定刑之刑度評價,法律適用是否恐生混淆、重疊疑慮,建請通盤考量。

3.現行條文區分營利意圖之有無,給予不同刑度評價,具營利意圖之人,應具有更高可非難性,故在第2項、第4項分別提高至不同刑度。草案第5項後段對未滿6歲之人犯本條之罪而致死、致重傷行為,不論是否具有營利意圖,均給予相同法定刑之評價,是否符合比例原則及罪責相當原則,似須再酌。

4.依刑法第271條第1項、第278條第1項、兒童及少年福利與權益保障法第112條第1項規定,現行對於故意殺害未滿7歲之人,其刑度為死刑、無期徒刑或10年以上有期徒刑,故意重傷害未滿7歲之人,其刑度為5年以上12年以下有期徒刑,並各加重其刑至二分之一。草案第5項後段增訂對未滿6歲之人犯本罪因而致人於死及致重傷之刑度,已較故意殺人、故意重傷害之刑度為高。在符合比例原則及罪責相當性前提下,尊重委員提案及大院決定。

5.就凌虐兒童致死罪是否增訂死刑之法定刑,各界意見不一,本部均極為重視,現已蒐集我國實務見解及相關外國立法例,將通盤檢討相關各罪規定,儘速評估及研議修法方向。

三、有關委員王育敏等18人擬具「中華民國刑法第二百八十六條條文修正草案」案

()提案重點

修正現行第286條第5項,對未滿「7歲」之人犯本條第1項之罪加重其刑之規定,下修為「6歲」,並於後段增訂:「致人於死者,處死刑或無期徒刑;致重傷者,處無期徒刑或10年以上有期徒刑」。

()本部意見

1.現行第5項規定:「對於未滿7歲之人,犯前4項之罪者,依各該項之規定加重其刑至二分之一」,草案下修加重其刑之被害人年齡限制,使對於6歲以上,未滿7歲之人犯本條第1項至第4項之罪行為人,修正後均不適用加重其刑規定,限縮本項適用範圍是否反而不利於兒童保護政策之推動,建請通盤考量。

2.草案第5項對於凌虐未滿6歲之人致死之行為增訂刑度為死刑或無期徒刑,對致重傷行為增訂刑度為無期徒刑或10年以上有期徒刑,惟前揭相同構成要件行為,已於現行條文第3項、第4項予以明定,草案似在相同條文對於相同構成要件犯行予以相異法定刑之刑度評價,法律適用是否恐生混淆、重疊疑慮,建請通盤考量。

3.現行條文區分營利意圖之有無,給予不同刑度評價,具營利意圖之人,應具有更高可非難性,故在第2項、第4項分別提高至不同刑度。草案第5項後段對未滿6歲之人犯本條之罪而致死、致重傷行為,不論是否具有營利意圖,均給予相同法定刑之評價,是否符合比例原則及罪責相當原則,似須再酌。

4.依刑法第271條第1項、第278條第1項、兒童及少年福利與權益保障法第112條第1項規定,現行對於故意殺害未滿7歲之人,其刑度為死刑、無期徒刑或10年以上有期徒刑,故意重傷害未滿7歲之人,其刑度為5年以上12年以下有期徒刑,並各加重其刑至二分之一。草案第5項後段增訂對未滿6歲之人犯本罪因而致人於死及致重傷之刑度,已較故意殺人、故意重傷害之刑度為高。在符合比例原則及罪責相當性前提下,尊重委員提案及大院決定。

5.就凌虐兒童致死罪是否增訂死刑之法定刑,各界意見不一,本部均極為重視,現已蒐集我國實務見解及相關外國立法例,將通盤檢討相關各罪規定,儘速評估及研議修法方向。

四、有關委員陳亭妃等17人擬具「中華民國刑法第七十七條及第二百八十六條條文修正草案」案

()提案重點

1.修正現行第77條第2項規定,增列第4款:「犯第286條或兒童及少年性剝削防制條例第31條至第40條、第44條、第45條第2項及第3項之罪者」,使犯前揭特定罪名之行為人均不適用假釋之規定。

2.修正第286條第1項、第2項法定刑刑度分別為7年以下有期徒刑、7年以上有期徒刑。

()本部意見

1.按假釋之審查,應參酌受刑人之犯行情節、在監行狀、犯罪紀錄、教化矯治處遇成效、更生計畫、對犯罪行為之實際賠償或規劃、進行修復情形及其他有關事項,綜合判斷其悛悔情形。監獄行刑法第116條第1項、受刑人假釋實施辦法第3條分別定有明文。本部對於重大暴力犯罪受刑人,均從嚴審核假釋。假釋與否,係考量受刑人出監後對社會治安之危害可能性,如悛悔程度不足,未能完成教化而不適於復歸社會,自不許假釋。

2.現行刑法第77條對於得否假釋、報請假釋之最低應執行期間、條件已定有明文,該條第2項針對「有期徒刑執行未滿6個月者」、「犯最輕本刑5年以上有期徒刑之罪之累犯,於假釋期間,受徒刑之執行完畢,或一部之執行而赦免後,5年以內故意再犯最輕本刑為5年以上有期徒刑之罪者」、「犯第91條之1所列之罪,於徒刑執行期間接受輔導或治療後,經鑑定、評估其再犯危險未顯著降低者」,明定不適用假釋規定。本部研議針對特定罪名或特殊重大暴力犯罪類型增設不得假釋條款,並廣納各界意見,將賡續推動修法。

3.修正提高第286條第1項刑度為7年以下有期徒刑部分,建議與其他刑法罪名一併通盤考量,在符合比例原則及罪責相當性前提下,尊重委員提案及大院決定。草案第286條第2項刑度提高為7年以上有期徒刑,則罰金刑部分是否併予調整,建請斟酌。

五、有關委員張智倫等17人擬具「中華民國刑法第二百七十一條及第二百八十六條條文修正草案」案

()提案重點

1.修正第271條增訂第4項:「對於未滿7歲之人,以凌虐方式犯第1項之罪者,處死刑或無期徒刑;處無期徒刑者,不得假釋。」

2.修正第286條第1項至第4項刑度,使犯該條第1項之罪者,法定刑提高至10年以上有期徒刑;第2項法定刑提高至20年以上有期徒刑,得併科1千萬元以下罰金;第3項、第4項致人於死之法定刑增列死刑。

()本部意見

1.草案增訂第271條第4項,該項前段有關「對於未滿7歲之人,以凌虐方式犯第1項之罪者,處死刑或無期徒刑」部分,在符合比例原則及罪責相當性前提下,尊重委員提案及大院決定。

2.草案第271條第4項後段有關增列無期徒刑不得假釋部分,鑑於無期徒刑得否假釋乃刑罰執行之一環,現行對於得否假釋、報請假釋之最低應執行期間、條件係於刑法第77條明定。該條第2項所定類型不適用假釋規定。本部對於重大暴力犯罪受刑人,均從嚴審核假釋。假釋與否,係考量受刑人出監後對社會治安之危害可能性,如悛悔程度不足,未能完成教化而不適於復歸社會,自不許假釋。本部刻正研議針對特定罪名或特殊重大暴力犯罪類型增設不得假釋條款,並廣納各界意見,將賡續推動修法。

3.刑法第33條第1項第3款規定主刑為有期徒刑者,為2月以上15年以下。遇有加減時,得減至2月未滿,或加至20年。草案第286條第2項有關「20年以上有期徒刑」之法定刑,已逾刑法第33條所定上限,是否合宜,建請斟酌。另有關提高第286條第1項刑度為10年以上有期徒刑,是否符合比例原則及罪責相當性,建議與其他刑法罪名一併通盤考量。另就凌虐或以他法足以妨害未滿18歲之人身心健全或發育而致死之行為,是否增訂死刑之法定刑,各界意見不一,本部均極為重視,現已蒐集我國實務見解及相關外國立法例,將通盤檢討相關各罪規定,儘速評估及研議修法方向。

六、有關國民黨黨團擬具「中華民國刑法第二百八十六條條文修正草案」案

()提案重點

修正第286條第5項,於後段增訂:「因而致人於死者,處死刑或無期徒刑;致重傷者,處無期徒刑或10年以上有期徒刑。」

()本部意見

1.草案第5項對於凌虐未滿7歲之人致死之行為增訂刑度為死刑或無期徒刑,對致重傷行為增訂刑度為無期徒刑或10年以上有期徒刑,惟前揭相同構成要件行為,已於現行條文第3項、第4項予以明定,草案似在相同條文對於相同構成要件犯行予以相異法定刑之刑度評價,法律適用是否恐生混淆、重疊疑慮,建請通盤考量。

2.現行條文區分營利意圖之有無,給予不同刑度評價,具營利意圖之人,應具有更高可非難性,故在第2項、第4項分別提高至不同刑度。草案第5項後段對未滿7歲之人犯本條之罪而致死、致重傷行為,不論是否具有營利意圖,均給予相同法定刑之評價,是否符合比例原則及罪責相當原則,似須再酌。

3.依刑法第271條第1項、第278條第1項、兒童及少年福利與權益保障法第112條第1項規定,現行對於故意殺害未滿7歲之人,其刑度為死刑、無期徒刑或10年以上有期徒刑,故意重傷害未滿7歲之人,其刑度為5年以上12年以下有期徒刑,並各加重其刑至二分之一。草案第5項後段增訂對未滿7歲之人犯本罪因而致人於死及致重傷之刑度,已較故意殺人、故意重傷害之刑度為高。在符合比例原則及罪責相當性前提下,尊重委員提案及大院決定。

4.就凌虐兒童致死罪是否增訂死刑之法定刑,各界意見不一,本部均極為重視,現已蒐集我國實務見解及相關外國立法例,將通盤檢討相關各罪規定,儘速評估及研議修法方向。

七、有關委員邱鎮軍等19人擬具「中華民國刑法第二百八十六條條文修正草案」案

()提案重點

修正第286條第2項至第4項刑度,提高第2項罰金刑由現行3百萬元以下修正為5百萬元以下罰金;第3項之致人於死刑度提高為「死刑、無期徒刑或12年以上有期徒刑」;第4項之致人於死刑度提高為「死刑、無期徒刑或15年以上有期徒刑」,同項之致重傷刑度提高為「12年以上有期徒刑」。

()本部意見

1.草案提高本罪第2項至第4項刑度,是否符合罪責相當性,建議與其他刑法罪名一併通盤考量。草案第2項調整罰金刑度,然依現行刑罰罰金級距配置,其罰金刑應為3百萬元以下,建請斟酌。

2.刑法第33條第1項第3款規定主刑為有期徒刑者,為2月以上15年以下。遇有加減時,得減至2月未滿,或加至20年。草案第4項有關「15年以上有期徒刑」之法定刑,已達刑法第33條所定上限,是否已實質限縮法院量處該罪有期徒刑空間,建請斟酌。

3.就凌虐或以他法足以妨害未滿18歲之人身心健全或發育而致死之行為,是否增訂死刑之法定刑,各界意見不一,本部均極為重視,現已蒐集我國實務見解及相關外國立法例,將通盤檢討相關各罪規定,儘速評估及研議修法方向。

八、有關委員王育敏等23人擬具「中華民國刑法第二百七十一條條文修正草案」案

()提案重點

修正第271條增訂第4項:「對於未滿6歲之人,以凌虐方式犯第1項之罪者,處死刑或無期徒刑。」

()本部意見

草案增訂第271條第4項,該項前段有關「對於未滿6歲之人,以凌虐方式犯第1項之罪者,處死刑或無期徒刑」部分,考量現行刑法並無對於「未滿6歲之人」犯特定罪名之加重或減輕處罰規定。如增訂第4項,建議參考民法第13條有關無行為能力、限制行為能力之區分標準(7歲),或於說明欄敘明擇定以「6歲」作為劃分標準之依據或理由。另草案第271條第4項之法定刑度,在符合比例原則及罪責相當性前提下,尊重委員提案及大院決定。

九、有關委員葉元之等18人擬具「中華民國刑法第二百八十六條條文修正草案」案

()提案重點

修正第286條第5項,於後段增訂:「致人於死者,處死刑或無期徒刑;致重傷者,處無期徒刑或10年以上有期徒刑」。

()本部意見

1.草案第5項對於凌虐未滿7歲之人致死之行為增訂刑度為死刑或無期徒刑,對致重傷行為增訂刑度為無期徒刑或10年以上有期徒刑,惟前揭相同構成要件行為,已於現行條文第3項、第4項予以明定,草案似在相同條文對於相同構成要件犯行予以相異法定刑之刑度評價,法律適用是否恐生混淆、重疊疑慮,建請通盤考量。

2.現行條文區分營利意圖之有無,給予不同刑度評價,具營利意圖之人,應具有更高可非難性,故在第2項、第4項分別提高至不同刑度。草案第5項後段對未滿7歲之人犯本條之罪而致死、致重傷行為,不論是否具有營利意圖,均給予相同法定刑之評價,是否符合比例原則及罪責相當原則,似須再酌。

3.依刑法第271條第1項、第278條第1項、兒童及少年福利與權益保障法第112條第1項規定,現行對於故意殺害未滿7歲之人,其刑度為死刑、無期徒刑或10年以上有期徒刑,故意重傷害未滿7歲之人,其刑度為5年以上12年以下有期徒刑,並各加重其刑至二分之一。草案第5項後段增訂對未滿7歲之人犯本罪因而致人於死及致重傷之刑度,已較故意殺人、故意重傷害之刑度為高。在符合比例原則及罪責相當性前提下,尊重委員提案及大院決定。

4.就凌虐兒童致死罪是否增訂死刑之法定刑,各界意見不一,本部均極為重視,現已蒐集我國實務見解及相關外國立法例,將通盤檢討相關各罪規定,儘速評估及研議修法方向。

十、有關委員王鴻薇等21人擬具「中華民國刑法第二百八十六條條文修正草案」案

()提案重點

修正第286條第5項,於後段增訂:「因而致人於死者,處死刑或無期徒刑;致重傷者,處無期徒刑或10年以上有期徒刑」。

()本部意見

1.草案第5項對於凌虐未滿7歲之人致死之行為增訂刑度為死刑或無期徒刑,對致重傷行為增訂刑度為無期徒刑或10年以上有期徒刑,惟前揭相同構成要件行為,已於現行條文第3項、第4項予以明定,草案似在相同條文對於相同構成要件犯行予以相異法定刑之刑度評價,法律適用是否恐生混淆、重疊疑慮,建請通盤考量。

2.現行條文區分營利意圖之有無,給予不同刑度評價,具營利意圖之人,應具有更高可非難性,故在第2項、第4項分別提高至不同刑度。草案第5項後段對未滿7歲之人犯本條之罪而致死、致重傷行為,不論是否具有營利意圖,均給予相同法定刑之評價,是否符合比例原則及罪責相當原則,似須再酌。

3.依刑法第271條第1項、第278條第1項、兒童及少年福利與權益保障法第112條第1項規定,現行對於故意殺害未滿7歲之人,其刑度為死刑、無期徒刑或10年以上有期徒刑,故意重傷害未滿7歲之人,其刑度為5年以上12年以下有期徒刑,並各加重其刑至二分之一。草案第5項後段增訂對未滿7歲之人犯本罪因而致人於死及致重傷之刑度,已較故意殺人、故意重傷害之刑度為高。在符合比例原則及罪責相當性前提下,尊重委員提案及大院決定。

4.就凌虐兒童致死罪是否增訂死刑之法定刑,各界意見不一,本部均極為重視,現已蒐集我國實務見解及相關外國立法例,將通盤檢討相關各罪規定,儘速評估及研議修法方向。

十一、有關委員柯志恩等16人擬具「中華民國刑法第二百八十六條條文修正草案」案

()提案重點

1.修正第286條第1項之法定刑刑度,由現行6月以上5年以下有期徒刑,提高為3年以上10年以下有期徒刑。

2.修正第286條第5項,於後段增訂:「因而致人於死者,處死刑或無期徒刑;致重傷者,處無期徒刑或10年以上有期徒刑」。

()本部意見

1.草案修正第286條第1項刑度部分,建議與其他刑法罪名一併通盤考量,於符合比例原則及罪責相當性前提下,尊重委員提案及大院決定。草案第5項對於凌虐未滿7歲之人致死之行為增訂刑度為死刑或無期徒刑,對致重傷行為增訂刑度為無期徒刑或10年以上有期徒刑,惟前揭相同構成要件行為,已於現行條文第3項、第4項予以明定,草案似在相同條文對於相同構成要件犯行予以相異法定刑之刑度評價,法律適用是否恐生混淆、重疊疑慮,建請通盤考量。

2.現行條文區分營利意圖之有無,給予不同刑度評價,具營利意圖之人,應具有更高可非難性,故在第2項、第4項分別提高至不同刑度。草案第5項後段對未滿7歲之人犯本條之罪而致死、致重傷行為,不論是否具有營利意圖,均給予相同法定刑之評價,是否符合比例原則及罪責相當原則,似須再酌。

3.依刑法第271條第1項、第278條第1項、兒童及少年福利與權益保障法第112條第1項規定,現行對於故意殺害未滿7歲之人,其刑度為死刑、無期徒刑或10年以上有期徒刑,故意重傷害未滿7歲之人,其刑度為5年以上12年以下有期徒刑,並各加重其刑至二分之一。草案第5項後段增訂對未滿7歲之人犯本罪因而致人於死及致重傷之刑度,已較故意殺人、故意重傷害之刑度為高。在符合比例原則及罪責相當性前提下,尊重委員提案及大院決定。

4.就凌虐兒童致死罪是否增訂死刑之法定刑,各界意見不一,本部均極為重視,現已蒐集我國實務見解及相關外國立法例,將通盤檢討相關各罪規定,儘速評估及研議修法方向。

參、結語

感謝各位委員對此議題之關心,本部已將虐童刑事實體法之修正方向納為刑法研修會議討論議案,聽取審檢辯學及機關代表意見,並於近期召開修法研商會議,廣納各界意見,通盤檢討相關各罪及刑法假釋之規定,於修法前,對此類犯罪,本部所屬檢察機關定積極蒐證,從嚴追訴,對於重大暴力犯罪受刑人,必依其對社會治安之危害可能性、悛悔程度及其教化狀況,從嚴審核,認有不適於復歸社會者,不許假釋,同時與各部門共同合作落實執法,加強兒虐防制,捍衛兒少生存權益。

以上報告,敬請

主席及各位委員指教。

法務部矯正署書面資料:

「法官如何判死(死刑量刑準則)─包括被害影響陳述(訴訟參與人意見陳述)、教化可能性、復歸社會可能性、量刑前社會調查/鑑定,及現行司法實務如何將刑法第57條第7款至第10款、第59條納入量刑鑑定因子」專題報告

主席、各位委員、各位女士、先生:

今天奉邀列席大院貴委員會報告「法官如何判死(死刑量刑準則)─包括被害影響陳述(訴訟參與人意見陳述)、教化可能性、復歸社會可能性、量刑前社會調查/鑑定,及現行司法實務如何將刑法第57條第7款至第10款、第59條納入量刑鑑定因子」,並備質詢,深感榮幸。以下謹就本署業務相關部分報告如下:

一、前言

「待死現象」係指死刑犯在被判處死刑確定到執行死刑之間,常常會經過一段漫長的等待,等待過程中,由於明確地知道自己將面對死亡,但又不曉得何時執行,致渠等隨時處於死亡的陰影之中,對未來及人生無期待感,身心產生巨大煎熬。

監獄行刑法第148條第2項規定,死刑定讞待執行者,得準用監獄行刑法有關戒護、作業、教化與文康、給養、衛生及醫療、接見及通信、保管、陳情、申訴及訴訟救濟等規定。惟其得準用規定不包含個別處遇規定,為有效緩解是類收容人因長期待執行所產生之「待死現象」,特訂定《死刑定讞待執行者個別處遇計畫試行方案》。

二、處遇措施

《死刑定讞待執行者個別處遇計畫試行方案》就死刑定讞待執行者之生活處遇、身心健康照護、教化輔導、生命教育、家庭支持、宗教信仰及自殺防治等規劃相關方案,以下舉例部分處遇措施:

()適度放寬接見、通信

依監獄行刑法第148條第2項準用第67條、第68條規定,死刑定讞待執行者之接見或通信對象,除法規另有規定或依渠等意願拒絕外,機關不得限制或禁止;接見次數除法規另有規定外,每星期一次,接見時間以三十分鐘為限;通信次數不予限制。

為安定是類收容人情緒與強化親情連結,並基於人道關懷之精神,如請求接見者為親(家)屬,其接見次數不予限制;如為親(家)屬以外之人,原則上每星期二次。另機關得視死刑定讞待執行者之個案情節、實際需求等,依監獄行刑法第148條第3項適度放寬相關接見、通信規定。

()依需求安排作業

對於死刑定讞待執行者之作業,將依其個人意願,決定是否參與作業;有參與作業意願者,機關應審慎評估個案身心狀況、情緒性格、團體適應能力及戒護安全管理等因素,妥為安排合適之作業項目,並按其實際作業時間及勞動能率合併計算後給與勞作金。

()加強身心照護及輔導

平時由教誨師或輔導員實施個別輔導,瞭解其生活適應情形及心理狀態並及時提供相關協助,倘認有需要時,隨時轉介機關內心理或社工專業輔導人員給予專業輔導或晤談。針對入矯正機關未滿五年之死刑定讞待執行者,每月至少安排心理或社工專業輔導人員輔導一次;超過五年以上且行狀穩定者,每季至少安排心理或社工專業輔導人員輔導一次,如認有需要時均即轉介身心科門診。

每季得視個案需求及意願,安排精神(身心)科醫師評估其身心健康狀況;每年以簡式健康量表(BSRS-5)、病人健康問卷(PHQ-9)進行心理健康篩檢,以掌握其身心狀態;另經教輔小組認有需要者,均得轉介專業輔導人員晤談或以其他量表施測。

()宗教輔導、志工認輔、家庭支持及教化活動

依收容人意願及宗教信仰,安排宗教團體進行輔導,或安排教誨志工長期認輔,透過宗教及志工持續給予關懷與支持的方式,促進身心靈之均衡;鼓勵是類收容人邀請親屬參加面對面懇親與電話孝親活動,無親屬支持者,機關得依個案狀況同意其邀請有助於提升情感支持、具有正向教化助益者參加面懇活動,以增加其情感聯繫,促進在監適應;結合社會資源推動多元藝文或教化活動;設置活動書櫃或行動巡迴書車,鼓勵借閱書籍充實知能,藉以正向思考、轉化心性。

三、執行方式

()調查及擬定處遇計畫

由機關調查小組實施直接調查及心理測驗,依死刑定讞待執行者之意願及需求,考量收容機關之條件及資源後,於死刑定讞後三個月內訂定其書面個別處遇計畫(前開方案訂定前已定讞者,於方案頒布後三個月內為之);是類收容人如有特殊處遇需求,應於個別處遇計畫內載明,並提報調查審議會議決議,各該處遇計畫內容應告知收容人。

()定期複查

考量死刑定讞者之處遇需求及參與各項處遇之意願可能會隨時間改變,機關調查小組就是類收容人之個別處遇計畫每年複查一次,必要時得隨時為之,以及時調整渠等在監之處遇。複查結果做成書面紀錄,提調查審議會議審議,經修正之個別處遇計畫應告知收容人。機關於每年底將死刑定讞待執行者個別處遇複查表陳報本署備查。

複查之方法以直接調查行之,機關得視情況需要,商請心理、教育、社會、法律、犯罪學、監獄學等領域之專家學者及社會慈善、公益團體,就是類收容人之個別處遇計畫,參與施行或提供必要之協助。

四、結論

透過訂定個別處遇計畫並定期複查,依死刑定讞待執行者個別需求及意願,在機關可處理範圍內提供合宜處遇,以緩解是類收容人特殊之「待死現象」。

以上報告,敬請

主席及各位委員指教。

衛生福利部書面資料:

法官如何判死(法官如何判死(死刑量刑準則)─包括被害影響陳述(訴訟參與人意見陳述)、教化可能性、復歸社會可能性、量刑前社會調查/鑑定,及現行司法實務如何將刑法第57條第7款至第10款、第59條納入量刑鑑定因子)專題報告

主席、各位委員女士、先生:

今天 大院第11屆第3會期司法及法制委員會召開第19次全體委員會議,本部承邀列席,深感榮幸。茲就死刑量刑準則,提出報告,敬請各位委員不吝惠予指教:

壹、前言:

本部113年受理兒少事件有效通報112千餘件,相較於112年增加15%,其中福利服務案件增幅29%最高,兒少保護案件增幅10%次之,顯示113年兒少家庭遭遇經濟、教養困境、不當對待等情事增加,以下茲就兒少保護工作、強化司法精神鑑定工作等相關事項進行說明。

貳、兒少保護防治工作:

一、因應兒少通報案件日益增加,本部除落實兒少保護三級預防服務外,並積極推動社安網第二期計畫相關服務與措施:

()初級預防:

1.補助社區組織在地推動「零暴力.零容忍」預防宣導教育:113年補助地方政府結合在地社區組織或民團擔任領航宣導社區,共補助230個計畫、涵括843個社區。另透過辦理多元社區防暴創意競賽及觀摩,促進社區將防暴工作融入日常,防止兒少虐待之發生及再發生。

2.辦理社區防暴宣講人員培訓:本部現已培力385名社區防暴宣講師,並於112年至113年辦理9場次社區防暴宣講人員海選暨培力訓練、高階訓練、回流訓練等,同時持續研修相關培訓機制。

3.推動紫絲帶社區初級預防認證獎勵計畫:透過紫絲帶防暴社區認證,增進社區鄰里推動防暴初級預防工作之扎根與永續,並於113年辦理第1屆紫絲帶社區認證計畫,全國計有40個社區取得認證。

()次級預防:

1.布建社福中心及社工人力資源:透過社安網計畫布建156處社福中心,並於113年增聘約14百名社工人力,以提供社區中脆弱處境家庭適切之家庭育兒指導及家庭支持服務。

2.精進及早預警服務:透過6歲以下弱勢兒童主動關懷方案,發展學齡前嬰幼兒關懷機制,針對8類學齡前照顧風險較高之嬰幼兒,包含:戶政機關逕為出生登記者、戶政機關逕遷戶籍至戶政事務所者、逾期未完成預防接種者、未納入全民健保逾1年者、國小新生未依規定入學者、矯正機關收容人子女、父或母為未滿20歲者、父或母有中低收入戶合併精照等,進行訪視與轉介,及早發掘潛在的兒保個案並視需求提供服務。

3.強化結合公衛醫療資源:11211月全面推動幼兒專責醫師、以及高風險孕產婦(兒)關懷計畫,提供家長相關親職衛教與諮詢,及早發掘疑似受到不當對待之兒少,並即時通報社政單位處理。

()三級預防:

1.加強個案保護及家庭處遇:考量每個兒少保護家庭的施虐原因、家庭優勢與需求皆不同,爰需落實評估個案安全、風險與家庭功能,並提供所需服務及親職教育執行。配合強化社安網第二期計畫,本部針對兒少保護個案發展家庭增能充權服務、嬰幼兒早期親職賦能、親屬安置家庭支持及逆境少年服務、創傷復原、家庭關係修復等其他多元化家庭支持服務資源與方案,以提升家庭復原力,促進兒少的安全與福祉。

2.強化兒少保護跨網絡合作:針對訪視顯有困難、行方不明、疑似重大兒少虐待案件,以及多重複雜的兒少保護個案,透過定期或不定期跨網絡合作討論會議整合個案服務與資源,以降低兒少保護個案風險及提升處遇效能;另自110年起將高度風險且再通報之兒少個案納入定期網絡會議,以精進兒少保護跨網絡合作,提升兒少保護個案服務綜效。另依「兒童及少年福利與權益保障法」第112條規定,對於兒童及少年犯罪者,直轄市、縣(市)主管機關得獨立告訴,以維兒少司法權益。

3.擴充兒少保護區域醫療整合中心服務量能:除提供傷勢複雜、嚴重之兒少虐待個案身心診療外,經各該醫療整合中心評估受虐兒少之父母有心理諮商或輔導服務需求者,並提供以家庭為核心之創傷知情服務,協助受虐兒少及其家庭復原,降低兒少再受到不當對待的風險。

二、為加強托嬰中心及居家托育人員兒少保護措施,行政院前於11458日審查通過兒童托育服務法(草案),重點包括:明定居家托育專章、強化托育機構透明度及管理規範、強化不當對待事件處理機制、納入公共托育家園、加速布建公共托育資源等,以強化兒童照顧安全,確保受托兒童及家長權益。

參、強化司法精神鑑定工作:

法務部為強化偵查中司法精神鑑定之功能及提升司法精神鑑定品質,已訂定「偵查中司法精神鑑定機制精進方案」,明確規範鑑定囑託時機、鑑定人參考名冊、鑑定留置機制、鑑定預算編列等事項。本部並依該方案協助擬定刑事案件司法精神鑑定收費參考基準,另委託建立司法精神醫師訓練課綱,及定期函送通過司法精神次專科醫師甄審名冊予司法院及法務部參考運用。截至目前,司法精神次專科醫師累計達106位。

肆、兒少保護與死刑量刑準則:

現行「兒童及少年福利與權益保障法」第112條第1項明定:「成年人教唆、幫助或利用兒童及少年犯罪或與之共同實施犯罪或故意對其犯罪者,加重其刑至二分之一。但各該罪就被害人係兒童及少年已定有特別處罰規定者,從其規定」,另總統113731日修正公布刑法第286條之規定,對於未滿18歲之人,施以凌虐或以他法足以妨害其身心之健全或發育者,或因而致人於死或重傷者處以徒刑;對於未滿7歲之人犯各該項之罪者,依各該項之規定加重其刑至二分之一。至是否增訂「刑法」中有關死刑量刑準則,本部尊重主管機關及委員會審查決議。

本部承 大院各委員之指教及監督,在此敬致謝忱,並祈各位委員繼續予以支持。

主席:現在開始進行詢答。由於詢答後接續進行法案審查,所以依例本會委員詢答時間為6分鐘,必要時得延長2分鐘;非本會委員詢答時間為4分鐘,不再延長。上午1030分截止發言登記。

現在請登記第一位黃國昌委員發言。

黃委員國昌:918分)謝謝主席。麻煩有請法務部部長、司法院副秘書長。

主席:麻煩部長、副秘書長。

王副秘書長梅英:委員,早安。

黃委員國昌:兩位好。今天召委所排的這個主題,我相信兩位都不陌生,針對沒有辦法有自我保護能力的小朋友,遭到虐待並進一步發生死亡或者是重傷的結果,社會上以剴剴案發出了非常強烈的怒吼。這不是今天才發生的事情,過去這段時間,我相信社會各界、很多NGO團體,甚至非常多的媽媽站出來,齊聚在臺北地方法院的門口,為了要關心剴剴案,大家都站出來發聲怒吼,也有立法委員跑到臺北地方法院加入抗議的行列,表達人民的憤怒,我覺得這都是公民表達意見的健康行為。但重要的是,當這些悲劇發生了以後,我們主管機關的應對到底是什麼?第一時間,超過13萬、將近14萬的公民在政策平臺提出這樣的建議,法務部第一時間是不予採納,應該沒錯吧?這個公共政策平臺有寫錯法務部的意見嗎,部長?

鄭部長銘謙:的確是有勾到不予採納的選項,但是我們的內文有廣納社會意見……

黃委員國昌:今天還是不予採納嗎?

鄭部長銘謙:我們現在是採納,我們有……

黃委員國昌:今天採納了?

鄭部長銘謙:沒有,我們就是尊重各委員的提案……

黃委員國昌:所以法務部沒有立場?

鄭部長銘謙:我們有自己的版本,我們有……

黃委員國昌:在哪裡?

鄭部長銘謙:我們在昨天跟明天會做研修的會議……

黃委員國昌:昨天跟明天會做研修的會議?

鄭部長銘謙:對,昨天有提到刑法修正小組的會議,那今天有在一個研商的……

黃委員國昌:什麼時候版本要提出來?

鄭部長銘謙:我們儘速提出來。

黃委員國昌:什麼叫儘速提出來?今天就要審了,要等你們嗎?

鄭部長銘謙:另外,因為我們修法的方向……

黃委員國昌:要等你們嗎?需要等你們嗎?請針對問題回答,今天要不要等你們?

鄭部長銘謙:是不是可以讓我們提出一個法案來……

黃委員國昌:當然可以,大家都在等啊!東西在哪裡?

鄭部長銘謙:另外,因為我們有在……

黃委員國昌:不好意思,請你針對問題回答,好不好?我問你東西在哪裡,然後你跟我講:另外!

鄭部長銘謙:明天還要開會,明天有研商會議。

黃委員國昌:所以今天要不要等你們?今天要等你們嗎?

鄭部長銘謙:我們會提出我們的版本,因為這個經過……

黃委員國昌:今天會提出來,是不是?

鄭部長銘謙:明天有一個研修會議。

黃委員國昌:對嘛!所以我一直問你今天要不要等你們嘛?

鄭部長銘謙:我剛才一直講說,5號、明天有研修會議……

黃委員國昌:所以今天要不要等你們?今天就要審了,然後你跟我說你明天要開會。

鄭部長銘謙:昨天就開以及明天,總共有2次會議。

黃委員國昌:是嘛,所以今天要不要等你們?

鄭部長銘謙:要審檢辯學……

黃委員國昌:是,今天要不要等你們?你還是沒有回答問題啊!奇怪,我的問題有很刁鑽嗎?你說:你昨天有開會、明天要開會。可是我們今天要審法案,我說:今天要不要等你們?部長沒有立場喔?

鄭部長銘謙:如果委員要等我們法務部的研修草案意見,當然我們很樂見。

黃委員國昌:這件事拖多久啦?從公共政策平臺開始到現在多久啦?明天要開會……

鄭部長銘謙:昨天……

黃委員國昌:那今天要不要等你們?

今天我再問一個問題,有這麼多委員的提案,有沒有哪一個版本是法務部贊成的?因為我看你們的書面報告看了半天,每一個版本你們都有批評,那我看完以後就剩下一個問題,每一個版本法務部都有意見、全部都批評,大家在問:法務部的版本在哪裡?今天委員提案的版本中有沒有任何一個版本是法務部贊成的?有還是沒有?

鄭部長銘謙:各委員的版本我們……

黃委員國昌:你們都尊重嘛?

鄭部長銘謙:我們也會當作我們研議……因為現在還在開會,我們當作修法參考。

黃委員國昌:是,都當作你們研議的嘛。有沒有任何一個版本是你們贊成的,有還是沒有?

鄭部長銘謙:我們會綜整各委員的版本來做修法的參考。

黃委員國昌:是!東西在哪裡?

鄭部長銘謙:現在還在……

黃委員國昌:還在研議嘛,我聽你講這種話講很多次了啦!

鄭部長銘謙:但是我想我們一個立法方向……

黃委員國昌:大家聽不下去了啦!

鄭部長銘謙:我們的立法方向就是要嚴懲重罰,我想我上次……

黃委員國昌:是嘛,你的立法方向是嚴懲重罰,你的版本在哪裡?我一直問你版本在哪裡?

鄭部長銘謙:另外,我們會把它列入第二百七十二條的問題……

黃委員國昌:所以繼續研議嘛,公共政策平臺到現在多久啦,你今天還在這邊打官腔。

鄭部長銘謙:我沒有打官腔,委員,我們也真的很慎重……

黃委員國昌:你沒有打官腔,那把東西交出來嘛!

鄭部長銘謙:我們對這部分就是嚴懲重罰嘛!

黃委員國昌:對,那你把東西交出來嘛!你講形容詞、講空洞的,每一個委員的版本你全部都罵……

鄭部長銘謙:上次的詢答我已經有報告過了……

黃委員國昌:叫你自己拿版本出來……

鄭部長銘謙:這部分我們也是會嚴懲重罰,如果以凌虐為殺人手段,我們認為是一個殺人的特別加重事由……

黃委員國昌:沒有關係啦,今天你在這邊講的,大家聽得下去、聽不下去,每一個公民自己有自己的判斷啦!

鄭部長銘謙:尤其對未滿7歲的兒童,我們都嚴懲重罰……致死這部分我們也尊重委員的提案,我們納入修法的參考……但是我們納入第二百七十二條……

黃委員國昌:下一個請司法院。

鄭部長銘謙:委員,請不要誤會我們的意見……

黃委員國昌:請你先停一下,好不好?

鄭部長銘謙:我想我們……

黃委員國昌:主席!請他先停一下,好不好?

主席:大家先冷靜……

黃委員國昌:現在是我的質詢時間,我問的問題他不回答,然後他在那邊自顧自地講,你要開記者會,請你等一下會後法務部出去開記者會跟全民交代!

鄭部長銘謙:我有回答……未滿7歲的這些兒童以凌虐的方式的話……我們認為……

主席:部長,先等一下,委員,先都冷靜……

黃委員國昌:我問的問題你有沒有回答,還是在浪費我的時間?透過直播大家都有一把尺可以看!

主席:我們時間先暫停,大家先冷靜下來。我們現在再繼續開始。

黃委員國昌:主席,我只要求一個最基本的規則,現在是詢答,我問問題他不回答,在那邊自顧自講他自己的。

主席:部長,麻煩一下,因為是備詢,麻煩你就委員的問題回答就好。

黃委員國昌:你法務部部長要開記者會,看你要講多久隨便你啦,在那邊浪費我的質詢時間!

請司法院。

王副秘書長梅英:是。

黃委員國昌:我收到一個陳情,是剴剴的網路爸媽陳情書,他們有提出很具體的修法建議,但是第二點請你看一下,他們現在訴求廢除死刑一致決,從司法院的觀點來看,現在該怎麼辦?臺灣是一個憲政民主的國家,現在人民發出怒吼,這些爸媽團體要求廢除死刑一致決!司法院可不可以告訴全體臺灣的公民,憲法法庭說死刑各審級一定要一致決,但現在人民發出怒吼、說要廢除,告訴大家該怎麼做?因為這些爸爸媽媽很痛心,看不下去大法官的這個要求、提出了這樣的訴求,臺灣的人民有權利知道,面對這種自己擴權的大法官,現在人民能夠怎麼辦還是沒有辦法?大法官說了算,你們都拿我沒皮條,立法院乖乖聽話,人民不滿,你們也沒有任何的手段可以做,請教司法院。

王副秘書長梅英:報告委員,因為委員所垂詢的這個問題已經涉及到我國憲政的各機關職權,這個部分司法院尊重……

黃委員國昌:奇怪,憲法法庭不就在司法院嗎?如果司法院沒有辦法回答,那是誰要回答?行政院回答嗎?還是總統賴清德出來回答?這跟考試院、監察院絕對沒關係。

王副秘書長梅英:因為有關於大法官所做的這一個判決,依照我國過去的釋字第185號還有釋字第645號解釋,它是有一定效力的。

黃委員國昌:是。

王副秘書長梅英:也就是說,委員所垂詢的……

黃委員國昌:不是我垂詢的,是這群爸媽垂詢的,他們沒有機會站在這邊請教司法院,我們做為民意代表有機會站在這邊請教,所以我幫他們請教,現在該怎麼辦?誰能夠怎麼辦?誰拿這些大法官有皮條?請教司法院,我接到陳情我一定要幫他們問,這不是一、兩個人,是一群憤怒的爸媽提出這樣的訴求,要我們立法委員想辦法,我也在想辦法,該怎麼辦?憲法法庭在司法院,這沒有問題嘛,所以我今天拜託司法院給這些陳情的爸媽釋疑,該怎麼辦?他們能夠做什麼?還是回家抱著棉被哭就可以了?請司法院。

王副秘書長梅英:委員,這剛剛已經回復過了,因為……

黃委員國昌:你沒有回復啊,我是請教司法院,這些憤怒的人民該怎麼辦?回家抱著棉被哭嗎?

王副秘書長梅英:司法院的立場就是尊重大法官所做的解釋。

黃委員國昌:對,但是人民憤怒嘛,人民無法接受、也不想接受嘛!大家都在問,我國憲法什麼時候給大法官這麼高的權力?手伸得這麼深!我之前已經請教過司法院,全世界有哪一個國家要求死刑一致決、要各審級全部都要一致決?你講個立法例出來給大家聽,大家看不懂,不要說他們看不懂,連我都看不懂啊!這個判決出來,第一時間我就問這個問題。現在是他們說怎麼樣就怎麼樣,立法院拿他們沒皮條,這些憤怒的爸媽也拿他們沒皮條!他們現在是以為他們是臺灣民主憲政的太上皇,人家提這樣的陳情出來了,現在我們這些掌握權力的人要怎麼面對?怎麼面對?我該怎麼回答這些爸媽?對不起!你的陳情完全沒道理,大法官說了算,我們立法委員沒有辦法,司法院也不知道該怎麼辦,就是他們說了算!

我希望今天在這邊的質詢,這些爸媽所提出來的疑問,所有參與這個憲判字第8號的憲法法庭大法官,我希望他們都能看到,我也希望他們能夠發揮所謂憲法守護者的精神,勇敢的站出來,告訴這些爸媽你們能夠怎麼辦,你們能夠拿我們怎麼辦!今天的法律案我不知道召委等不等,但我代表台灣民眾黨黨團表達立場,我們支持,如果今天要出委員會,就讓它出委員會,謝謝。

主席:接下來我們請黃國昌委員代理主席。

黃委員國昌:你要不要請王委員?

主席:請問王委員有空嗎?可以代理主席?

王委員鴻薇:可以啊!

黃委員國昌:我想你們的委員在,這樣比較有禮貌。

主席:好,再麻煩王委員代理主席。

主席(王委員鴻薇代):請吳宗憲委員質詢。

吳委員宗憲:931分)我們請副秘書長、部長還有衛福部次長。

王副秘書長梅英:委員早安。

吳委員宗憲:我先請教部長以及副秘。延續剛剛的問題,很簡單的問題,因為之前有某一位民進黨的委員說,我們說這個世界上沒有一個國家法律體例是要求所有審級,包括事實審、法律審一致決,沒有這樣的體例,這位立委在國會的殿堂欺騙全國人民!拿著他法律專業的外衣來欺騙全國人民說什麼美國陪審團就有這樣子的作法,但是我現在要請問的問題是,有沒有哪一個國家的法律體例是要求事實審以及法律審所有法官對於死刑判決要一致決?副秘,你們不要再跟我聚焦什麼陪審團怎麼樣,不用再講那個啦!我們就講個最簡單的,事實審、法律審的法官要一致決,哪一個國家的體例是要這樣?

王副秘書長梅英:據了解,歐洲的部分似乎沒有這樣子要求一致決,但是美國有一些……

吳委員宗憲:那美國的聯邦最高法院呢?我現在講的是事實審加法律審喔!你不要再給我聚焦在哪一個,因為我覺得有一些人現在都會偷換概念。我跟你講,之前張大法官也講得很清楚,他是留學美國,他講得非常清楚,美國的法律審並沒有這樣的要求,所以剛剛黃國昌委員才會在這邊跟你們說,之前他有來詢問過,這個世界上有沒有哪一個體例是要求所有的事實審、法律審都要一致決,我們這邊得到的是沒有,當時你們回復也是沒有,張大法官說的也是沒有,所以我這邊可能要先跟你們說明一下。

我們一直覺得政治人物實在不應該隨便的誤導,我們也很希望找到是不是有某一個很小的國家或怎麼樣,他們有自己特殊的體例,但是目前為止是沒有,現在比較大的或法律較先進的國家,我們從制度上面來看並沒有要求所有的審級全部都要法官一致決,我想這個部分我們先說明一下。

再來我請教一下司法院,黃麟凱被判死刑定讞再進行槍決,這個現在很多政客拿出來講我國沒有廢除死刑,所以有一個人被槍決了,我想請問一下,這個被判處死刑槍決這件事情跟憲判字第8號有沒有任何關聯性?沒有嘛!因為他是很早年就被判死刑,這跟去年的憲判字第8號沒有關聯性。

第二個,他其實是對於確定判決的死刑加以執行,他並不是說這個東西就是……他說有執行一個死刑,所以法官一致決並不會影響到死刑的判決,我想這個也是政客在誤導人民,副秘,是不是這樣?死刑確定判決的執行跟法官能不能夠一致決判死刑,這應該是兩回事吧?

王副秘書長梅英:是。

吳委員宗憲:部長,我講的有沒有錯?

鄭部長銘謙:像黃麟凱執行死刑的部分是有一致決,現在以一致決的話,目前實務上陸續都還是有發生……

吳委員宗憲:對,所以沒有關聯性,謝謝部長、謝謝副秘,所以沒有任何關聯性,請政客不要再拿這個東西來說一致決,這兩個完全無關,一個是死刑確定判決的執行,一個是判決,兩個是完全不一樣的東西,我有時候覺得很辛苦!因為這些政客不是不懂,但他們很喜歡誤導人民,拿一些錯誤的觀念來誤導人民。

這一次我覺得我自己對中選會去沒收了這個公投,當然我們心裡是不滿啦!但是現在的中選會,當初法律設計到底是不是要把它當作是一個獨立機關,它還獨不獨立以及主委的個性,我想社會自有公斷,它沒收了人民的罷免權,也沒收了人民的公投權,這是我看到現在的中選會,而且它的沒收是莫名其妙,完全違法,它也照幹!現在人民要求政府依法行政已經變成是一個很奢侈的請求了,我現在看到這些行政機關一個一個變成這樣。

這一次中選會為了要沒收立法院所提出來的公投法案,甚至在它的新聞稿還寫了什麼?它認為大法官憲判字裡面的一致決,它說這是對於法院組織法的修正,一個具立法原則的創制行為,所以現在連中選會都認證大法官在搞立法權!連中選會都認證大法官在搞立法權!副秘,你們現在大法官的作為已經取代了立法權的功能了,那這樣子五權分立不是喊假的嗎?大法官明明是在解釋違憲,怎麼自己帶頭違憲?這是我要跟副秘報告的。

再來我請教副秘還有部長,因為我們今天有兩個重要的議題,一個是什麼叫最嚴重犯罪的情節,我們先談最嚴重犯罪情節。因為目前我們要判死刑,在判決階段有兩大關卡,三大啦!剛剛我們講的一致決就算了,再來,什麼叫做最嚴重犯罪,到目前還是非常的空洞。請問副秘,對於什麼叫最嚴重犯罪,法官已經有一個標準出來了嗎?

王副秘書長梅英:報告委員,這個在憲判字第8號裡頭,其實有非常多具體的例示。

吳委員宗憲:對,它是例示而已嘛?

王副秘書長梅英:對,有例示。

吳委員宗憲:它不是一個原則,告訴你要怎麼做,它只是什麼例子、什麼例子,那超過那個例子呢?變成大法官只能想到5個例子的話,那就只有這5個例子嗎?它不是一個原則,那法官要怎麼判斷什麼叫最嚴重?這是如此的空洞,還涉及人命。

再來,另外一個是有無教化可能性,這也完全空洞啊!所以你光是這兩個東西,什麼叫做最嚴重,什麼叫做有無教化可能性,請問一下部長以及副秘,這兩個東西,你要法官們、檢察官們怎麼去判斷?

沒關係,沒辦法回答,就一樣,說真的,我也不知道該怎麼回答這兩個東西,有沒有辦法提出一個標準,這個也是現在這麼多人民團體一直來跟我們陳情的主因,我之前在幾次公開的地方曾經講過,過去我自己擔任檢察官、我們擔任司法官的時候,我們只聚焦在構成要件,所以我只重視去了解這個人怎麼死的,我卻忘記去思考他們當年是怎麼活的,他們在被打死之前,他是怎麼樣央求別人饒他一條命,法官、檢察官都不在乎這些事情,但是對這些家屬而言,他們最重視的是這個!這些人當年活著的時候,他是怎麼樣孝順自己的父母,我們講幾個啦!像臺南那兩位被殺死的警官,凃警官跟曹警官他們在被殺死之前,他們想的是怎麼樣把這些可疑的人或脫逃的人犯逮捕歸案,他為的是社會安全,而土城的劉警官,他在被吸食毒品的人撞死之前,他想的是怎麼樣維護那個地方晚上的治安與安全。再說得師鐸獎的陳老師在被殺之前,想的是去菜市場買菜,回家煮飯給家人吃。今天我們當司法官當久了,我覺得我們只在乎被害人被殺了幾刀、被開了幾槍,只在乎他怎麼死的,卻完全忘記當初他是怎麼活下來的,忘記當他活著的時候,是怎麼樣孝順自己的父母以及他對家庭的重要性。所以有人被害死後,被害者父母跟我講,那一槍不是打死一個人,那一槍是打死三個,因為被害的是他的獨子!他說那一槍打下去之後,他跟先生兩個都七十幾歲了,覺得人生也無望了!我常常覺得我們都太著重於構成要件,並限縮在那一塊裡面,忘記去思考這個行為對社會、對家屬所造成的危害有多大!然後再加上這幾個完全沒有標準的教化可能性,以及什麼叫最嚴重之罪?這樣的死刑讓法官不知道怎麼判決,再加上憲判字第8號,所以我們才會一直說這是實質廢死!雖然民進黨一直說沒廢死,也沒有實質廢死這個名詞,但凡走過司法審判實務的人都很清楚,想據此來判死刑難如登天,這也是回應現在很多民團的想法。

再者,像張介宗殺害三個婦人,還分屍了,或是馬國女大生被姦殺案件,就算認為這是最嚴重的犯罪,卻還是被認為是不是有教化可能性?於是就不停的發回更審。因此,目前我所看到的,還是用過於空洞的東西要求法官下判決,所以這個規範、這個門檻根本就跨越不了!也請大家想一想,你們一直保護這些被告,但其實當時在殺人現場,他是多麼堅決一定要被害人死亡,是一定要他死!像新北國中校園割喉案,同學都已經制止,叫行為人不要再殺了,他還是繼續砍殺被害小朋友,甚至說我今天就是要他死!這是我們知道的一些事實,也希望大家不要忘記這一塊。

另外,我要再提一點,也就是這段時間虐童案件一直在上升,而且上升了很多。既然我們今天討論的是虐童致死法案,那麼有三件事麻煩你們思考。

首先,其實在這個社會,司法人還是要多跟民眾對話,不要陷於框架裡面。因為一直在框架裡,所以會認為那是過失致死,不是殺人罪,所以不該有死刑,如此是不是過於被框架所限制?

其次,刑法強盜致死還是有死刑規範,這點很多委員都有講到。所以我國法制是有這個東西,不是沒有,因此,不能隨便拿一點道理就說拒絕跟你們溝通?像法務部對人民的要求竟然說免談?這是不對的……

鄭部長銘謙:向委員澄清,我們沒有說免談,那是勾選勾錯了,我們有研修,我們要納入研修,只是大家沒有看內文……

吳委員宗憲:不管勾對、勾錯,在人民心裡……

鄭部長銘謙:而且我們上次在委員會也報告了立法方向……

吳委員宗憲:謝謝部長你們後面有改變,不過在第一時間人民的感覺是你們不願意溝通!

有關虐童統計,其實去年417日,我就已經在本委員會要求法務部趕快統計虐童件數、受理件數、案件來源及被害人年齡分布等等,因為這些跟修法有很大的關聯性。換了部長之後,我上一次有問,結果次長跟我說沒有這個統計數字!你們不能這樣!人民或我們要求你們提法案,你們卻跟我說虐童致死要判死刑不符合比例原則!我跟你要犯罪數據,你又兩手一攤說沒數據!行政機關是這樣在做的嗎?

鄭部長銘謙:跟委員報告,回去後我們已經統計了觸犯刑法第二百八十六條的案件,從109年到113年共328件,這是案件數字。

吳委員宗憲:沒關係。我跟你講……

鄭部長銘謙:至於終結為519人……

吳委員宗憲:數字給我。我上上週在這邊開會時,次長說沒有統計,警政署也沒有統計,其實我在去年4月就要求你們做這些統計,因為我們要趕快修法,所以我需要這些數據。

最後我利用一分鐘時間跟衛福部提一下。目前我國兒童政策及資源非常、非常混亂!零到兩歲的托育是社家署業務,對不對?

呂次長建德:是,沒錯。

吳委員宗憲:兩到六歲是教育部,至於零到二歲的兒童安置又是社家署,而兩到六歲則是保護司。不僅如此,內政部少輔會也管零到二歲兒童,但二到六歲又歸警政署婦幼隊,管理非常混亂!你們去看一下剴剴案,竟然是教育部管轄的文教單位所主管,大家各做各的,橫向聯繫也斷裂,這些問題我們是不是應該思考一下?日本在2023年成立兒童家庭廳,韓國也有類似的兒童權利保護院,有類似的規範,所以我們是不是應該趕快處理?因為目前社家署的兒少福利組人數只有十七人,卻要負責臺灣海量的案件!

我這邊有幾個問題,希望你們給我回復,這也是民團希望我們一定要問清楚的,也請各位一定要給我們時程。首先是設立兒童部或兒少保護部的期程還有期限,能否於今年1224日如期揭牌?再來,出收養媒合機構及管理辦法草案進度為何?能否於今年6月完成法制程序?我希望你們趕快回復,這件事我們會公開,你們也可以公開,因為有非常多民團一直來找我們陳情,他們發現找某些政黨無效了,沒用了,因為黨綱把他們綁住。雖然有很多委員有心要幫,但現階段不知道該怎麼幫!所以我們必須站出來為這些民團講講話,有太多被害人家屬在我辦公室哭到完全克制不了自己!他們想到家人被殺,想到小孩子被殺,完全克制不了自己,只能一直痛哭說他們是司法孤兒!這部分再麻煩了,什麼時候可以給我們?

呂次長建德:我簡單回應兩點:第一,關於收出養媒合辦法,我們現在已經對外預告,進行相關程序;第二,委員跟各界都非常關心兒少專責機構一事,跟委員報告,我們現在已經在研擬相關辦法,至於到底要成立司、署,或如同委員所說的部,由於牽涉到組織,我們會趕快研議,相關進度也會儘快跟委員報告。

吳委員宗憲:這幾個問題可否於兩個禮拜內先答復我?至於一些沒辦法解決的,我們可以趕快再來討論。

呂次長建德:好的。

吳委員宗憲:謝謝次長、謝謝部長、謝謝副秘。

呂次長建德:謝謝委員。

主席(吳委員宗憲):我們下一位請王義川委員發言。

王委員義川:948分)謝謝主席。請司法院副秘書長、法務部部長及衛福部次長。

主席:麻煩副秘、麻煩部長及衛福部次長。

王副秘書長梅英:委員早。

鄭部長銘謙:委員早。

王委員義川:最近很多家長對兒虐致死案件表達很多意見,也透過集會、遊行、抗議表達訴求,你們三位應該都有看到這件事情及他們的訴求,有沒有人沒有看到?

鄭部長銘謙:有看到。

王委員義川:都看到了。你們三位有沒有人反對他們的訴求?

鄭部長銘謙:我們認為對兒童的照顧與保護應該就法律來檢討,看可不可以再充實並完備法制來保護兒童。對兒少被凌虐,甚至被戕害,我們是零容忍的,所以我們有聽到他們的聲音。

王委員義川:有聽到他們的聲音?那就要積極想辦法補上,不管是政策或者法令嘛!

鄭部長銘謙:這部分我們會以最嚴格的態度,透過修法來保障兒童。

王委員義川:他們的訴求有哪一點你們還是保留了?

鄭部長銘謙:對於各界的聲音,我們都會參採,會廣納各界的意見,像凌虐兒童的部分,我們的立法方向認為這是非常不可原諒的犯罪,所以除了上一次委員會之外,這一次我再做重申,我們希望能夠研修,把它列入到第二百七十條或第二百七十二條的加重事由,像對未滿七歲的凌虐,事後又殺人的話,因為也有可能用凌虐作為殺人的手段,這一種我們認為是不是可以更重,就是比一般殺人罪更重,它是屬於特別殺人的加重犯行,是不是可以到死刑或無期徒刑,把十年以上拿掉,就直接判無期徒刑或者死刑,然後這些也不得假釋。

王委員義川:好。

鄭部長銘謙:另外,在第二百八十六條的部分,我們也考慮是不是把它加重,就是對於凌虐致死罪的部分是不是可以判處死刑的部分,我們也會納入修法討論時的其中一條……

王委員義川:你剛剛提到昨天有相關的會議,這兩天也會有相關的會議嘛……

鄭部長銘謙:明天也要再開一次會確定……

王委員義川:剛剛部長提到的內容是你的看法,還是內部討論過程中提出的主張?

鄭部長銘謙:我們提交討論的修法方向。

王委員義川:部裡頭提交的?

鄭部長銘謙:提交給刑修小組的修法意見。

王委員義川:就是你剛剛講的那一段?

鄭部長銘謙:對,我們修法的意見。

王委員義川:好。接下來我要請教衛福部。

呂次長建德:委員好。

王委員義川:剛剛我們召委提到相關虐童的一些統計數字,你們的認知也是這樣嗎?

呂次長建德:報告委員,確實是這樣,這幾年老實說,大家對於兒童……

王委員義川:你覺得這個數字是低估還是高估?

呂次長建德:報告委員,我們目前就如實的來做呈現……

王委員義川:這個數字一定是低估嘛,因為這個是法務部統計的,有進到法務部系統、進到司法系統的才會出現嘛,對不對?但是在臺灣各個角落還是會有一些虐童的事件未必會進到司法系統嘛!

呂次長建德:可能會有一些黑數存在。

王委員義川:這個部分衛福部怎麼處理呢?

呂次長建德:報告委員,我們現在有幾個部分,最主要大概就是前端的預防……

王委員義川:怎麼預防?

呂次長建德:跟委員報告,我們目前就是結合各個鄰里,我們有推出一些所謂零暴力、零容忍的這些社區……

王委員義川:鄰里協助?

呂次長建德:對,沒錯,鄰里協助。另外一方面,就是加強對於社會各界及……其實最重要的,事實上,鄰里之間的互助我想才是最重要的。

王委員義川:現在執行的狀況怎麼樣?

呂次長建德:報告委員,目前最主要就是社會安全網的布建,這個部分也非常感謝立法院對我們相關預算的支持,我想這裡面最主要是落實的問題,過去大概都有所謂「法不入家門」的觀念,就是認為所謂的家暴啦……

王委員義川:好,這一塊你們就繼續努力……

呂次長建德:是,我們會持續……

王委員義川:事前的預防還是要放在最前面,這是衛福部該做的,因為等到事情發生後就進到司法體系裡頭了。

呂次長建德:對的,感謝委員。

王委員義川:接下來要請問司法院副秘書長。

王副秘書長梅英:是。

王委員義川:副秘,請教一下,我們經常在媒體上看到,不管是虐待小朋友、虐待完全沒有行為能力的老人,他可能躺在床上,然後被虐待、被打,不管在家裡或者是在其他什麼安養中心,諸如此類的,反正就是後來從影像中看到他被虐待或者是就被殺害了,諸如此類的。經常我們後面就會看到那個兇手有精神障礙、有心智缺陷,每次一般人看到後面出現這幾個字,大家就整個都抓狂了,認為又來了,結果幹了這些事的人,可能加害者(被告)的律師就會出來說他的當事人有精神障礙、心智缺陷,所以、所以、所以,但一般人看到這個結果,大家都會抓狂。副秘,站在法院的立場,法官做相關判決的時候,在實務上這一些你們到底是怎麼納進去考量的?

王副秘書長梅英:謝謝委員,我想這是現代文明國家在法制上一定會規定的,如果他的責任能力有欠缺的時候,他能不能在刑事上扛起責任?這個事實上法律都有規定,也就是說,他如果是完全欠缺責任能力的時候,那當然就沒有辦法讓他負擔刑責。另外,到了程序上的時候,他可不可以、有沒有足夠的辯護能力,這也是要有足夠的辯護能力才能……

王委員義川:因為今天包括很多委員提出來有關虐童的部分,現在新的提案是要處死刑或無期徒刑,就這兩種刑度而已,沒有別的了,所以如果是剛剛提到的這種,加害人在凌虐他人之後,最後法官判決時認為他有精神障礙、心智缺陷,也有強烈的證據,包括他過去的就醫紀錄等等都有,他最後還是會被判死刑或無期徒刑,就沒有別的路可以走了,是不是?

王副秘書長梅英:這要看那個個案,就是要回到刑法總則第十九條來看有沒有減刑規定的適用。

王委員義川:所以他還是有可能被減刑?

王副秘書長梅英:是。

王委員義川:這種是大家看了之後認為很可惡、很可惡的,看了影像後,大家都會覺得這種人應該要被判死刑,大概一般人的邏輯都認為這種人沒有被判死刑怎麼可以,結果法官判的時候又回到了因為他有精神障礙、因為他有心智缺陷,因為怎麼樣又怎麼樣,所以沒有判無期徒刑,也沒有判死刑,你們認為呢?全世界都這樣嗎?還是只有我們臺灣這樣而已?

王副秘書長梅英:全世界都是這樣子的規定,另外還有身心障礙者權利公約裡頭也有相關規定。

王委員義川:OK,所以這個就是說,民眾如果看到這種狀況,雖然感到很不爽、抓狂,質疑為什麼可以這樣,但這種規定是全世界都有的,是嗎?

王副秘書長梅英:對,而且跟委員報告,在法律的設計上,除了刑罰之外,還有保安處分,如果他的精神障礙狀況導致沒有辦法負完全責任的時候,還會有保安處分的部分,譬如讓他到什麼機構去就醫或者是在某個地方做處遇,這是兩條軌道的處遇方式。

王委員義川:最後請教法務部部長。部長,這個修法大家都很重視,很多委員也提了相關的版本,包括國民黨黨團都提版本了,這個事情說實在的也不能再拖了,你說你們昨天有討論,這兩天也有討論……

鄭部長銘謙:這一週內會討論完畢。

王委員義川:所以你們的版本要加速啦!

鄭部長銘謙:我們會儘快提出來。

王委員義川:這是社會的期待,你們不能再這樣拖下去了,我知道去年是有修了一個加重其刑,對不對?

鄭部長銘謙:第二百八十六條第五項。

王委員義川:可是這一段期間,大家對這些案子的被害者也都覺得很不捨,希望我們的政府能夠拿出態度來,所以不要再拖了。如果你們這幾天都有在開會討論,只要有版本就儘快提出來,可以納進來討論,反正立法院在6月、7月都還會開會,你們就趕快把修正案送進來,大家趕快把這件事情做一個解決,社會才能接受啦,不然這個事情拖拖拉拉,再拖下去,在這個過程當中如果再度發生不幸的事情,這個責任沒有人承擔得起,所以可能要請法務部多加油,好不好?

鄭部長銘謙:是,謝謝委員,我們會加速,謝謝。

王委員義川:好,謝謝。

主席:謝謝王委員。

下一位請王鴻薇委員發言。

王委員鴻薇:958分)主席,我請司法院副秘書長、法務部部長以及衛福部政次。

主席:麻煩副秘、部長、衛福部次長。

王副秘書長梅英:委員早安。

鄭部長銘謙:委員早。

王委員鴻薇:早。部長,我先請教,剛才幾位委員都特別關心到有關於刑法的修正,我剛才在提案說明的時候也特別講到,去年陸陸續續開始有我們的委員提出修法,國民黨團的委員一共有15個修法提案,但是民進黨團的提案數是零,在廣大的民意壓力下,尤其剴剴案激發眾怒,終於法務部願意做回應。剛才我也聽到了,第一個,部長說要加快修法的腳步,對不對?

鄭部長銘謙:是。

王委員鴻薇:第二個,我剛剛有沒有聽錯?也就是把凌虐幼兒致死罪行的刑度,有可能提高到死刑或無期徒刑,我有沒有聽錯?

鄭部長銘謙:這的確是有規劃立法的一個方向。

王委員鴻薇:好,就是在刑法裡面,針對7歲以下的幼兒凌虐致死,最高刑度會到死刑。

鄭部長銘謙:這部分是立法的一個方向,我們有提出來做討論。

王委員鴻薇:好,這樣子會定案嗎?

鄭部長銘謙:這部分我們儘速來推動。

王委員鴻薇:另外,我請教一下,為什麼我們現在非常想趕快加速來做修法?因為剴剴案的最新判決已經出來了,大家也看到全部沒有死刑,對不對?

鄭部長銘謙:因為它最高度是無期徒刑。

王委員鴻薇:對,最高度也是無期徒刑,而且隨著審判的過程,兩個保母怎麼樣凌虐這麼小的孩子,把這個過程也呈現在社會大眾的眼前,大家覺得這麼殘忍、這麼故意,但是在我們的法律下,仍然沒有辦法去判處死刑,所以這個案子激起了眾怒,我們也希望在司法及法制委員會加快修法的腳步,我剛剛也特別說了,因為在網路平臺上公民提議也提議了非常久,我們左等右等,法務部沒有提案出來,所以我們立法委員為民喉舌,來回應社會大眾的期待,我現在想請教部長,這個會期預計是在7月底結束,請問在會期結束之前,行政院有可能把這個案子送到立法院來嗎?

鄭部長銘謙:這部分我們會加速,也跟行政院來做一個報告加速來推動,我想可以儘快地回應民眾對社會的期待,也可以落實保護兒少的這些權利,無法容忍兒少被凌虐、被戕害。

王委員鴻薇:好,我也跟部長說,因為真的沒有辦法再等了啦!過去很多殘忍地虐兒案件一而再、再而三的發生,如果大人的世界沒有辦法保護我們的孩子,這是我們的失職,也變成我們很殘忍,是不是?所以在這邊告訴部長,希望你們能夠非常快速提出,因為基本上依照我們修法的進度,今天如果能夠順利送出司法及法制委員會的話,因為我知道民進黨仍然是不同意嘛,如果大家都同意,其實這個案子很快的就能修法,至少讓我們的孩子在法律上能夠得到保護,但是如果民進黨團仍然是不同意的話,又要使得這個法案繼續所謂的冷凍一個月,我真的覺得,如果今天因為所謂的黨派之爭,如果今天行政院已經都覺得這是一個修法的方向,到時候我們在逐條審查的時候,你們就可以提出修正動議,讓我們的法律修正案加速進行,沒有道理今天還要我們一直等待你們,左等右等,你不來怎麼辦?所以在這邊也要跟大家報告,部長,你這邊最好應該要有準備,在我們逐條審查的時候,你們就提修正動議出來,才能夠加速修法,部長同不同意?

鄭部長銘謙:這邊我們來努力。

王委員鴻薇:你們來努力一下,因為我們真的不要一直等啦!等來等去沒有意思,好不好?那也是我們的失職。

另外,我也請副秘書長,在法律裡面把凌虐幼兒致死列入死刑或無期徒刑,但是很多國人的疑問是,法律裡面有死刑又怎樣?剛剛這麼多委員都提到列進死刑又怎麼樣?因為大法官的解釋出來,第一個,法律有死刑,他不會判死,比如一審的時候判死,接下來,到了高等法院又駁回把它推翻。到目前為止,在憲判字第8號出來之後,沒有一個判死,而且有幾個像20226月新竹的輪胎行縱火案,燒死8名自己的親人,大家都覺得罪無可逭,一審判處死刑,結果大法官憲判字第8號出來之後,立刻又改判無期徒刑,這就是第一個原本判死刑,後來又改判無期徒刑的例子。就算判了死刑之後,再加上整個從偵查到槍決有8道關卡,8道免死金牌給你,到真正要執行死刑之前,還要有很多的關關卡卡。所以我們在這邊要請教司法院,對於法官來說,我相信有很多法官要判死刑,輾轉反側,像我剛剛講的新竹輪胎案,一審判定罪無可赦、判決死刑,我相信這一審的法官,你以為他是隨便判死刑啊!以這幾年的社會氣氛,要判死刑不容易!但是他判了死刑之後,因為我們的大法官解釋之後,又不能夠去判處死刑,又變成無期徒刑。同樣的,我們剛剛也有特別提到馬來西亞的女大生案也是一樣啊!所以我們當然希望在修法裡面回應廣大民眾的期待,但是如果這個實質廢死沒有辦法解決的話,修法不足以自行、修法不足以保護我們的國人、修法不足以保護我們的幼童,有沒有解決的辦法?

王副秘書長梅英:跟委員報告,在憲判字第8號之後,事實上,法院就是在憲判字第8號意旨底下還是有宣告死刑的案子,像高雄殺鄰居夫妻的雄分114年度上重訴字第1號在今年310號就有宣告死刑;另外,雄分114侵上重更二字第1號的案件在一審,還有二審在今年115號也是在憲判字第8號之後,還是有宣告死刑的。至於剛才講的馬來西亞女學生這個案件,遭最高法院撤銷,事實上會撤銷一定是因為……畢竟一個死刑的判決,它必須是完全沒有判決的瑕疵,所以是針對判決上有一些瑕疵……

王委員鴻薇:所以前面都有判決瑕疵?所以我認為對於很多法官來講,他們也很痛苦,一審、二審到最高法院,就突然哪一個法官覺得有瑕疵,或者他就是不願意判死。

王副秘書長梅英:報告委員,這個不只是在憲判字第8號之後,向來就是各審級,尤其是最高法院,它已經是要定讞的審級了,所以面對宣判死刑,它當然會比較嚴謹,所以以前在上訴之後撤銷判決,這個在過去也是一樣……

王委員鴻薇:我必須在這邊說,第一個,不具民意基礎的大法官,站在80%民意的對立面,做出這樣一個憲判字第8號,使得我們很多司法的公平正義無法伸張,這真的太扯,然後我們希望能夠透過公投,結果中選會又沒收公投、沒收人民來做決定的權力,實在非常離譜啊!現在是要民意不能講話嗎?就如同我們現在在財委會也是一樣,行政院要把地方補助款整個刪掉,縣市政府都派員,甚至臺南市也都有派人來!結果你們民進黨團不讓人家上去講話!鴨霸到這種程度?為什麼現在民意要伸張、民意要講話這麼困難?所以在這邊,我當然知道中選會的判決不干你們的事情,可是我必須要請所有在司法每一個環節的人去想一想這些被害人、被害人的家屬,不要讓他們對於司法已經完全的喪失信心,所以為什麼這一些關心剴剴案的父母們,我相信他們遊說立法院所有的委員,希望我們能夠修正刑法,但是除此之外,也讓一致決的實質廢死案能夠得到解決,這個也拜託所有在司法上每一個環節的人,想著司法就是一個天平,就是要保護國人的生命、財產安全,不要因為少數人的意志,或者某個政黨的神主牌,而犧牲掉人民最基本的權益,以上。

主席:謝謝。下一位請莊瑞雄委員發言。

莊委員瑞雄:1011分)謝謝召委。你要稱讚就要用麥克風,你什麼都私底下稱讚我。

請司法院副秘書長、法務部部長。

主席:副秘、部長。

王副秘書長梅英:委員早。

鄭部長銘謙:委員好。

莊委員瑞雄:刑事廳廳長也上來一下。我今天早上聽了立法院幾位委員的詢答以後,我感慨很深!立法院不是一個水準很高的地方,但是立法院是一個多元民意的地方。我最擔心的是,今天提出修法就叫做民意的伸張,這句話聽起來真的是很可怕,為什麼說很可怕?就是說民意常常像流水一樣,不同的壓力團體、不同的民團有他們的主張,站在司法部門,要採取什麼樣的民意?我反而會覺得正義要伸張,你說虐童可不可惡?可惡!尤其是致死,當然可惡!要不要重判?當然要重判!但我最擔心的是什麼?大家把概念給搞混掉了。王義川坐在個地方,我每天去捏他,我也是在凌虐他,但產生不了什麼效果,他搞不好覺得我很討厭而已,我一直捏、一直捏、一直捏、一直捏,捏到最後他搞不好輕傷擦藥而已,搞不好我手段再狠一點,他變重傷,有可能虐到最後他死掉了,也就是一個行為裡面常常會隨著風險的提高產生不同的結果,但是他的主觀犯意是什麼?

我要語重心長地講,今天的修法要講出不同見解的人壓力是特別大,像剛剛吳宗憲委員,你也是法律人出身,我對他的看法是他也完全顛覆我的看法,我就不認同,但是也請你聽聽看,你都一直認為法官不要被構成要件給綁住了,我要跟召委報告,當代法學思想在強調的就是罪刑法定主義,你不要以為罪刑法定主義是很古老的東西,為什麼叫罪刑法定?就是立法者用構成要件要綁住這些法官,不能讓他愛怎麼判、隨著他的情緒怎麼樣就怎麼判,那不行啊!哪怕是檢察官依法打擊犯罪,起訴了以後,起訴的罪名法官都可以變更起訴法條,都可以變更。所以說沒有構成要件我才怕!

今天在講凌虐致死可不可惡?非常可惡,民主進步黨也認為非常可惡!我認為法務部一定認為很可惡,司法院也認為很可惡,把人家凌虐致死怎麼會不可惡呢?我剛剛看各位回答之後,部長就很想去回答,可是因為這個地方主戰場是立法院,你們不能暢所欲言。副秘又是法官出身,你當然就不想多言。其實你們的判決書我都看過,你們寫的判決書是擲地有聲,水準是非常高的,可是到了立法院,有時候礙於時間的因素,你們也不知道要怎麼說。

我進入主題,像譬如以今天所提出來的虐童,你說凌虐致死變成死刑跟無期徒刑,我為什麼覺得會顛覆現在的法學思潮?就你去創設了一個,我們一般講說殺人罪以現在來看的話,在刑法體系侵害到個人法益的是最高的犯罪,如果犯殺人罪,可處死刑、無期徒刑或十年;現在凌虐致死,你給他創一個死刑跟無期徒刑,創設比殺人罪還更重的法律出來,這好奇怪,沒辦法說服我。我不曉得怎麼樣說服我自己,不能說服我自己不是說我認為虐童致死不可惡,非常可惡!但是體系上會錯亂,所以我倒覺得刑法的正義,當然要去嚴懲,但是也要符合比例原則,你用非以奪命為目的的虐待行為的法定刑,你把它設定這個極刑,副秘會不會覺得有體系混亂的問題?

王副秘書長梅英:謝謝委員。我贊同委員的意見,因為凌虐致死之所以沒有構成殺人,就是說他一剛開始的時候,不是一個殺人的犯意,而是一個比較低的,就是像委員講的去捏他,所以說這兩個事實上是有個罪責相當的問題,就是表現在它的法定刑上是有一個層次,不一樣的。

莊委員瑞雄:所以我就知道你的意思了,但問題你們在這邊講不清楚,在立法院,我告訴你,你沒辦法講清楚,我只要在立法院碰到重大爭議的法案,我幾乎常常跟人家不一樣,不知道是我的頭腦長得奇怪還是怎麼樣?我都覺得立法的東西真的是不能民粹,回應民意很重要,但是兩邊在拉扯的時候,如果一個國家、司法,你沒有去守住整個法律體系的話,你會崩潰掉,真的會崩潰掉。

我再來舉例,馬前總統執政的時候簽訂了兩公約,我也不談兩公約要不要遵守的問題,那兩公約現在已經是內國法化,我們已經把它當成國內法,光修這裡的話,兩公約裡面講說:締約國不得在批准公約時或其後任何時候將沒有死刑的罪刑轉變為死刑。結果兩條牴觸,你這個地方修,除非你那個地方也修,除非我們也去修。不是這樣子嗎?

所以我覺得非常遺憾的地方是,大家看到這一些讓人痛恨的事情,其實大家心裡頭想法都是一樣的,虐童致死,我相信不管是中國國民黨、台灣民眾黨或者民主進步黨,大家都認為非常可惡,只是說法令怎麼樣來訂?你要訂到說虐童致死的就是一個刑法的太上條款,訂得比殺人罪還要重,可是你又沒有辦法去說明,說他的故意不是基於殺人的故意,他只是因為虐童到最後死掉了,所以那個叫做刑法的帝王條款,你要去這樣創設,道理講清楚了以後,我也沒有意見,但是大家要先講清楚。

虐童可惡,虐待直系血親尊親屬可不可惡?虐童致死,死刑、無期徒刑;把父母親虐待死,覺得沒有關係,判刑比較輕一點,這個也沒有辦法說服我。我在這邊再強調,尤其是中國國民黨跟台灣民眾黨的朋友,還有所謂的民團,你們的意見、你們的憤怒,立法院都聽見了,但我們是在談法律的體系,一般在講的就是,每一次犯罪,大家都講到底衝擊到什麼樣的法益,大一學生最喜歡提這個,所有個人的法益集合到最後才是什麼國家法益,那個不管,我的意思是,譬如人死掉了,誰讓他死掉的?如果你是碰到一個14歲以下的讓他死掉了,連刑罰都沒有耶!死掉的可不可憐?好可憐耶!你對這些家屬怎麼彌補?是喔!這個時候如果家裡頭又沒有錢了,那怎麼辦?被害人真的是很痛苦!如果這個致死的行為人剛好是14歲以下的,驗不出傷、「糊牛屎」;而如果碰到的是一個80歲以上去殺人的,刑罰設計又必減。

產生死亡的結果有很多原因,行為人、加害者也有很多不同的態樣,所產生的不是叫做必死,不會!不然我們刑法為什麼從總則編開始設計,要講罪責,到最後再用構成要件把法律人給綁住,不能讓你心情上想到哪裡,你覺得你很痛苦、這個很可惡就亂判、判處極刑,那也不行。所以我倒覺得今天這樣的修法,我絕對支持強化兒童的保護,杜絕虐童行為,我相信各個政黨大家都一樣。但是讓刑法變成社會情緒的一個出口,整個刑法體系崩潰掉,三思啦!我覺得這個要三思,尤其法律人都講要有比例原則。

我特別去查了不少案例,我看最高法院有時候在講凌虐致死部分,致死的部分到最後也會提升到用殺人罪去判。譬如我去當人家的保母,凌虐人家,今天虐待他就抹一抹藥而已,也不會怎樣,也許會妨害到他身心的健全發展,這個觸犯到刑法;那如果凌虐到最後他受傷了,風險慢慢再提高,有人去報警,他怕被警察追,說是不救他就這樣跑掉,小孩子死掉了,我看最高法院也有判處殺人罪。虐童行為態樣很多,可能是基於我就是虐待你而已,而有的人就是可惡,到最後致輕傷,有的變成使人重傷,到最後有可能產生死亡的結果。因為他是一個保母,所以他有基於保證人的地位,你看到他要死、可能會死,你卻讓他死掉,你不去救他,那個風險慢慢提升。基於保證人的地位,法官會認為那就產生你這跟殺人的未必故意是一樣的,判處死刑。這種判決我也看到了,我認為這個判決很正確。

所以未必什麼都是一定要死刑,要提升到死刑也可以,我認為也可以,可是去創設一個比殺人罪還更高的帝王條款,真的要三思,但重點還是在哪裡?我覺得還是在於法官、給他獨立審判的空間,我個人都不認為死刑是最最嚴重的處罰,我認為最可惡的人,要是我來判的話,我不判死刑,我就判他無期徒刑,讓他生不如死。乾脆立法院來設定一個針對很可惡的,除了死刑以外,要加一個無期徒刑,每天叫出來遊街示眾讓民意宣洩,這樣好嗎?但可以思考,所以我會覺得,各位今天碰到這個議題,你們都不方便講,但是我要再強調,虐童行為要杜絕,虐童行為要重判,這一題不是政治題目、這一題不是政治題目,各個政黨不用互相吐口水,這是非常嚴肅的一個議題。

很抱歉,實在是我才疏學淺,也不敢看稿,遇到你們其實我自認為法學素養跟副秘、廳長及部長比較,我已經差不多都很生疏了,只是這些基本的、幾百年來的法學思潮,還有法律人必須嚴守的這一些基本原理,還是要慎重,不然你說他可不可惡?我覺得很可惡,要把他判到死刑我贊成,如果法官認為它已經提升到殺人的未必故意,當然可以,虐童的要把他判處死刑也可以啊!你基於殺人之故意,直接判你殺人罪就好啦!我來判,我敢判他死刑啊!但重點是要把它提升到是一個獨立的帝王條款,都不去問他本身當初的主觀犯意是什麼,就是死刑跟無期徒刑兩個可以選擇,這個可能有待考慮,而且跟我們整個國內法會不會產生衝突?我再強調一次,不是要不要遵守兩公約的問題,兩公約已經是國內法了,那我們在修法的時候,就算這個地方要過,其實應該要同時兼顧到別的法律衝突的問題。以上,謝謝。

主席:謝謝莊委員。

下一位請沈發惠委員發言。

沈委員發惠:1026分)主席、各位同仁。今天召委設定這個議題,其實有很多很多問題可以談,有一部分在於,就目前社會民眾的情緒,也有更多部分是專業法律的探討,剛剛我是滿佩服莊瑞雄委員,目前虐童刑度調整的部分,就學術上面有一些不同的考慮,他在這邊提出來。我也覺得這樣子的議題,今天這個主題值得大家好好討論,其實召委應該給每個委員20分鐘的時間,才有辦法討論這麼多的議題。我也覺得這個議題其實真的沒有什麼咆哮的必要,怎麼會這種議題在這裡說哪一個黨都有提,哪一個黨都沒有提案、哪一個委員沒有提案,好像扣上說沒有提案就是支持虐童犯、沒有提案就是包庇,這種都沒有必要,像剛才莊瑞雄委員就非常清楚地就學理上面來討論。

除了虐童案刑度的修法,今天另外併案討論的、所列主題其實一個一個的問題都有很多可以討論,包括法官就死刑量刑準則;被害影響陳述,這是第二個議題;包括教化可能性、復歸社會可能性,這又是一個議題、第三個議題;第四個議題,量刑前社會調查;甚至鑑定,又是第五個議題。每一個議題其實都很值得討論,我剩下的時間真的很少,不過我還是在這裡儘量地想跟司法院副秘書長討論一下這些問題。

王副秘書長梅英:是。

沈委員發惠:我剛剛所列出的幾個問題,我一個一個來跟副秘書長討論。有關死刑量刑準則,事實上依照國民法官法第五條,目前如果是要判死刑的案件,事實上都一定有國民法官參審,對不對?

王副秘書長梅英:是。

沈委員發惠:是嘛!對。

王副秘書長梅英:對。

沈委員發惠:113年憲判字第8號提出,判處死刑應經合議庭法官一致決。「合議庭法官一致決」,它指的是……

王副秘書長梅英:職業法官,就是沒有包括國民法官。

沈委員發惠:不包括國民法官,對不對?

王副秘書長梅英:是。

沈委員發惠:所以是職業法官裡面。那按照國民法官法,目前第八十三條之一,有罪之認定,要達三分之二以上。

王副秘書長梅英:對。

沈委員發惠:量刑部分是半數以上就可以,但有罪之認定,要達三分之二以上。

王副秘書長梅英:對。

沈委員發惠:也就是如果要判處死刑的話,6名國民法官加上3個職業法官,總共9個人,9個人裡面要判處死刑是……

王副秘書長梅英:33

沈委員發惠:33嘛!

王副秘書長梅英:對!

沈委員發惠:就是要6……

王副秘書長梅英:至少要33

沈委員發惠:至少要6票以上同意,就是9席裡面要6票以上同意,但是這6票裡面,3個職業法官必須一致同意,對不對?

王副秘書長梅英:是。

沈委員發惠:所以不是這個憲判出來之後,一定要9個人全部一致同意才可以判死刑,不是吧?

王副秘書長梅英:是的。

沈委員發惠:這個部分我想應該在這裡先釐清。所以也就是說,目前這個制度、113年憲判第8號並不是說要全部的,包括國民法官和職業法官加起來全部統統一致決才可以判死刑,不是!

王副秘書長梅英:是的。

沈委員發惠:9個人裡面有6個人同意就可以判死刑了。

王副秘書長梅英:對。

沈委員發惠:這個我想要在這裡先說明。

今天所要討論的第二個問題是有關被害影響陳述的問題。事實上被害影響陳述是訴訟參與人意見陳述裡面的一個部分,對不對?

王副秘書長梅英:是。

沈委員發惠:對嘛!它整個是訴訟參與人的意見陳述。在訴訟參與人的意見陳述裡面,其實還分成不同的部分,不是光講一個被害影響陳述,而是還有證據調查的部分,證據調查就可以做意見陳述,這是第一個;第二個是有關被害情感的部分,他也要做意見陳述,這是第二種意見陳述……

王副秘書長梅英:是。

沈委員發惠:第三個是有關科刑的辯論……

王副秘書長梅英:科刑範圍……

沈委員發惠:辯論科刑的時候又有第三個意見陳述的機會。

最主要是說,實務上常常在證據調查過程中就夾雜情緒性和主觀性的意見,雖然我們剛剛說學理上有這三種意見陳述,但事實上國民法官沒有辦法區分現在這個意見陳述到底是證據的意見陳述、被害感情的意見陳述,還是科刑辯論的意見陳述,一般的國民法官沒有辦法區分現在的意見陳述到底是屬於哪一種。但是如果沒有妥善區分或真正區分這三種不同的意見陳述,事實上對於最後的審判結果恐怕會有影響。請問司法院現在有沒有針對訴訟參與人意見陳述方式設計一個明確的引導規範和實務的指引,來確保國民法官在審判過程中對這些不同意見陳述的認知,以及它的秩序跟它的正當性?你們有沒有這樣的設計?

王副秘書長梅英:跟委員報告,在國民法官案件實際審理的時候,每一個程序階段的先前跟之後,審判長都會告訴這些國民法官這個人,譬如這個被害人現在講的這段話,他的評價是什麼,就是他的用意是什麼,也就是它的休息時間會比一般職業法官審理的案件要來得多。

沈委員發惠:這個部分職業法官必須有相當程度的說明和引導,才能讓國民法官理解目前這些陳述到底是屬於證據的陳述、被害情感的陳述,還是量刑的陳述,這些都要引導啦!這個部分是有關被害影響陳述的部分。

王副秘書長梅英:是。

沈委員發惠:今天的第三個議題是有關教化可能性和復歸社會可能性,這也是列在今天議程上面的議題。所謂的教化可能性在法學上面一直都頗有爭議,雖然最高法院97年度台上字第5968號判決裡面所確立的教化可能性實務上已經被大量引用,但是卻沒有立法和制度的標準,對不對?如何衡量教化可能性?目前在我國的法制並沒有標準化,對不對?

王副秘書長梅英:其實這個談的是社會復歸的可能性。

沈委員發惠:對,其實社會復歸可能性比教化可能性還要更精準一點。

王副秘書長梅英:是。

沈委員發惠:但事實上現在實務上大部分都用「教化可能性」,而且事實上並沒有標準,也就是教化可能性目前沒有一個標準的規範。我們來參考德國和日本,事實上德國和日本是有標準規範的,德國有一個HCR-20,簡單講,德國有一個行為預測的鑑定模式,日本則有一個法定的矯正可能性報告,必須要有這個報告,這些都是德國和日本對復歸社會可能性、教化可能性所建立的標準,而我國目前是沒有的。而且我剛剛所講的德國和日本,他們對教化可能性鑑定制度的拘束力是很強的。在我國,最後的鑑定報告只是供法院參酌使用而已。在德國,無論是否採取鑑定的意見,都必須具體說明理由,我國則不用,我國只是參考而已,法官最後要不要採信這個鑑定報告並不用說明,德國則要說明,包括為什麼鑑定出來是這樣、為什麼採用、為什麼不採用,都必須敘明。日本也是,他們的法官必須向裁判員(國民法官)說明鑑定的意義和適用方式,這在日本是要說明的,我國目前沒有。現在司法院有一個「法官對國民法官之指示參考手冊」,可是我發現裡面並沒有針對這個部分有所規定,司法院是不是可以考慮把我剛剛講的這個部分納入相關的參考指引?

王副秘書長梅英:這部分我請廳長來說明。

李廳長釱任:委員好。跟委員報告一下,對量刑前鑑定的部分,我們現在有一個重大矚目刑事案件量刑前鑑定調查評估手冊,對於相關鑑定的內容和操作方式,主要是針對刑法第五十七條第四款、第五款、第六款和第十款……

沈委員發惠:我知道,但我現在是在講復歸社會可能性和教化可能性的衡量標準……

李廳長釱任:這個我們……

沈委員發惠:事實上這牽涉到我們今天接下來的立法,大家對於這到底是有教化可能性還是沒有教化可能性、這為什麼不判他死刑,這是同樣的問題,這個部分目前我國沒有法制化和標準化。

李廳長釱任:是。

沈委員發惠:這個部分我希望能夠建立制度。

因為時間的關係,有關量刑前的社會調查是刑法第五十七條第七款至第十款的部分,後面我本來還有很多學術性的問題想跟你們討論,包括推動量刑準則的建立在司改國是會議裡面是有共識的,而司法院過去也有推動量刑準則,在實踐上做了很多事情,在11012月的司法院院會也通過刑事案件妥適量刑法草案並函送立法院審議,但是因為屆期不連續,這個案子就沒有了,這一屆你們也沒有再送。這個部分是不是請副秘書長說明一下,有關推動量刑準則的部分,你們接下來的努力方向是什麼?

王副秘書長梅英:謝謝委員。這個部分就如同委員所說的,在屆期不連續之後就回到司法院繼續研議,事實上這主要有兩個方向,一個是有關要成立量刑準則委員會,因為在原來的設計當中,它是一個獨立的二級機構,各方對此有不同的意見……

沈委員發惠:既然上一屆你們已經把草案送立法院,再研議之後是不是至少能在半年內提出一個書面報告,說明目前研議的成果和未來推動的時程?

王副秘書長梅英:好,是的。

沈委員發惠:謝謝。

主席:謝謝沈委員。

下一位請張智倫委員。張智倫委員、張智倫委員。

接下來請翁曉玲委員發言。

翁委員曉玲:1039分)主席好,有請王副秘。

主席:麻煩副秘。

翁委員曉玲:還有刑事廳李廳長。

主席:請廳長。

翁委員曉玲:王副秘早安。這次立法院提出針對俗稱反廢死的公投,很遺憾,中選會竟然對於立法院所提出的公投進行審查,同時又拒絕辦理立法院所提出的公投。我在這裡要藉這個機會譴責中選會,它根本無權審查,也無權拒絕辦理立法院所交付的公投,這個已經明顯違反公投法相關的規定。當然這次中選會主要是認為立法院所提出的公投「您是否同意『各級法院合議庭法官判處死刑不須一致決』之政策」的這個議題不是重大政策,而是屬於立法原則創制,對於中選會,我剛才一開始就已經說它根本無權審查,到底立法院所提出的公投案是屬於哪個性質,坦白說它真的沒有權力去進行審查,更何況我們這次提出公投的命題也非常清楚,它就是涉及到一個重大政策、重大立法政策,這跟立法原則的創制其實是完全不同的概念。

我在這裡想請教,因為現在法院組織法第一百零五條清楚地規定,法官評議以過半數之意見決定之;如果法官的意見分三說以上的話,它也有一些相關的規定,就是要針對不同的意見,按照順序進行表決。對於法院組織法第一百零五條的規定未來如果要修正,我們要檢討譬如說法官評議過半數這個決定的標準到底是不是應該改採三分之二、四分之三,乃至於一致決的修改,請問副秘,您認為這是不是屬於一個重大的立法政策?

王副秘書長梅英:報告委員,因為這是中選會的決定,我們是尊重他們職權的行使,司法院不方便評論。但是……

翁委員曉玲:法院組織法第一百零五條……

王副秘書長梅英:因為憲判第8號解釋有關於死刑一致決,這是那個判決主文所宣示的,我們司法院是基於憲法訴訟法第三十八條第一項規定,憲法法庭的「判決,有拘束各機關及人民之效力;各機關並有實現判決內容之義務」,所以這個法院組織法第一百零五條的這個規定,目前我們也有在做修法的研議。

翁委員曉玲:當然,本席在這裡也要提出,其實我對於憲判字第8號判決是極不認同的,簡單來說,我根本就認為它就是一個違憲的憲法判決,大法官已經把手伸入立法權,介入立法政策的形成,這個部分其實憲判字第8號的判決,我相信未來如果換了一批大法官的話,這號判決可能會被推翻。

更何況,這在德國當然也有不同的法學理,也都認為不見得大法官的憲法判決是可以拘束立法機關的,所以接下來的修法會如何提案,本席這裡當然也會提案修法,但我更期待的是,很快就可以看到司法院,乃至於法務部有相關的修法。請問現在司法院已有針對相關的修法開始進行討論了嗎?有沒有對外召開過公聽會?

王副秘書長梅英:我們是召開諮詢會議,因為那個範圍比較小,然後內容也比較特定,所以是召開諮詢會議,已經進行3次了。

翁委員曉玲:所以你們只是召開專家學者諮詢會議?

王副秘書長梅英:是。

翁委員曉玲:但是你們都沒有對外召開公聽會?

王副秘書長梅英:目前沒有。

翁委員曉玲:你們的考量是什麼?這個議題難道不是涉及與廣大民眾權益有關的議題嗎?我想王副秘也很清楚知道,憲判字第8號作出來之後,尤其是對於法官要不要判處死刑一致決的這個事情,已經引起全國非常多民眾,尤其是被害者家屬的不滿,對於這樣的議題難道不需邀請相關團體一起進行討論嗎?

王副秘書長梅英:報告委員,這個部分我們是依據憲判字第8號主文所揭示的內容所做的修法。

翁委員曉玲:所以基於大法官的決定,根本就不須要再跟民眾對話、跟民眾溝通?司法院難道不須負責幫忙大法官去說服民眾接受一致決的判決嗎?當你知道現在整個民意是反彈的,立法院要提出公投,希望讓民眾透過這次的機會表達自己的意見,可是中選會莫名奇妙,它明明就是一個小小的二級行政機關,竟然還有權力否決立法院所提出的公投,這是非常不恰當的。

司法院,你們作為法院組織法的主管機關,未來會提出修法,在這個議題上面,本席認為司法院還是應該要召開公聽會,即便你們知道以你們的立場不太可能會作出跟大法官判決相違背的修法建議,但是在這個過程當中,就是一個很好跟民眾相互溝通、說服民眾,或是怎麼樣把大法官的意見說給民眾聽的機會。我在這裡是不是可以要求司法院應該要召開公聽會?

王副秘書長梅英:這個部分我們會回去研議。

翁委員曉玲:我要再提醒的是,人民對司法的信賴、對司法的瞭解其實就是在相互對政策溝通的過程當中一步、一步的進行。如果司法院完全不聆聽民意,不去進行相關法案的溝通的話,我覺得這是一件非常危險的事情。

接下來我要再談的是在大法官憲判字第8號判決作成之後,有關於一致決的部分適用在國民法官審理案件上面所出現的矛盾。依照你們現在司法院最近在網頁上公告的說明,未來對於可能判處死刑的案件,必須至少要有國民法官3個人以上,以及法官3個人同意才可以判處死刑。

王副秘書長梅英:是。

翁委員曉玲:其實依照你們這樣的認定、依照大法官憲判字第8號所作出的說明,它其實會凸顯一個問題,就是如果未來國民法官有6個人都作出了一致決的判死決定,然後其中有3位職業法官,有2個贊成判處死刑,1個不贊成判處死刑,那就代表這個案子根本就不成立,對不對?

王副秘書長梅英:是。

翁委員曉玲:就會變成9位,國民法官加2位職業法官總共9票贊成判處死刑,但是有1票不同意就全盤否決了可以判處死刑的可能性。我想王副秘應該知道,像這樣的評議決定作成之後,它可能會引起整個社會大眾輿論的反彈,更重要的是,本席也認為這跟你當時成立國民法官制度,就是要制定國民法官法,引進國民法官是有很大的矛盾衝突,你們自己當時為國民法官法宣導的時候還說,國民法官是「實現你心中的正義」,結果有嗎?依照現在憲判字第8號的判決作成之後,國民法官可以實現他們心中的正義嗎?顯然沒有嘛!對不對?所以我真的認為司法院其實應該要好好地去思考,怎麼解決國民法官的這個問題,未來修法對於是不是一定要3位職業法官一致決的部分進行好好地研析,否則的話,我認為這樣的決定基本上、事實上就等於是保護了那極少數的否決權。事實上大法官憲判字第8號判決本來就是在保護司法的少數暴力,我個人認為是這樣,這個是極不妥的,本席希望你們可以考慮這個問題。

最後還有一個議題比較簡單,本席之前有參加生命權平等協會的座談會,也聆聽了他們對於強化被害人家屬權益的九大訴求,其中特別是關於強化被害人訴訟參與權的事項,這個我認為很重要,本席未來也會負責任的提出相關修法。可是其實強化被害人訴訟參與權不見得一定要透過修法,有些事情似乎是司法院現在就可以立即進行改善的,譬如被害人及家屬在法庭上面的席位問題。我想王副秘或許也知道,過去已經有非常多被害者、家屬團體以及一些司法實務界的人士都紛紛提出,對於整個法庭上面的席位安排非常不利於被害人以及被害人家屬。這個部分其實是司法院直接修改法庭席位布置規則就可以改善的,不知道司法院這些年來有聆聽到這些民眾的聲音嗎?有沒有試圖要去改善現在的席位?

王副秘書長梅英:這個部分,因為目前在刑事部分的訴訟關係還是一個三角結構,就是檢察官、被告還有法院,法院是審判者,被害人當然有他的地位,可是他並不是當事人,所以他不坐在檢察官旁邊的席位,他是透過訴訟參加……

翁委員曉玲:我們看一下法庭配置,基本上,在刑庭的部分,現在被害人及他的代理人是坐在類似證人、鑑定人的位置,但是在國民法官的法庭配置上面來講的話,他現在是坐在檢察官的後面……

王副秘書長梅英:對。

翁委員曉玲:你們當時在修國民法官法的時候,有說要參考日本及德國的制度。看下面的圖,但日本的制度很清楚,被害者、參加人就坐在檢察官旁邊,在德國法上,基本上也是,參加人、被害者坐在檢察官旁邊,或者是如果有時候他變成證人的身分,會坐在證人的席次,但總是不是坐在檢察官的後面。這個部分如果這樣改善會有什麼困難嗎?

王副秘書長梅英:報告委員,現在如果被害人透過訴訟參加的話,會取得程序上的地位,這時候他就會坐在檢察官的旁邊,就如同這個圖上日本……

翁委員曉玲:就如同日本的配置嗎?

王副秘書長梅英:是、是、是。

翁委員曉玲:可是如果他作為被害人的家屬,沒有參與訴訟的話,要他成為證人,是不是?就是他如果是證人,如果他不具這個身分,就只能坐在一般的旁聽席……

王副秘書長梅英:就要看他程序上的那個地位,他有可能那天是用證人身分出現,或者是被害人陳述意見,但是只要他參與訴訟的話,就會取得程序上的地位。

翁委員曉玲:我想很多被害人的家屬可能不太知道在程序上面要怎麼去進行。事實上,我們也聆聽到很多被害人家屬團體的反映,他們認為在整個訴訟進行上面,有時候被害人家屬連發言權都沒有,更何況在位置的配置上面來講,也是突顯出對他們地位的不尊重,我認為其實司法院應該要檢討改善。

王副秘書長梅英:報告委員,刑事案件在準備程序的第一庭一開始的時候,法院就會發一個訴訟權益告知給被害人及告訴人,這裡頭其實就有告訴他們,說他們可以透過訴訟參加進入到這個訴訟。

翁委員曉玲:未來有沒有可能把他們的位置放在檢察官的旁邊,或是更靠近?這樣大家會感覺他們的地位是平等的。

關於這個議題,我希望司法院是不是可以給我一份檢討報告,包括參閱日本及德國的作法是如何,是不是可以就我剛剛講的法院的這個行為規則進行修改,提一個方案出來,好不好?我們要尊重被害人還有被害人家屬的聲音,總是盡可能的在法律的地位、法庭的地位上面給他們一個公平的待遇……

王副秘書長梅英:是的,委員,我們會提出報告。

翁委員曉玲:好,麻煩一個禮拜給我一份報告,謝謝。

王副秘書長梅英:好,謝謝。

主席:我們先作會議宣告:因為快11點了,所以待會在羅智強委員詢答完畢之後,我們休息5分鐘,5分鐘就好,讓官員能夠上個廁所……

吳委員思瑤:等我問完再……我問完好不好?不好意思,我跟月琴交換了……

主席:好,沒問題,這樣子OK。因為我大概都會抓在11點讓大家上個廁所。

那就在吳思瑤委員詢答完畢之後,我們休息5分鐘。

另外,就會議時間,我們中午不休息,上午的會議是持續進行至本日議程所列事項處理完畢為止。

接下來請羅智強委員發言。

羅委員智強:1055分)有請法務部長,還有司法院副秘書長。

主席:麻煩部長、副秘書長。

王副秘書長梅英:委員早!

羅委員智強:今天的主題是討論死刑量刑準則,希望建立一套相關的判準,來減少相似個案間判刑卻不同的爭議,這當然是一個正確的改革方向,但我今天要提一些實際的數據,跟法務部還有司法院的同仁們一起討論。

我先請教一下司法院,以刑法第二百七十一條第一項故意殺人罪來看,近年來判處死刑或無期徒刑的比率,以及有期徒刑的平均刑度,是上升還是下降,司法院,知道嗎?

王副秘書長梅英:今年還沒有統計,我們會後會提出數據給委員。

羅委員智強:好,我這邊有整理一部分……

王副秘書長梅英:是。

羅委員智強:以地方法院的數據來看,2015132個罪次裡面,判死的占3.8%,判無期徒刑的占17.4%,有期徒刑的平均判刑是149.35個月;以去年18月的數據來看,在所有罪次裡面,判死刑的,你知道是百分之多少嗎?我告訴你,是0,沒有啦!判無期徒刑的是19.4%,有期徒刑的平均判刑是140.41個月。也就是以2015年的與去年的來對比的話,判死的占比從3.8%降到0,判無期徒刑的是從17.4%提高到19.4%,有期徒刑的平均判刑是從149.35個月下降到140.41個月。所以看到整體刑度事實上是下滑,尤其是在死刑這個部分。在臺灣,為什麼外面大家評價是實質廢死?因為在判決的部分,從比率及數據來看,就是已經歸0,實質廢死!當然每一個判刑要看每個個案而定,也不能完全用平均數據來去解讀,不過整體趨勢來看的話,就是殺人罪的刑度下降,不只是判死的比率,連刑期都是,這當然也是為什麼我剛剛前面講外界一直在批評是實質廢死的原因。

我想要再請教,今天排審的是刑法第二百八十六條,也就是虐待兒少致死罪,這10年來,就20152024年,只有1件判處無期徒刑,我想請問一下司法院,針對所謂的虐待兒少致死罪,這幾年判處有期徒刑的平均刑度,您知道是上升還是下降嗎?

王副秘書長梅英:這個部分我們手上沒有資料,可以會後提供。

羅委員智強:沒問題。

王副秘書長梅英:是。

羅委員智強:我們這邊也調出一些數據。一樣以地方法院的數據來看的話,2021年有期徒刑的平均刑度是63.6個月,到2024年就剩下26個月,雖然刑法第二百八十六條的使用比率很低,從2015年到2024年,10年總共只有57件,平均1年五件多,但在近1098件罪次裡被判無期徒刑者1件,被判5年以上有期徒刑者18件,占比不到二成,被判1年以下者,大概是53件,占比是五成四。這一樣也面對我剛剛前面講的問題,就是不管是地方法院判決、高等法院判決、最高法院判決,也看到觸犯虐待兒少致死的刑度都在下降,這就是為什麼外界會有一些覺得似乎整個國家法制對於兒童的保護並不周全,光從刑事保障來看的話,外面就有人覺得兒童是最脆弱的、最需要保護的,但是從刑法來遏止對於兒童的施虐、重大傷害的情況,事實上我們的保護相對來講從整個判刑的刑度來看,外界可能就認為有所不足,這是我看到的問題。當然,去年716日就已經修正,提高刑度了,但是目前還沒有適用新法的判決出現,對不對?目前還沒有?

王副秘書長梅英:應該是還沒有,因為時間上的關係……

羅委員智強:沒有,因為才剛修正而已,以訴訟程序來看,不會那麼快。但是根據內政部的資料,比較家外受虐致死的人數在113年修法前後的數字,修法前是0人,修法後出現3個案例。去年跟今年我都有提出相關的修法版本,新的版本才剛剛一讀,還沒有納到這次審理,我的修法重點包括增列死刑,對於七歲以上未滿十二歲之人施虐致死傷者,可以加重刑期至二分之一,也就是在刑度的部分希望能夠解決目前實務上判刑過輕的問題。

我想請問法務部,部長,您覺得我剛剛講的這些司法院的數據,不管從死刑、從故意殺人罪、乃至於虐待兒童致死罪,刑度一直在下降,也就是判刑的強度一直在下降,我不知道法務部是怎麼看這件事情?跟社會期待是不是有落差?

鄭部長銘謙:以現行來講的話,我們希望對兒童的保護一定要非常地完備、零容忍,對凌虐、傷害、甚至殺害兒童的,我們認為要嚴懲,我想這是刑事的態度跟政策。

羅委員智強:對。

鄭部長銘謙:針對這次的剴剴案,我們也在檢視相關的法規是不是要有更充實的地方,所以我們也在做研修,昨天跟明天都有研修的會議,希望把立法的方向讓檢辯、各界做一個對話,我們會儘快提版本出來。

羅委員智強:好,謝謝部長。我在質詢的時候,你的態度我也有肯定,至少你要往這個方向去做。我想請教,上次法務部承諾3個月可以提出版本,這個承諾還是沒改變,對不對?

鄭部長銘謙:對,我們是3個月內要提出,希望能夠提出來。

羅委員智強:好,我再問細一點,修法的方向目前會包括增列死刑嗎?

鄭部長銘謙:關於修法的方向,我們認為對未滿七歲兒童的凌虐,上次我在委員會就有提到,如果以凌虐這部分當作殺人的方法,我認為這個是要脫離加重結果犯的問題,直接進入殺人的加重事由,這部分我們希望能夠再加重刑度。

羅委員智強:所以有考量,死刑的部分有考量在裡面嗎?

鄭部長銘謙:殺人罪如果以凌虐的方式來殺人,本來就是有死刑的選項、刑度。

羅委員智強:我知道,你上次大概有跟我講。

鄭部長銘謙:這部分我們會往再加重的考量,因為這個跟加重結果犯來講,究竟不是殺人的犯意,凌虐的方式有可能是傷害,或者甚至用殺人的,直接故意或間接故意都有,如果有這部分的話,我們都納入殺人的範疇來做規範。

羅委員智強:基本上,我們的方向跟部長已經有一些基礎共識,但是修法上法務部怎麼往這個方向更周延去看法條的衡平性……

鄭部長銘謙:對,另外還有不得假釋這這部分,我們也納入考量。

羅委員智強:好。我最後再提醒一下,根據衛福部的資料統計,2024年兒童及少年光家內跟家外受虐致死人數就高達33人,是9年新高,33人!說真的,看了都很難過,因為小孩子其實最沒有能力保護自己,結果他們卻面對這麼大的風險。光2024年就有33個在家內跟家外受虐致死,坦白講真的非常讓人心痛,換言之,不是只有1個剴剴,其實2024年就有33個剴剴,而且還是9年來的新高。以這個嚴重的程度,當然不完全能透過法務部或法院的判決,還包括整個政府對於受虐兒童的保護機制都要做系統性的檢討及反省,因為真的不能讓這樣的悲劇一直發生在兒童身上。

最後,我要講的是,事實上目前兒少的虐待事件真的滿嚴重的,政府應該要拿出足夠的魄力及決心,請法務部也好、司法院也好一起加油,謝謝您!

主席:謝謝羅委員。

下一位請吳思瑤委員發言。吳思瑤委員發言完畢之後休息5分鐘。

吳委員思瑤:115分)謝謝主席,有請副秘及部長。

主席:麻煩副秘書長、部長。

王副秘書長梅英:委員早。

吳委員思瑤:大家辛苦了。大法官憲法法庭針對臺灣沒有廢除死刑、死刑是合憲的解釋出來之後,這段時間立法院司法及法制委員會對於廢死的議題討論過非常多次,我認為每一次的對話都非常地珍貴,我們可以透過詢答清楚地讓社會知道臺灣沒有廢死、死刑是合憲的。所以113年憲判字第8號的結果是合憲性的解釋,但是要強化法律程序與制度保障,這些部分我已經論述過N次了,我也相信臺灣社會有更正確的認知。

立法院要做的是什麼呢?行政部門要做的是什麼呢?第一個,就是要尊重憲法法庭的判決,這是第一件事。沒有人可以站在憲法的對立面,針對憲法所規定的,解釋憲法的唯一權力就是司法院憲法法庭,沒有人可以站在憲法法庭判決的對立面。所以立法院、行政部門要做的第一件事情就是要尊重憲法法庭的結果,而不是用任何方式去推翻它、挑戰它。

我們要做的除了尊重之外,就是要啟動必要的制度配套,這是我們眼前另外一個要務,不管是如何避免冤獄的產生、如何防堵犯罪人逃避刑責、推動無期徒刑假釋制度的層級化,我也講過N次,這是我們立法委員跟行政部門的工作。所以我們要修法,針對刑法、刑事訴訟法、法院組織法、監獄行刑法謹慎地修法,而在修法的過程,要持續不斷地跟社會溝通、跟人民對話,這些都在進程當中,對不對?

鄭部長銘謙:嗯。

吳委員思瑤:好。所以我要說的是,請尊重憲法法庭的判決,不要亂帶風向,給社會不必要的錯誤認知,立法委員要做的是做好我們的本業──修法。但是在野黨要提出反廢死的公投,消費公共議題,為了他的政治目的,公投要綁罷免,這頁PPT我也拿出來用過N次。而當中選會認為在野黨所提出的兩個公投案一勝一負,有通過,也有駁回、不成立的,這就代表中選會對於公投案行使本身合理與否、合法與否作出一勝一負的決定,所以核三延役公投是可以進行的,但是反廢死公投因為違反公投法的規範,中選會予以駁回。

在野黨的委員現在要對中選會提起行政訴訟,我們都尊重,但還是要說,請把憲法讀好,除了憲法第七十八條規定司法院有解釋憲法的唯一權力,還有大法官釋字第185號、憲法增修條文第十二條、公投法第二條,都規定要服從憲法的規定,所以憲法的解釋等同於憲法,公投並不能夠否決憲判,副秘,是不是這樣?

王副秘書長梅英:是的。

吳委員思瑤:所以公投不能否決憲判。您認為現在在野黨的委員對於中選會要提起行政訴訟,他們不服,他們認為反廢死的公投怎麼可以不成立呢?要不要分享一下你的觀點?

王副秘書長梅英:我們尊重委員他們職權的行使,只是這個部分除了委員剛剛所講的這些依據之外,在憲訴法第三十八條第一項也有講,憲法法院的判決有拘束各機關跟人員的效力。

吳委員思瑤:是,沒錯。

王副秘書長梅英:各機關也有實現判決內容的義務。

吳委員思瑤:所以在野黨委員所提的反廢死公投,我姑且不論它有沒有政治的目的,要就罷免來做政治動員,但它就是違法、違憲,違反憲法、違反大法官解釋、違反公民投票法,也違反憲法訴訟法,所以憲法解釋等同於憲法,公投不能夠來否決憲判,我要再一次清楚的透過我的質詢,負責任的向所有公民朋友清楚的再次表達。

這些話我們早在在野黨執意推反廢死公投之前就說了,不聽民進黨的,絕對沒問題,民主不是一定要聽誰的,但不聽民進黨的,可以聽聽學者專家的意見吧!陳英鈐教授、蘇子喬教授、林佳和副教授在在野黨推出反廢死公投之前,都已經提出警示了,不要把公投當作綁樁的工具,當作政治的操作,死刑並未違憲,而是設定了更嚴苛的標準,不要用公投來推翻憲法法庭的解釋,更是要凸顯立法院的提案公投沒有符合明確性的原則,這就是為什麼中選會依法行政。未來的行政訴訟,我尊重在野黨,但是我還是這一句話,沒有人可以站在憲法的對立面。

進入我的第二個主題,最近吵得很夯,針對柯文哲前市長的京華城案,大家知道苗博雅市議員以證人的身分出庭,而法院傳喚他,他依法去履行他的責任,可是他在出庭前,卻被民眾黨鋪天蓋地進行抹黑、攻擊,也就是在開庭前公然的去騷擾、攻擊證人,這絕對不應該在民主法治社會發生的事吧!如果有任何的證人依法律的規定經傳喚出庭、配合檢調的偵辦,這是他公民的職責,卻被惡意的攻擊、騷擾,怎麼辦?怎麼處理?副秘,沒辦法嗎?你們可以放任這種事情嗎?沒有辦法回答,因為沒辦法想像會有人發生這種事情,對不對?只是一個去出庭應訊、提供證言、證詞的證人而已,會被攻擊成這個程度!而這一個政黨現在還要推法庭直播啊!最愛妨礙司法公正的政黨,現在還打著透明、公開,用民粹的操作要去推法庭直播啊!

而且很離譜的,還要修法院組織法,這已經逕付二讀,在523號。換言之,未來司法及法制委員會沒有任何機會具體討論法院組織法,針對法庭直播的合理性、正當性,沒有辦法進行討論,直接就在立法院透過表決來上路了,你們以後就是要執行的人,司法院跟法務部,怎麼辦?法庭直播這件事情,沒有委員會的充分討論,直接逕付二讀,而且我也可以預判,表決前也不太會有充分的發言機會,可能又被沒收了,然後直接用表決,站在你們司法人員的專業,捍衛司法的獨立,也一直在推動司法透明、公開的司法院跟法務部,未來這都是你們要執行的,你們樂見這樣一個修法嗎?直接用逕付二讀的方式,直接被表決通過,你們以後可能沒有機會了,因為一個月後就要表決了。

王副秘書長梅英:報告委員,司法院對這部分確實很疑慮,因為在重大刑案譬如說貪瀆、殺人等案件,因為公開播送是無遠弗屆的,被害人跟鑑定人他們很容易會被肉搜,或者是被威脅,一想到這個,他們就不敢到法庭;還有,可能有心人士會利用這一種公開播送去製造輿論、全民公審,這一些事情都是不利於公平審判。

吳委員思瑤:反而就是會假透明、公開之名來行使妨礙司法公正、干預司法,影響他獨立辦案,都會有這些負面的效果。

王副秘書長梅英:是的。還有一點,而且這是比較難以防治的,就是只要一公開播送之後,這個資料要怎麼收回跟管制,是很困難的,現在自媒體很發達,影音的部分,可能經當事人會惡意的剪輯然後予以不當的濫用……

吳委員思瑤:是,沒有錯。

王副秘書長梅英:事實上,以前我們都研議過,就是說……

吳委員思瑤:2017年確實司改國是會議有這樣子的討論,但是之所以這麼多年沒有辦法全面去推法庭直播,就是因為學界跟實務界的意見分歧。

我們即使沒有辦法做到法庭直播,這幾年來落實司法資訊的透明、公開,保障當事人的權益,我們已經一再的就軟硬體去下手,所以這段時間以來,2017年法官協會就已經說了,公開審判不等於法庭直播,一定要三思啊!2025年法官協會很嚴正的聲明說,法院不是流量的秀場,直播並不是提升司法公信力的解方,反而會造成非常嚴重的副作用;女法官協會也發出了聲明,切莫、不要透過表決,直接讓這一個沒有社會共識的法庭直播倉促的上路,它是需要配套的;劍青檢改也發聲了,只有專制獨裁的中國,才會全面推動事實審的法庭直播。部長,現在全世界事實審的法庭直播,是不是只有中國?應當是吧?

鄭部長銘謙:這個是……

吳委員思瑤:北韓也是嗎?那一樣都是極權國家。

我最後就以只有中國在推動事實審的法庭直播來談,因為在司法欠缺獨立審判的中國,它透過這種公審,就是一種公審的大秀,它可以利用司法的公審大秀來達到它的政治目的,能夠用此來恫嚇人民,進行政治宣傳,所以臺灣要向中國學習嗎?臺灣要向毫無司法獨立審判的中國學習、跟進嗎?我希望未來我們還有機會好好討論法庭直播這個議題,否則在523號已經逕付二讀;623號,司法及法制委員會委員會中心主議被沒收、被踐踏,我們這些專業的司法及法制委員沒有機會在這裡就教於你們,沒有辦法跟法界、實務界討論了,直接就用表決來決定了。

我希望司法院跟法務部,你們要站在你們能夠擁有的倡議力量,去讓社會知道公開、透明不是全程直播,尤其在法院,我們除了對於公共知的權利的公益權的捍衛,我們更要確保訴訟當事人、參與者的權利。我要提醒你們,不要認為立法院表決是立法院的事,以後都是你們司法人員要來承受莫大的壓力,整個司法公正可能會受到莫大的影響跟癱瘓。不好意思,我占用多一點時間,只剩下一個月不到的時間,立法院就要強行表決了,絕對是非常serious的事情,我在這裡予以提醒,謝謝主席,謝謝大家。

主席:謝謝。剛剛我跟衛福部呂次長要的那個東西,我那個時間講錯了,因為我們上個禮拜就發文給你們了,且我跟你們說兩個禮拜,兩個禮拜是從上個禮拜就起算,所以這禮拜要麻煩你們給我,因為那個資料應該不會很難,我們上週就發文過去了,再麻煩次長,謝謝次長。

我們現在依照剛剛的宣告,休息5分鐘。

休息1119分)

繼續開會1126分)

主席:我們繼續開會。

下一位請林月琴委員發言。

林委員月琴:1126分)主席,麻煩請呂次長跟矯正署署長。

主席:請次長及矯正署署長。

呂次長建德:委員好。

林委員月琴:兩位早安。我先請教署長,我在4月初有針對少年矯正輔導的議題質詢過,也跟矯正署索取書面報告,今天剛好衛福部也有人來,所以我希望能夠針對逆境方案跟兩位再做討論。

逆境方案目前仍然是定期性的計畫,第一會期的時候保護司曾回復我會朝向長年期計畫規劃,可是現在實務上還是有很多意見都指出,因為社工是方案委託,不具有法定權限,在執行少年跟家庭處遇工作的時候,常常因為沒有權責,所以會處處碰壁。今天我特別要提出兩種類型,就是失蹤兒少跟司法矯治少年的部分。

首先想問署長,目前各校的訪視時段是不是有統一的規劃?每個月的名額是不是依照學生的數量進行調整?

周署長輝煌:跟委員報告,針對少年的部分,從他入校之後,我們原則上三個月內會做一些相關的調查,包括他有沒有需要做一些家庭支持,但是他在……

林委員月琴:三個月內嗎?

周署長輝煌:少年出校之後一年內,我們會做後追,這個後追可能是針對包括將來他的就業、就學,或是有些就醫、就養的問題,我們會做一些協助,提供一些平臺資源的挹注。

林委員月琴:署長,事實上在上次質詢的時候我就有提過訪視空間跟機制規劃不夠友善的問題,矯正署也有回復我書面報告,但我還是認為實務上遭遇的困難無法透過矯正署說的「充分聯繫」來解決,我認為需要有個明確的機制,才會有效改善問題。不然像敦品,你剛剛提的好像很不錯,好像都有考量到時間性,可是每個月甚至無法讓每一個學生都能夠至少有一次的訪視機會。在2022CRC被國際委員審查的時候,他的主席Duke也講說,一定要有比較多的時間讓他們跟家庭有互動,甚至跟社工有互動,未來歸復社區的可能性才會比較高。可是你們這樣的情況,像敦品,每個月甚至都無法讓每一個學生有至少一次的訪視機會,更不願讓家長委託社工寄送零用或者是會客菜,這個問題必須要儘快解決。署長,你可以承諾這個問題要去處理嗎?

周署長輝煌:是,報告委員,上次委員提出質詢後,我們回去有請少矯校及相關單位做改進,我們所知道的是,有一些社工可以透過公務接見,我們都會配合來做相關時間的調整,還有在空間方面提供比較合適做一些輔導的地方,這個部分我們都有在努力改進當中。

林委員月琴:你這邊處理完之後,如果有確定要這樣做的話,是不是可以給我一個書面報告?

再來我想問次長,目前逆境社工在失蹤兒少的收案及聯繫的處遇上,是否對各縣市的結案指標都有掌握?從地方政府單位收案後,是不是能夠充分掌握失蹤兒少的相關資訊?整體的服務過程需要多久?

呂次長建德:報告委員,我們現在都有一個定期聯繫的機制,包括跟矯正署這邊,另外還有一個是對地方政府在整個權責上的督導,我們都有一個協調機制。

林委員月琴:因為我現在聽到的實務狀況是,你剛剛講的只是有機制,可是我問的是時間,甚至結案的指標有沒有掌握,因為各地方政府從接獲家長報案,甚至轉介到進案、到派案的時間都不一定,有的可以快速的在一週內派案,有的卻要將近三個月的時間,我認為這個時間間隔不應該這麼久,因為這段時間兒少的狀況恐怕會有很大的變化,也可能會造成非常的危險,而且對於收案的逆境社工來說,恐怕也沒有權蒐集到相關的資訊可以協助他去聯繫、處遇,本來是要派案由社工去處理嘛,而且沒有任何資源可以提供兒少協助,只能被動地接受這樣的狀況,甚至未開案的結案指標設計,部分單位因為失蹤兒少案家服務指引的規定,就變相認定如果一個月內找不到人,沒有辦法完成調查評估的話,就逕自結案了,有縣市是這樣做的耶,等個案出現時並不會重啟調查,尚須持續再通報,且順利在一個月內找到人的才能真正的做調查評估與後續的處遇介入,所以這部分我認為需要請次長去協助檢視跟精進各縣市執行時間的個案管理流程跟結案指標,這個可以承諾做到嗎?

呂次長建德:報告委員,非常感謝委員剛剛所點出的這些問題,我覺得這個如果超過三個月,確實會有空缺……

林委員月琴:對,你看有的快到一週,有的是事實上要到三個月,我覺得這落差真的很大。

呂次長建德:是,沒錯。

林委員月琴:甚至有的一個月找不到人就結案,有的是找不到人三個月才結案,各縣市的作法不太一樣。

呂次長建德:瞭解。

林委員月琴:最後,我上次也有提到兒少精神醫療資源的問題,法務部也很誠實的回復我,目前的困境在於我們醫師員額的稀缺,導致目前合作的健保特約醫療院所無法真正讓所有矯正學校能夠全面配置專科門診,所以想問署長,這部分矯正署後續打算要怎麼處理?

周署長輝煌:我們會跟衛福部隨時做溝通聯繫,並儘量去做改善,以保障這些少年的權益。

林委員月琴:目前衛福部也有推動「嚴重情緒行為身心障礙者精神醫療就醫障礙改善計畫」,我知道今天心健司的專委也有來,也麻煩你們提出書面報告,說明目前跟矯正學校合作的整個配合狀況是什麼,是不是有做外展服務以及目前的推動進度。

最後,當然就是我對於少年輔導服務的主張,第一個是可不可以完善各校訪視機制?上次已經有質詢過,有沒有一個明確的流程跟配套,提供少年跟家庭處遇工作的具體支持?否則一旦他出了社區,從高結構走到低結構的話,沒有辦法讓社工在社區接得住小孩,我覺得藥頭跟幫派比我們搶小孩搶得更快。第二個是全面檢視跟精進各地方政府處理失蹤兒少的個案管理流程跟結案指標設計,這就要麻煩次長了。第三個是快速布建兒少精神醫療資源,加強跨單位的合作,這就要再麻煩兩位了,請問兩個單位是不是在兩週內都可以給我書面報告?

呂次長建德:委員,我們回去會趕快準備,然後提供給委員。

林委員月琴:好,謝謝次長、謝謝署長。

呂次長建德:感謝委員,謝謝。

主席:謝謝。

下一位請張啓楷委員發言。

張委員啓楷:1135分)謝謝主席,請司法院王副秘及法務部鄭部長,還有衛福部呂建德次長。

主席:請王副秘、鄭部長及呂次長。

王副秘書長梅英:委員早。

主席:法務部的黃次長要上臺嗎?

張委員啓楷:不用。

主席:好。

張委員啓楷:黃次長順便留著好了。

剛剛發言的吳思瑤又再吳造謠了,他竟然說苗博雅當證人來北院開庭的時候,有民眾黨的民眾攻擊他,有嗎?民眾黨的群眾跟支持者、小草都在對街,根本碰不到證人,有這個事嗎?有嗎?吳思瑤又再造謠了嗎?

陳委員培瑜:都在問個案!

張委員啓楷:有嗎?你對我們民眾黨這麼嚴重的指控,是不是要鄭重澄清?

第二個,他那天去幫柯文哲講了不少話啊,包括看見光碟的時候,他直接講啊,那個呈現的,他說柯文哲市長不是一個會亂搞的人,我們很多民眾黨的人不只沒有攻擊他,還讚美他,幫柯文哲講公道話,還柯文哲清白啊!吳思瑤不要再造謠了!

吳思瑤剛剛還造謠,他說全世界法庭直播只有中國,是這樣嗎?美國沒有嗎?美國沒有的話,怎麼會有強尼戴普的那個世紀大直播呢?英國也有啊!加拿大也有啊!上次我都已經打臉他了,他說直播要花掉六百多億,是六百多倍的這個謊言吧!我們立法院的直播,你看,大家每天都在看,我們大概一年就是1億嘛,上次我已經拆穿他的謊言,今天還來造謠說只有中國大陸有,那強尼戴普那個大世紀的直播是怎麼回事?美國有啊!英國有啊!更重要的,我們為了這個事情做過兩次的大型民調,大型的民調喔,都是超過七成以上贊成的。而且以前蔡英文的司法國是會議已經通過了啊,他今天是怎麼樣?吳思瑤打臉蔡英文是不是?現在不是表決的問題,我們也可以充分的討論,可是請不要一直造謠!

我今天要來談剴剴案,讓人家痛心的剴剴案,這個事情讓人感到悲痛的是,一個才一歲半的小孩受到那樣的凌虐,結果呢,現在社會除了悲傷之外,有去補破網嗎?我去看了所有的資料,我們的虐童事件越來越多,然後每次判的刑度都越來越低,這樣的司法會讓民眾可以信任嗎?所以我們要回應民意,不只是很多民眾上街去抗議了,高達14萬人連署喔,要求增加虐兒致死的刑度到死刑,今天台灣民眾黨也提出了修正動議,我們要求增列,以後如果虐兒致死,要增加死刑。剛剛部長說法務部最近會提案,也是往這方向走,對不對?

鄭部長銘謙:這個部分,凌虐的話,應該重點不是在這個,如果以凌虐的方式來達到殺人的目的,這部分我們認為在立法的選擇上可以再增訂加重的處罰,因為凌虐的部分,有些是有傷害,有些單純沒有造成傷害,有些是要達成殺人的一個結果,我想對於致死的部分,我們都可以來研修、來考量,廣納意見……

張委員啓楷:對,上禮拜的公聽會,還有今天部長的回答,看起來是往這個方向在走啦,我們希望早一點落實,我們不允許虐兒的事件越來越多,然後刑度竟然是越來越低的,我們一定要盡力去矯正。

另外,我來幫吳宗憲主席問一下,宗憲委員上個禮拜527日在司法及法制委員會當庭告發公務員涉犯刑法第一百二十九條的抑留剋扣罪,宗憲委員那天直接跟法務部當場告發了嘛,對不對?這個很嚴重是因為行政院違法亂紀,違反了三大法,第一個,財政收支劃分法已經規定了今年度的補助款不能比去年低,結果砍了636億,當然就比去年低,這就違法啊!第二個,我們在立法院審的時候也清清楚楚講,只有對中央跟所屬機關,根本就不能去碰到地方的事情,結果竟然也去砍了。第三個違法,去年8月就已經要各個縣市政府編預算了,編完之後,各個議會也都通過了。三大違法!違法亂紀!更嚴重的是觸犯了刑法第一百二十九條的抑留剋扣罪。宗憲委員上禮拜已經當場告發了嘛,現在辦了嗎?

鄭部長銘謙:這個已經函請臺高檢署來處理了。

張委員啓楷:處理中了?

鄭部長銘謙:對。

張委員啓楷:OK,這個事情要快辦,因為這個影響很大,砍掉的預算是各地方政府中跟人民的社會福利有關,牽扯到很多長輩跟小孩子的福利,還有教育費用跟基礎建設,那個影響太大了,這件事情要快點辦。

另外,再問你一個不要雙標的問題,監察院秘書長李俊俋請辭之後,法務部現在辦了嗎?

鄭部長銘謙:這個部分有告發了,跟北檢告發了,這部分臺北地檢署有在偵辦中。

張委員啓楷:今天的新聞說你們在偵辦,你們現在是在調那個里程數。部長,我問你一下,你們最近大搜索、大收押背信罪,跟現在李俊俋碰到的這個事情,他這個應該是背信跟侵占嘛,對不對?

鄭部長銘謙:這個可能有涉及到這部分的一個情形,當然,以前的公車私用可能有偽造文書、侵占、詐欺、背信等等,但是到底有沒有,這部分北檢在偵辦中。

張委員啓楷:司法的天平不能夠傾斜,不能雙標嘛!我剛剛就是問一個最簡單的問題,一般民眾一定問你啦,你在大搜索跟大收押的偽造文書,相比李俊俋這邊的侵占跟背信,哪個罪比較重?

鄭部長銘謙:他們的法定刑是一樣的,最高刑是一樣的。

張委員啓楷:對啊,刑責這邊一定比較重嘛,結果比較輕的這邊已經大搜索、大收押那麼多人了,這邊現在看起來是輕輕的,到現在還在查那個里程數。

鄭部長銘謙:檢察官就是依他的偵查計畫啊,這部分我沒辦法去干涉、指導、介入嘛……

張委員啓楷:你不用干涉啦,就是說……

鄭部長銘謙:這就是個案……

張委員啓楷:不要讓民眾很清楚感受到你是雙標的,不要雙標,不要碰到民進黨的就轉彎,一個是雙標嘛,不要碰到民進黨就轉彎嘛,標準就是要一致,我跟你說,你的天平傾斜的話,民眾就會看得到嘛!

好啦,老實講,我們一直在強調司法是人民很重要的正義防線,這段時間的民調這麼低,我已經苦口婆心提過好幾次了,我覺得大家長……

鄭部長銘謙:我們也是希望給司法一個純正的辦案空間嘛,包括偵查、審判都是一樣,所以……

張委員啓楷:對,部長,辦案空間一定是會的,全民都會支持,立法委員一定會支持……

鄭部長銘謙:純正的辦案空間,所以……

張委員啓楷:不過不要讓人民覺得你是雙標,碰到民進黨就轉彎,民調已經那麼清楚的跟你講,那麼多民眾也已經上街頭了,我們都有歷史定位啦,你現在是一個大家長,我覺得你要留下好的歷史定位,加油!謝謝。

主席:謝謝。

下一位請蘇清泉委員,蘇清泉委員、蘇清泉委員。

再下一位請陳培瑜委員發言。

陳委員培瑜:1144分)謝謝主席,先有請司法院及法務部,謝謝。

主席:麻煩副秘還有部長。

陳委員培瑜:針對剛剛張啓楷委員的造謠,我要公開地說,在519號台灣民眾黨中央組織部的臉書上面寫著:集結令!一場苗頭不對的司法對決,正式開打!第二張圖卡上搭配的文字就是「520()早上1000台北地檢署站出來!」這個是你們民眾黨自己的臉書,你可能……

我要回到我自己的議題上。在立法院這一年感覺很大的辛苦就是別人只要一直潑髒水,我們要一直說道理。謝謝你們,我非常好奇主席為什麼一直在排相關的議題,從發起公投、辦公聽會到現在專題報告,既然要談死刑,我們就來好好談一談。

第一個,我想要問的是,沒有廢死,何來實質廢死?我想問兩位,就你們的法律專業,我下的這個標題有沒有問題?我認為既然臺灣現在沒有廢死,何來所謂實質廢死!

王副秘書長梅英:大法官在憲判字第8號判決主文就宣示了死刑並不違憲。

陳委員培瑜:我們再來往下看。事實上,在臺灣,從中華民國刑法立法以來,一直到目前為止,從來沒有一天有廢除死刑,請問我以上說的是對的嗎?是?113年憲判字第8號判決也認定所謂的死刑是有條件合憲,也就是並沒有違憲,而合憲的條件,意思就是我們要慎重,因為死刑沒有try and error的空間,以上的論述對不對?

王副秘書長梅英:是。

陳委員培瑜:如果是這個論述,我們現在看到藍白還有意見的一致決,我認為如果放在憲判的主文裡面,也就是說,這個是憲法解釋的核心見解。憲判解釋出來,我們可不可以認同它為憲法的高度?好,沒有錯。

這一年在立法院很辛苦,我們得一直說道理,我們就來好好說。以下我要請問法務部,我的問題非常非常簡單,其實答案也都已經公布了。我跟法務部做事實確認,在113年憲判字第8號判決之後,部長,我們在今年年初是不是仍然有簽准並且執行死刑?你只要告訴我Yes還是No

鄭部長銘謙:有,在今年116日有執行。

陳委員培瑜:也就是說,憲法法庭判決的結果,並沒有影響到死刑的執行,法務部依然可以合憲的執行死刑,對不對?

鄭部長銘謙:依法執行。

陳委員培瑜:沒錯,我剛剛說依法執行,謝謝部長。

我想要再跟你做另外一個事實確認,你們在今年年初做了一件事情,叫做修正死刑執行規則,而且看起來整個方向是變得更嚴格,意思就是說,原本死刑有很多暫緩執行的條件跟聲請,但是你們讓暫緩聲請跟執行變得更嚴格,對不對?

鄭部長銘謙:變更加合理,因為從109年執行死刑規則修訂之後,各界聲音很多,我們辦了4次座談跟各界的意見來對話。

陳委員培瑜:必須跟國人交代的是,你們的修正並沒有朝向寬鬆,甚至沒有朝向廢死的方向處理,這是我的解讀,對嗎?

鄭部長銘謙:是,這是更合理的方式。

陳委員培瑜:也就是沒有變得更寬鬆,沒有變得要廢死,對嗎?

鄭部長銘謙:沒有要廢死。

陳委員培瑜:好,我再次強調,因為現在有很多輿論跟論述,我認為是在導向錯誤的論述,所以公開質詢,也謝謝您剛剛的回復,我們並沒有往這個方向走,對嗎?

鄭部長銘謙:這是更合理,因為遵照相關法令也配合大家的想法廣納意見,能在執行死刑上更合理。

陳委員培瑜:我們來看這個新聞,在憲法法庭判決結束之後,仍然有地方法院做出死刑判決。我再強調一次,這是在憲判法庭作出判決結果之後,而且這是聯合報的媒體寫了「釋憲後首判死理由曝光」,我剛剛的論述跟您的回答是一致的,也就是說,憲判後的死刑判決依然在進行,而且從來沒有停止。有關廢除死刑這件事情,如果我們剛剛講的一切都是對的,怎麼會現在有人在炒作所謂實質廢死,您怎麼看這個事情?

鄭部長銘謙:自從113年憲判字第8號判決出來之後,事實上有兩件,包含勒殺馬來西亞籍女生,二審是判有罪;另外高雄地院審理惡鄰吳姓被告,他把鄰居夫妻殺死,這件一審也判死,這都是在憲判字第8號判決之後的判決,可見這部分有實務上兩個死刑判決的案例。

陳委員培瑜:謝謝部長說明的很清楚。接下來我想請問司法院,我們不要就個案來評判。請問司法院,你們認為在憲法法庭判決之後,法院所作出的死刑判決是合理的嗎?我不是說個案這樣判,而是我們本來就可以繼續作出死刑判決,對不對?

王副秘書長梅英:是,在憲判字第8號下所要求的,不管是程序或是實體的檢驗上面。

陳委員培瑜:好,兩位講得都非常非常清楚。我們來看下一頁,這是我剛剛提出來的聯合報報導新聞案件,高雄地院的判決,我還有附上判決字號,大家有興趣可以自己去查,在這個判決當中,就明確地記載了憲法法庭判決的內容,甚至他提到憲法法庭判決的見解當中,認定死刑是合憲的,但是因為相關資料太多,我就不再贅述。

我想要請教兩位,既然憲法法庭判決認定死刑是合憲的,而在憲法法庭判決過後,如同我們剛剛對過的資料,法院可以繼續判處死刑,而法務部依然可以簽准死刑,還有我們也都去調整了相關的死刑規則,怎麼會繼續有實質廢死這樣的言論?我真的覺得很莫名其妙,我認為扯出這樣的言論,真的是法盲、理盲、邏輯盲,怎麼說?我想問,之前藍白修法,修了憲法訴訟法,加高了門檻,讓大法官人數不足,我可不可以說藍白是實質癱瘓憲法法庭?好,你們微笑沒關係,這是我個人的見解。我認為,如果我們今天在立法院要理性認真的討論這個事情,我是不是也可以這樣說?當然這是我的見解,我就不讓你們回答,我只是說這件事情,我們確實需要跟國人有更多的溝通跟討論。

死刑一致決不是重大政策,可是藍白繼續裝睡叫不醒,甚至在禮拜二的程序委員會當中,我們看到藍白提出行政訴訟。過去我們針對這個案子,其實民進黨委員都努力地論述,我們一直提醒這個案子有問題,我剛剛已經提醒了,公投出來的結果,它是法律位階,可是憲判法庭的判決是憲法位階。一個國中生的公民課上完以後,他應該都會知道憲法跟法律位階是截然不同,絕對是憲法的效力高於法律的效力,對嗎?我認為這是一般國中生都會知道的事情,可是如果我們來看臺灣在過往曾經實行過的公投,還有釋字第748號關於同婚的解釋,還有後續很多人提出的反同公投,其實已經示範過一次,我認為藍白是忘記了,或是不敢想起來,我不知道,但我們真的認為他們不聽就是不聽,創造出非常多錯、假的訊息,這件事情我認為非常非常的遺憾。

我想跟兩位討論,我認為是不是要廢除死刑,可以被認定是重大政策,可是所謂的死刑一致決,事實上已經涉及到比較技術性、比較細節的項目,它不會是所謂重大性政策,也就是公投如果我們要談的是這個事情,又回到創制或是複決,我認為都是有問題的。我想要快速跟兩位請教,你們怎麼看?好啦,我不要為難你們,我自己往下說,我剛剛已經說了,在禮拜二的程序委員會,我們看到這個提案,藍白相關提案被中選會打臉,我認為已經很丟臉了,可是更荒謬的是,現在還要提起行政訴訟,我自己也是立法院的一員,對於國人來說,不管藍、白、綠,我們都是立法委員,假設這個行政訴訟真的告下去了,然後我們也輸了,我們會怎麼丟自己立法院的臉?我其實現在還在想像那個可怕的境況,我非常非常擔心。

死刑這件事情,我上一次質詢的時候,或是之前在討論的時候,我就說慎重非常重要,人命關天這件事情非常重要,藍白很多荒謬事蹟,我都已經不知道過去做了十幾年親子教育的我,要怎麼去教家長,讓家長去教小孩。今天是六四,在中國今天沒有六四,今天叫做535號,沒有六四。我再說一次,今天在中國不會有六四,是535號,在臺灣有一群不敢面對的人,輕蔑人命、罔顧人命,不顧正義、不顧公正,很多事情到現在依然沒有說清楚、講明白,也沒有人對相關事情道歉,在臺灣就是白色恐怖,就是戒嚴,很多人的生命就此犧牲。相關的協商會議當中,我還記得有一次,我想要談這個事情,藍白就站起來走人了,我猜他們不敢想起來,不敢面對,今天談死刑一致決這件事,我想最後用這張投影片提醒大家,人命關天這件事情非常非常重要,不管你站在哪一方,我認為每一個人的性命都一樣重要,而慎重這件事絕對非常非常重要,再加上兩位剛剛給我的回答非常清楚,我們並沒有往那個路上前去,我們在憲法判決之後,相關案例還是有判處死刑,不僅可以簽准、可以執行,在臺灣這件事情,我們應該要繼續合理討論,以上。謝謝主席。

主席:謝謝。

下一位請王育敏委員發言。

王委員育敏:1155分)謝謝主席,有請法務部鄭部長。

主席:麻煩部長。

鄭部長銘謙:委員好。

王委員育敏:部長,我就直接問你一個問題,你贊不贊成凌虐兒童致死的最高刑度可以到死刑?

鄭部長銘謙:我想凌虐會致死,我們認為有很多的態樣,如果以凌虐的手段來當殺人的一個方式的話,我認為這個不是致死的問題,而是已經進入到殺人的範疇,我們認為未滿7歲的兒童被凌虐,而用凌虐的方式來殺人,應該要另外立法,要比第二百七十一條殺人罪更重的刑度,我們是沒辦法容忍這種行為,所以我們的態度是這樣,當然要修第二百八十六條也是可以來做研議。

王委員育敏:所以部長認為應該要怎麼修?我們就直接來談怎麼修,因為現在委員的版本有提第二百八十六條的,也有第二百七十一條的,但剛剛你說應該要訂一個比第二百七十一條更重刑度的。

鄭部長銘謙:我們研議這部分……

王委員育敏:如果是施以凌虐7歲以下幼童致死的話,這部分應該要放在哪裡呢?我相信你們一定有討論過,事實上,這個議題也不是因為最近的虐童案才受到關注,過去就有很多兒童受虐致死的案件,而我在立法院第八屆及第九屆的時候都有討論過,法務部一向是反對的,就是沒有想要增訂死刑,但這次的案件又讓民意再次沸騰,所以我相信部長也感受到強大民意的訴求,法律就是要服務人民嘛!如果我們現在想要去遏止這一種用凌虐的手段,導致幼童死亡的這一些加害者,讓他們知道在法律上必須付出相對非常大的代價的話,我認為這樣的修法就有其必要性,因為法務部一直說要研議,這個議題也不是現在才發生,你們過去就有研議過,我就直接請教部長,如果現行的第二百七十一條及第二百八十六條可能都不修法,而要另外再增加的話,在我們的刑法要加在哪裡?

鄭部長銘謙:我們有一個思考的方向,我們昨天63日及明天65日都要做刑修協商以及召開研商會議,目前把我們的想法……

王委員育敏:好,你說。

鄭部長銘謙:我們大概整個立法方向就是剛才我跟委員報告過的,對於未滿7歲的兒童,施以凌虐當作殺人的一個手段,一開始有基於殺人的意圖凌虐他而發生死亡的結果,這部分我們在打算是不是可以另外再立一條法條來做單獨及加重刑責的規定?

王委員育敏:就是另立一條單獨的條文。

鄭部長銘謙:譬如單獨條文,就像殺害直系血親尊親屬也是有加重的條文,是不是我們另外針對這殺人罪再加重刑責的規定?我們會朝這個立法的方向來處理,我想這部分可以更加落實保護我們的兒童。另外,有委員的版本是第二百八十六條要加重,這部分我們都尊重,我想這個條文我們會在刑修協商以及研商的會議上拿出來作一併的討論。

王委員育敏:你們什麼時候會有結果?因為事實上,如果大家都有共識……

鄭部長銘謙:上次委員會的時候,有委員要求我們在3個月內提出嘛!我們會儘快來處理。

王委員育敏:你是說你們明天就要再開另外一場會議嗎?

鄭部長銘謙:那個是法務部內部的研商會議,因為我們還要再預告,還要再報請行政院審查,這個期間我們希望能就上次委員會有委員要求我們在3個月內要提出來。

王委員育敏:這個部分我希望能快則快喔!

鄭部長銘謙:好。

王委員育敏:如果你們已經有共識,它可以用另立條文的方式,我相信這個是符合社會的期待,而且希望可以加速推動。過去在立法上面,不是說一定行政院可以審得多慢,要快的話,行政院其實也很快,我坦白講,只要法務部不反對,專家學者大家有共識,我想立法院也一定會支持,就像今天看到這麼多委員提出這麼多的版本,大家目標只有一個,就是我們不再容忍凌虐兒童致死的這一些加害者,他們以為這行為在刑法上是一個比較輕的刑度,他們以為國家的法律不會課予他們更嚴格的這樣刑責,就是這種僥倖的心態,我們絕對是沒有辦法接受的。

所以也藉著這樣的修法,讓大家有一個很正確的意識,幼童是我們每一個成人都應該去保護的,而不是去傷害的對象,如果有人用這一種傷害凌虐幼童的方式,而導致他失去生命,很抱歉!這跟殺人無異。他的刑責一定是跟殺人罪一樣,最高可以到死刑。我覺得如果臺灣透過這樣的修法,事實上也是正式跟社會大眾做一個很嚴正的宣告,保護幼童是大人的責任,誰都不應該去傷害。所以我覺得這樣的一個法義,如果透過再次的修法,可以很清楚的跟社會宣告的話,我相信對於未來制止或者防止下一個幼童被犧牲,這個應該會有很正面的效果。

部長,我很高興聽到你剛剛是有這樣一個初步修法的方向,但是我認為此事這個後面的程序……雖然你們之前說3個月內,但是如果你們已經夠成熟,大家也有共識,立法院也支持,這一次立法院的會議已經延到7月底,如果我們可以在7月底,在這個有意義的法案上面,我們既可以回應強大的民意,也能確保保護我們未來的幼童,國家跟刑法是站在一個更嚴肅的立場,我們願意全力去捍衛,我覺得這個是非常有意義價值的事情,如果可以,我希望你們儘快加速,這一次立法院已經延會到7月底,如果7月底我們可以通過修法,我相信對保護兒少來講是邁出了一大步,可不可以加油?

鄭部長銘謙:我們會加緊努力。

王委員育敏:好,謝謝部長。

鄭部長銘謙:謝謝。

主席:謝謝。

下一位請陳冠廷委員詢答。

陳委員冠廷:122分)請部長跟副秘書長。

主席:麻煩部長及副秘書長。

鄭部長銘謙:委員好。

陳委員冠廷:部長好。部長,其實剛才幾位委員都有問過關於死刑的議題,現在的司法制度是否還有死刑量刑的存在?我想這個就不用再問過一次,答案是有的。目前臺灣的刑法不僅有死刑的存在,而且在今年……剛才你也有回復已經有實質執行死刑的案例在,所以既然有死刑的存在,為什麼在野黨不斷的去推所謂的反廢死公投,這個有沒有在你心中有起過這樣的疑惑?

鄭部長銘謙:死刑是合憲的,在113年憲判字第8號,這部分我們也是合乎合憲以及合法的來執行死刑,這部分有執行的案例。另外,在憲判字第8號之後的這些案件,法院也有實際上判處死刑的案例,我想可以提供給委員,這部分媒體都有報導。

陳委員冠廷:對,請教副秘書長,類似這樣重大的這種憲政議題,你覺得這樣的議題是否適合用公投來決定?

王副秘書長梅英:有關於憲法法庭的那個判決,不管是依過去的大法官解釋,或者是明白在憲訴法第三十八條都規定,有關於這個判決是各機關都必須要遵守的。

陳委員冠廷:我們再回溯一下,憲法法庭在113年憲判字第8號的判決中,它對死刑的科處還有執行及設置的條件,不管我們對這個判決的內容有什麼看法,我們都必須要認知到憲法法庭是具有拘束全國各機關,它的位階是等同於憲法的,既然有作出這樣子的決議,這樣我們國家的法治基礎,我相信每一個從政者,他們都是要去捍衛這個核心價值。請教副秘書長,你認為「一致決」這項條件在執行上面有沒有困難?它合理性的部分,你可不可以跟我們分享一下?

王副秘書長梅英:這個部分沒有什麼困難,而且我們在評議中,其實都是互相說服及充分討論的一個很長的過程。

陳委員冠廷:我必須再強調,我支持死刑,我當然支持死刑!就是正因為我們支持死刑,我們要確保每一個死刑案件的判決,它是經過最嚴厲的、最嚴格的被檢驗,讓它的程序正義無懈可擊,這才是我們要努力的方向,不是推動一個違背法治會引發憲政爭議的公投。

我們知道在整個法律的效果上萬一有一個錯判的狀況的話,所造成的不但是正義得不到伸張,它造成的可能又是另外一個破碎的家庭。所以我們支持死刑,但是支持死刑的一個條件就是它要經過完整的程序正義,這一次不管是「一致決」這個條件等等,剛才副秘書長也有回應到,在法院那是一個互相把證據攤出來及互相對話的一個過程,當作有「一致決」這樣的決議的時候,才能夠確保我們判決的品質上是好的。所以既然支持死刑,我們就不希望有冤獄,我再次強調不可以有冤獄,要用謹慎的作法,我想這也是為什麼憲法法庭當初做出這樣的努力跟這種原則,是有它的必要性的。

王副秘書長梅英:是。

陳委員冠廷:我希望藉由這一次的質詢,讓民眾知道我們做這些,或者是我們在質詢的過程中,也是要讓民眾知道什麼叫做一致決的合理性,這個合理性不僅僅是保護受害者、被害者,因為我們要確保找到的是真正的肇事者或者是真兇等等,不同的情境、不同的狀況,所以更需要有完整的程序,有程序正義,才有這樣子死刑執行的能力。

王副秘書長梅英:是。

陳委員冠廷:好,謝謝。

王副秘書長梅英:謝謝。

主席:謝謝。

所有登記發言委員都已經發言完畢,詢答結束。委員質詢時,要求提供相關資料或以書面答復者,請相關機關儘速送交個別委員及本會。委員張智倫、林倩綺所提書面質詢,列入紀錄,刊登公報,並請相關機關以書面回復。

委員張智倫書面質詢:

1.虐童致死最高可判死刑?法務部態度反覆令人質疑

(1)法務部在516日針對公共政策網路參與平台的提議,回應卻是:「建議案不予採納,無後續規劃。」而在522日司法法制委員會的公聽會,法務部表示,將通盤檢討「凌虐致兒童死亡」是否修法增訂死刑,但司法院卻質疑此罪屬「加重結果犯」,不符死刑要件。

請問法務部鄭部長:針對516日針對公共政策網路參與平台的提議,回應「建議案不予採納,無後續規劃。」的依據是甚麼?又為何在522日公聽會釋出可通盤檢討修法增訂死刑的考量?兩者回應時間相隔不到一週的時間,法務部態度改變的原因是什麼?請說明。

請問法務部鄭部長:針對「增訂虐殺兒童罪條款」的修法,法務部的立場到底是沒有後續規劃、還是已在研議中?

請問法務部鄭部長:法務部目前研議方向,是修訂刑法第286條,還是另立專法?

(2)請問法務部鄭部長:如果現行法已可依殺人罪加重處罰,為何法務部還需強調研議「凌虐致死罪」增訂死刑?是否顯示司法實務上認定殺人犯意困難,導致處罰力道不足?

(3)請問司法院王副秘書長:法務部表示「最重可判死刑」,但實際上卻少有法官援用此一最高刑度,是否應明定在特定情節下(如意圖滅證、反覆虐待)「應處無期徒刑以上」以強化實務適用?

2.司法院反對凌虐致死罪加重至死刑,將如何取得修法共識?

(1)司法院認為「幼童凌虐致死罪」本質為「加重結果犯」,不符憲法釋字對死刑的嚴格限制。

請問法務部鄭部長:法務部是否認同此一法律見解?

請問王副秘書長:如果不同調,如何形成一致修法版本?

(2)請問法務部鄭部長:是否考慮設置「兒虐致死特別條款」,排除加重結果犯架構,直接納入故意殺人論處,以符合司法院釋憲要求並彌補制度漏洞?

3.既有法條不足導致體系失衡,是否考慮建立「兒虐重罪專章」?

(1)司法院跟法務部都提到「法律體系失衡」,但多數民眾無法理解為何打小孩打到死,不算「最嚴重犯罪」。請問法務部鄭部長:是否應透過專法,明定對特定年齡以下兒童之施虐、致死、意圖滅證,適用更高量刑度?

(2)請問法務部鄭部長:法務部強調「廣納意見、審慎評估」,那是否可承諾於一定期限內(如半年內)提出修法草案版本或具體方向報告,回應社會關切?下會期可以提出修法草案嗎?

委員林倩綺書面質詢:

案由:本院林委員倩綺,鑑於113年憲判字第8號重申不得對精神障礙或心智缺陷者判處死刑,並強調執行階段之受刑能力需經精神鑑定評估。此一見解雖立基於人權保障,卻也實質提高死刑執行門檻,並對司法精神醫療體系提出更高要求。為確保我國司法與醫療體系得以承接憲法法庭標準,避免制度斷裂,特就下列事項,向衛生福利部提出質詢:

一、關於113年憲判字第8號對精神鑑定與收容制度之衝擊

113年憲判字第8號,對於執行時雖未達心神喪失程度,然有精神障礙或心智缺陷,致對死刑判決理由與執行目的理解能力不足者,亦不得執行死刑。此舉雖呼應兩公約對精神障礙者人權保障之要求,實務上卻可能出現以下風險與挑戰:

()被告主張精神疾病之情形可能日益增加,進一步使法院在死刑判處上趨於保守,產生「患病即免死」之社會觀感風險

()司法裁判若更依賴精神鑑定結果,可能導致司法精神鑑定體系壓力大幅上升

()因此途徑避免死刑者若需長期收治,對收容處所與後續處遇機構造成實質負荷。

二、衛福部目前之因應作為與未來規劃

()113年憲判字第8號判決後,貴部是否已通盤檢討並預估未來死刑案件中精神鑑定需求與精神醫療收容處所容量之變化?

()目前全國「司法精神病房」設置情形為何?數量與區域分布是否足以因應未來實務需求?

()「專責司法精神醫院」之設置目前規劃進度為何?是否有具體時程?目前相關預算編列與支用情形為何?

貴部若未及早因應司法實務變化,將導致司法精神醫療體系不堪負荷,不僅可能造成無法收治、延誤鑑定、鑑定品質不定之個案困境,更將影響社會對司法制度與公共安全的信賴與支持,請貴部就以上所述之質詢事項提供回應報告予本席。

案由:本院林委員倩綺,鑑於死刑制度在我國尚存,惟實務上對於「教化可能性」與「賦歸可能性」之判斷仍缺乏一致標準與專業支持機制,且113年憲判字第8號所要求之程序保障,對司法量能與法律扶助體系亦構成挑戰,為確保量刑公正、回應社會期待並強化法治信賴,特就下列事項,向司法院提出質詢:

一、關於「教化可能性」評估標準之主觀性與不一致性問題

刑法第57條第5款、第6款及第10款所列之「品行」、「智識程度」、「犯罪後之態度」等因素,實質均與「教化可能性」密切相關。然而,現行量刑理由書常以片段描述、抽象語言為據,僅依教育程度、偵審態度等作出推論,未見明確、客觀、制度化之評估機制。以下幾點就教於貴院:

()多起重大矚目案件最終因「仍有教化可能」判處無期徒刑,是否可能造成司法信賴危機?

()目前各級法院是否已有統一之「教化可能性評估」指引或標準?

()是否設有足夠心理鑑定、社工調查等專業輔助制度?

()審理過程中是否有實質聽取並反映被害人家屬之意見於判決中?

二、關於113年憲判字第8號之實務影響與教化標準之檢討

113年憲判字第8號要求死刑判決須由合議庭一致決,雖有其程序正義意涵,然倘「教化可能性」與「賦歸可能性」等關鍵評斷標準本已缺乏客觀依據,是否反致死刑成為「幾近不可能的裁判」?以下幾點就教於貴院:

()貴院是否已就該憲法法庭判決之相關實務衝擊進行研究或評估?

()是否規劃透過案例研討、量刑評鑑等方式,釐清「可教化」與「法官恣意」的界線?

()司法實務應如何在保障人權與回應社會信賴間取得平衡?

三、關於法律扶助資源之制度性依賴與財務永續問題

113年憲判字第8號亦表示死刑第三審應有強制辯護之適用,恐進一步將壓力轉嫁至法扶資源。根據資料,近10年司法院對法扶之捐助幾乎年年遞增,累計增幅已達66.74%。對此,有幾點就教於貴院:

()法扶是否已逐漸形成對貴院補助之制度性依賴?

()去年度貴院為解凍預算,承諾將督導法扶研擬開源措施,請問目前辦理進度與具體成效為何?

()如無具體成效,貴院是否有設定推動時程與追蹤機制,以確保承諾落實?

死刑不應濫判,但不判亦需能說服社會。若無清楚標準與制度支撐,任由主觀認定橫行,終將削弱法治根基。敬請貴院正視實務困境,提出具體改革方向與期程,以回應社會對公平審判與司法公信的期待,並針對以上所述之質詢提供回應報告予本席。

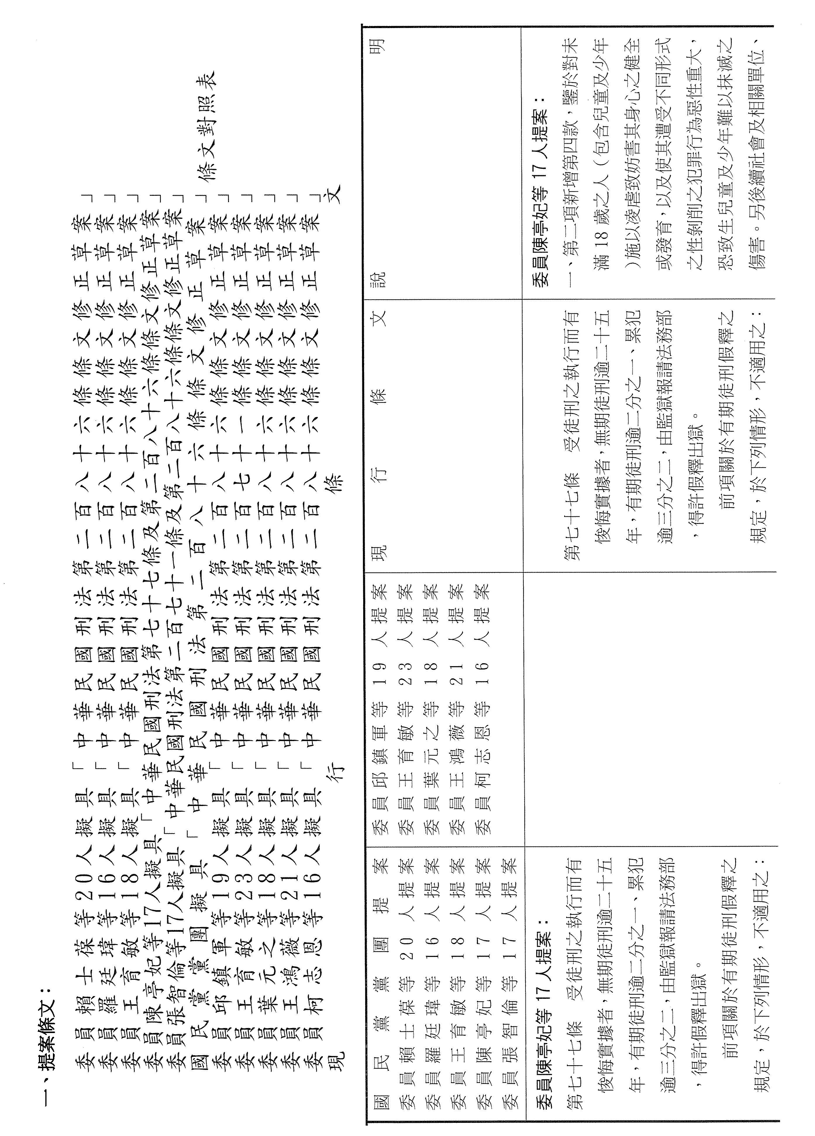
主席:現在進行討論事項,請議事人員宣讀提案條文,預估宣讀時間為3分鐘。如有修正動議或附帶決議提出,請儘速將書面送交主席臺,以利印發現場進行討論。審查法案時,請主要列席機關代表移至主席臺正前方首長席的位置就座。宣讀時,如有已收到的修正動議亦一併宣讀,宣讀後即進行討論。

請宣讀條文。


DrawObject1

二、修正動議:

主席:條文已經宣讀完畢,現在進行討論。

請問在場委員,本案是不是要進行大體討論或直接進入逐條審查?

王委員鴻薇:逐條。

主席:進入逐條?好,大家沒有意見,我們就進入逐條。

我們併案審查中華民國刑法第七十七條、第二百七十一條及第二百八十六條條文修正草案,繼續進行逐條討論,本案係部分修正,總共計處理三條,我們先審查排序一的第七十七條,有委員陳亭妃等17人提案,因為陳委員沒有在場,請問各位委員有沒有意見要補充或要提出的?好,莊委員,有關第七十七條排序一的部分。

莊委員瑞雄:從第二百八十六條嘛?

主席:報告莊委員,是排序一的第七十七條,今天總共處理三條,第七十七條、第二百七十一條,還有第二百八十六條,目前處理第七十七條,以上。

莊委員瑞雄:先讓別人發言。

主席:好。

請問一下,第七十七條的部分有沒有人要提出意見?好,黃委員。

黃委員國昌:第一個,我先表達一下立場,我是希望啦!再拜託召委,就下一次有空的時候,針對不得假釋的無期徒刑這一種刑罰選項的條文,可以由委員會來加以排審,因為現在在處理的這個條文,就大家關心的事情,它是在第七十七條裡面另外再多一個例外,提案的委員也沒有來,我們還有需要去處理這件事嗎?

莊委員瑞雄:我看也不用啦!因為第七十七條是綁第二百八十六條,其他委員也沒有,應該也可以來聚焦,因為提案人也沒有來啦,我倒覺得可以……

主席:不予修正嘛?

莊委員瑞雄:不用啦。

主席:好。請問其他委員有沒有不同意見?

王委員鴻薇:沒有。

主席:好,本條就不予修正。

另外,我回復一下剛才黃國昌委員的問題,因為其實今天我也有去思考到無期徒刑不得假釋,我們今天先暫時不討論,我的想法是因為有關無期徒刑不得假釋不是只有一、兩個條文的問題,它其實連動的條文非常多,甚至還跟行刑累進處遇條例都會有關聯性,這個牽動非常的重大,因為我看到有一些委員的草案,單就無期徒刑直接就分級了,他沒有考量到連動的條文,因為我們希望更慎重的處理這件事情,所以我才會今天刻意排除掉無期徒刑在今天來討論,因為光這個議題,而且這是幾十年的大議題,所以這個部分我想再更加嚴謹的處理,在這邊先跟黃委員報告一下這個狀況。

黃委員國昌:好。

主席:好。接下來我們處理排序二的第兩百七十一條,有委員張智倫等17人提案及委員王育敏等23人提案,請問在場的提案委員有沒有要說明?好,王委員。

王委員育敏:我提出來的第二百七十一條主要是因為之前修第二百八十六條,法務部也一直反對,所以我們就想直接在第二百七十一條直接殺人罪這邊可以再增加,就是凌虐兒童致死,一樣最高可以到死刑。剛剛法務部有說明他們要再另立一個法條,剛剛部長回答我的時候是說他們要再另立一個新增的法條,我的原則是無論定在第二百八十六條或第二百七十一條,或者是法務部要另立一個新的法條,我就是希望朝野大家共同支持,如果是凌虐兒童致死,最高可以到死刑,這個大家有共識可以往前進,修在哪一條,我都可以接受,以上,謝謝。

主席:還有沒有其他委員要補充?好,莊委員。

莊委員瑞雄:我在還沒有進入逐條,在大體討論時講的意見幾乎也不會差別太大啦,但是我在這邊也再做一個提醒,就是剛主席也提到的,法條涉及到一個連動性,連動性的話,你說你就沒有一併處理了,可是就像我今天在質詢提到的,我們把兩公約內國化了以後,變成一個國內法,變成一個國內法之後,我們在這個地方把它增訂一個死刑,會不會跟兩公約裡面有提到不能去增訂新的死刑這樣的一個原則有所牴觸?我想這個部分,也請大家一併來做思考啦。

主席:是,謝謝莊委員。還有沒有哪位委員要提意見?黃委員。

黃委員國昌:請教一下法務部,你們說要另立一個條次,立法技術的部分先放旁邊,你們可能是覺得在普通殺人罪裡面,針對有關於殺人的手段,不要另外用項次來加以規範,因為我現在看到兩個委員的提案,就除了一般我們在講的故意殺人罪,針對有關於殺害的手段,前面再加一個以凌虐的方式,我們先把立法形式跟立法技術的事情放到旁邊,就討論實質的問題,因為就立法技術跟立法形式的問題,法律人或許很在乎,但我必須老實跟法務部講,人民根本不在乎,人民在乎的是更實際的事情,所以我們以實際的事情來加以討論,先不管你贊不贊成在第二百七十一條裡加最後一項,或是要用第二百七十一條之一,或者是在第二百七十二條之後用第二百七十二條之一,我先不跟你討論立法形式的問題,以實質內容來講,法務部對於委員所提出來的這個條文支持、不支持?還是有更好的處理方式?這是我的第一個問題。

第二個問題,針對無期徒刑不可以假釋的部分,在立法上,法務部認不認為刑法總則沒有修,在刑法分則就可以明定?還是一定要刑法總則一併修,不可以單純的透過刑法分則的修訂來處理?這是根本的立法政策問題。以張智倫委員提案條文的實質內容來講,他認為在這種情況下的無期徒刑不可以假釋,等於是呼應法務部之前在大法官莫名其妙做出憲判8以後,表示針對一些特殊殘忍的事情、針對一些特定的犯罪類型,法務部要推動不得假釋的無期徒刑。法務部雖然說法案已經提給行政院了,但按照以前既往的經驗,包括現在進行式,法務部提給行政院的東西非常容易石沉大海,研議7年以上出不了行政院也不是沒發生過,而且還是經常性發生,所以我們現在很怕聽到行政院在研議中,因為研議就不曉得要研議幾年,研議到2032年以後再來處理嗎?所以第二個問題,刑總不修,直接針對刑分裡的特定犯罪類型,在殺人罪裡面加了一個殺害的手段是以凌虐方式,等於是針對完全沒有自我保護能力的人,用殘忍方式把他殺害,這符不符合之前法務部對臺灣社會所宣示的那種重大殘忍案子,而你們也要推動不得假釋的無期徒刑?這是我的第二個問題。

我先跟召委報告,我覺得法務部的立場還是要講清楚,因為今天要修的第二百七十一條跟第二百八十六條雖然有關聯,但它們還是屬於不同型態的犯罪,第二百七十一條還是嚴守兩個全部都是故意犯的狀況下;到第二百八十六條就進入深水區,就是現在很多公民團體要求的虐童致死的部分,他們認為應該要進一步的加重刑罰,但我們一步一步來,就第二百七十一條的部分,先請法務部表達立場。

主席:因為第二百七十一條的部分畢竟他殺人是故意的,而第二百八十六條死亡的部分是過失,所以兩個還是有一些差距,就是剛剛黃委員所提出來的,這也是我們之前質詢時一直提出來的點,是不是請法務部加以說明?謝謝。

黃次長謀信:主席、各位委員。回答委員的問題,第二百七十一條跟第二百八十六條如果都要修的話,涉及到刑法的一個理論問題,我們會比較贊成、支持修第二百七十一條,本部的立場當然認為用凌虐來殺害未滿七歲小孩,當然要做更嚴厲的處理,在立法方向上,可以考慮在現在的一般殺人罪之外,另外有一個獨立的犯罪類型,譬如殺害直系血親尊親屬,是一個加重的獨立犯罪類型,我們也可以比照這種模式,對以凌虐方式殺害未滿七歲的小孩,成立一個獨立的犯罪類型,不同於刑法第二百七十一條十年以上、無期徒刑跟死刑,它比普通殺人罪更重,用一個獨立的犯罪類型方式來思考,會比修第二百八十六條好一點點。第二百八十六條的方向基本上我們也尊重,但是第二百八十六條會涉及到是一個加重結果犯,跟第二百七十一條其實不太一樣,所以我們比較prefer修第二百七十二條一個獨立的加重類型來處理,這是第一點回答各位委員。

第二點,剛剛黃委員提到刑分可不可以加一個不得假釋的規定?這涉及到刑法總則的刑罰種類問題,刑法總則的刑罰種類其實有明定,現在並沒有一個刑罰的種類叫做有期徒刑或無期徒刑不得假釋這種刑罰種類,所以要擺在刑分,會變成未來所有條文的刑分後面都要一一加上哪些是不得假釋的規定,這要逐一檢視;還有特別法的部分,特別刑法有些很重的,搞不好每一條都要加不得假釋。基本上,我們對不得假釋的方向是贊成的,但我們比較贊成修在刑總,在刑總某一個特定犯罪類型或宣告刑在某一個程度以上者,就規定不得假釋,而不是規定在刑分,變成一個刑罰種類的爭議,這個刑罰未來在刑分修正上會非常非常龐大,這是第二點跟委員報告的。

第三點跟委員報告,的確本部不得假釋的相關法案已經提到行政院審議中,跟各位委員報告,也開過會了,本部基本上對於特定的重大犯罪宣告刑在一定以上的,刑總規定就是不讓他假釋,所以基本上不得假釋這一點,是本部對外已經宣示過的一個重要政策立場。以上三點跟各位委員報告。

主席:好,黃委員先舉手,先讓黃委員發言。

黃委員國昌:次長,我們就直接討論具體的問題,但你剛剛還是在做抽象的立場宣示,這樣很難推進。具體來講,放在第二百七十一條裡面你們是絕對反對,還是可以同意?這是第一個問題,我剛剛問的是立法形式的問題,但你還是在跟我雞同鴨講,說這是一個特殊類型的犯罪,當然是一個特殊類型的犯罪,但什麼時候規定不同類型的犯罪一定要規定在不同的條次裡?沒有這樣的規定嘛!當然在立法技術上,針對特殊類型的犯罪,如果可能的話,把它獨立成條,這是一個修法的方式,但問題是什麼?問題是一個法律案從開始提、推動到最後結束,要花非常久的時間,所以我現在才很認真思考,你先不要跟我談是放在第二百七十一條第四項,還是你要另外起一條,先不談形式的問題,以實質內容來講,以凌虐的方式,殺害未滿七歲的人,要處死刑或無期徒刑?這是我剛剛問的第一個問題,法務部的立場贊成還是不贊成?

第二個問題,剛剛其實你話說一半,我為什麼說你話說一半?當然嘛!如果放在刑分裡面,當然各個刑分是不是要在特殊類型的特別嚴重犯罪去明定無期徒刑不得假釋,那當然就是到個別條文的時候再來處理,你如果永遠執著於法條跟法條彼此之間的衡平,我老實講,你「花袂了」啦!「花了」啦!我為什麼說「花袂了」?上次公聽會時我就講了,現在刑分的條文真的彼此之間都有衡平嗎?你自己隨便去檢查就知道了嘛!上次公聽會我就舉例了,有關於強盜罪部分,在強盜過程當中致人於死,也是死刑、無期徒刑或十年以上有期徒刑,現在大家就覺得很困惑,如果以暴力方式侵害財產法益,在過程當中發生死亡的結果,是可以判到死刑,但以凌虐方式侵害人的身體權、健康權,然後發生死亡結果,不可以這樣規定,那大家就看不懂啊!立法者在考量所謂的罪責相當、法益權衡、條文彼此之間衡平的時候,到底在想什麼東西啊!你完全沒有辦法解釋得過去。

所以還是回來一個最根本的問題,刑總規定刑的種類,裡面有包括一個無期徒刑,但是無期徒刑在什麼樣的狀況下可以假釋?在刑法總則裡面有另外一個通則性的規定,也就是不分任何類型的犯罪,你只要被判無期徒刑,滿足刑法總則的這個要件,原則上就有假釋的可能性。但是如果在刑法分則裡面,我特別去排除刑法總則的規定,也就是刑法總則只是一個一般性的規定,在被宣告是無期徒刑的時候,原則上只要滿足一些要件,接下來透過假釋的審查機制就有可能被假釋。我在刑分的立法技術上面,針對特定嚴重類型的犯罪的無期徒刑,立法者明定不得假釋,也就是他明文、有意思的要去排除掉刑法總則那個假釋條文的規定。在目前法務部的立場,針對這樣子的立法方式,你們贊成或不贊成?如果不贊成的話,理由是什麼?我提出具體的問題,我想再聚焦一點。

主席:莊委員,你要先講,然後再請法務部一併說明嗎?

莊委員瑞雄:我看講完再一併請法務部來做說明。

這一次修法裡面,我看憤怒確實是可以帶動改革,這是好事,但是基本的原則還是要掌握住。這個條文放在第二百七十一條來修的話,倒是稍微有點道理;放在第二百八十六條的話,我就覺得不通,但是也必須要去考量到,你在第二百七十一條去增訂,變成是對於未滿七歲的人以凌虐的方式去犯第一項的犯罪,也就是說,其實凌虐的方式,「凌虐」本來會產生很多結果,有可能會影響他的身體健康,有可能凌虐到最後是輕傷,有可能是重傷,有可能是致死,所以如果放在第二百八十六條那個地方會有問題,但放在第二百七十一條的話,表明的就是,我用這個凌虐的方式,主觀上我就是要讓你死,那叫做殺人,放在第二百七十一條主觀上就是要殺人了,就不用去討論第二百八十六條了。可是這樣也有一個問題在,我們去把它特定出一個對於未滿七歲的人就變成比原來殺人罪的刑責還要重,原來殺人罪是處死刑、無期徒刑或十年以上有期徒刑,但你針對未滿七歲的人就只有剩下一個,更重了,就變成死刑或無期徒刑,這會有一個問題,我們刑法總則……像王副秘過去對審判實務也非常清楚,一個判決下來的時候,我們第一個考量到的就是,這個犯罪行為人的動機到底是什麼、目的到底是什麼,還會看看他的手段到底是什麼、他的犯後態度是什麼,還有他當下的思慮是什麼,但這個一訂定下去以後,刑法第五十七條全部都不能用了,會有這樣的問題。所以這個是不是請法務部也一併來做思考,否則放到第二百七十一條,體例對了;放第二百八十六條,完全不對,因為把「凌虐」放在第二百八十六條的話,就變成把故意跟過失那個界限給混淆掉了,完全混淆掉了,也就是說,前面的一個犯罪行為,到最後產生這樣一個結果,他可能是過失,可能是間接的因果關係,那個地方大家說不清。

既然各黨都要保護幼童,大家都要保護,這個不用懷疑,去虐童甚至讓他致死的,當然是可惡!但每一個人對可惡的界限不一樣,你們可能認為殺掉是最可惡,槍斃是最可惡,但我不認為,我認為就是關啊!所以講到無期徒刑不得假釋,那個違背法理,但我又喜歡,我又覺得合理,讓他出來幹什麼?可是你說讓他死掉,死掉他一了百了,他多爽啊!他犯了那麼大的犯行,一下就「碰」槍斃死掉了,他就不見了,這只是滿足我們社會上的一個憤怒的情緒而已,可是對於刑法上講的原理、原則完全不通,你說到底是基於要報復,這也不是應報,應報就剝奪掉而已,但他根本就沒有痛苦;你說要讓他再回歸,誰敢讓他回歸?對這種極刑犯,大家也不敢去用教育刑。

所以我反而會認為應該一併說明,這不是只有要偵查而已,這到最後還有法官要審判的問題,你就把整個刑法第五十七條設定出來,這個幾百年,全世界都在看,你去看這個條文,幾乎全世界每個國家的刑法這一條都長得一模一樣,要留給法官一個獨立審判空間。但現在不是喔!現在是不是死刑就是無期徒刑,比殺人罪還要重,這是第一個,道理在什麼地方?我也可以講,殺害幼童可不可惡?非常可惡。但殺害直系血親尊親屬、殺害自己的父母親更可惡啊!法理上大家要講清楚,不然只是用憤怒來帶動這個改革,還不夠。帶動改革固然很好,但還是要講清楚,請法務部要把這個地方講清楚,我是認為會衝擊到第五十七條,等大家再回去當法官的時候,看到第五十七條和第二百七十一條訂定下去的時候,你也不知道要怎麼判?

主席:王委員。

王委員育敏:我想補充說明一下,這一次的修法為什麼會有這麼強大的民意站出來,大家其實看到了一個情況就是,未滿七歲的幼童跟成人道道地地不一樣,對於成人加諸在他身上任何的暴力或傷害,他是毫無反抗能力的,所以大人的責任當然是非常的重大。今天這樣的修法有一個很重要的意義,是警告所有的大人,對於孩童,你只有保護之責,任何人如果要對孩子動手、傷害,甚至造成他的死亡,這個社會上,在我們的刑法上面,未來透過修法,我們就是宣示一個很重大的意義,就是國家會保護你,刑法也不允許,然後告訴所有的成年人,你不要有任何想要動手去傷害孩子的念頭,因為他那麼的幼小,會因為你這個不當的行為舉措就剝奪掉他的性命,我覺得這個是社會上到目前為止非常有共識的。

現在看起來法務部的態度也要往這個方向去做,基本上我是非常贊成的,法務部可以再講得更清楚,如果要放在第二百七十一條,也很好,就在第二百七十一條,然後你們要怎麼另立法條?因為現在感受到法務部已經接受這樣的民意,你們也認真去思考到底要怎麼立法了,那就是把它講清楚,要不然大家就會質疑你的研議只是拖延。我剛剛講過,這次立法院開會開到7月底,如果法務部、專家學者和法界人士都有共識的話,你是可以儘快送出版本,司法及法制委員會儘快審查,院會就可以通過,在7月底之前,我們可以用大家的力量共同完成這樣的修法工作。所以我希望法務部可以再加油,就這個部分,這次沒有迴避的空間,大家就是認真來研議,是怎麼修的問題,而不是用研議作為藉口不修,以上,謝謝。

主席:好,謝謝。

我也有個意見要表示,我就直接在這邊說。主要是要跟次長報告一下,因為次長剛剛的意思是,修第二百七十一條,不修第二百八十六條,你們想法比較傾向這樣,但是這個會不會造成一個狀況是,因為第二百七十一條是針對故意殺人,將來這些犯罪行為人會不會在凌虐致死之後,他很容易就逃脫掉第二百七十一條的規範,然後你第二百八十六條又不修,到時候等於是沒有處罰他這個行為。如果你要另立一個殺嬰幼童的條文,這也有一個問題,就如同我剛剛講的,他今天如果一直堅持說他的凌虐是前面的行為,他的故意只存在凌虐,他並沒有對於後面死亡有故意的話,你等於是跳脫了第二百七十一條或是你另立的條文。如果你又不修第二百八十六條的話,變成這個部分反而我們這次就沒有處理到。所以我才會說,我個人會覺得不是只有第二百七十一條的問題,應該第二百八十六條也是一個主要的問題,因為這必須對於後面加重結果發生之後,你要怎麼樣去處理,這是我個人給法務部的一個建議。

另外還有一個,剛剛一直有提到假釋的部分,我從上個會期就一直有提到應該要把假釋分級,就是我們要加強他的得假釋……譬如說無期徒刑,要假釋的話,他應該要分成幾個不同的條件,甚至是不是有一種無期徒刑是永久不得假釋。但是現在我們會遇到一個狀況,就是現行法律的問題,這就是為什麼無期徒刑我在這一次不拿出來討論。因為會出現一個狀況,就是現在是向矯正署申請假釋,將來如果修法,對無期徒刑得不得假釋,這個決定的人是誰?是法官,還是矯正署?我們也都要在法制上先釐清,是不是就要讓法官去決定不得假釋或是多少年後才得假釋?這只有法官可以決定,但現在假釋的部分又是矯正署,所以這一塊我們必須先克服。我覺得這個東西沒有那麼簡單,而且將來可能還要再開幾場公聽會來決定這個幾十年來的大問題,所以要麻煩次長參考一下我剛剛提到的第二百七十一條,如果我們只在這邊處理,將來一定會掛一漏萬,會有很多行為沒有辦法處理到。

請王委員。

王委員鴻薇:剛才法務部的見解好像是修第二百七十一條比修第二百八十六條更好,但是要另訂條文。我們必須說,這個刑法的修正事實上已經花了很久的時間,社會大眾希望我們能夠提出這個修法已經非常久。既然今天我們進入了逐條討論,所以我剛才在質詢的時候也特別講,當然我們肯定法務部終於願意從善如流,但是在時間上,如果要另訂條文,說實在,立法院也沒有辦法等你!如果要另訂條文,我的理解就是在拖延,又是在拖延修法的時程而已,所以我做一個具體的建議。我在剛才質詢部長的時候也說,不管是第二百七十一條或第二百八十六條,既然今天法務部可以接受對於7歲以下凌虐致死處以死刑或無期徒刑,是不是就請法務部針對現在委員所提出來的第二百七十一條或者第二百八十六條做條文的修正?這是我們比較可以接受的,否則你又另訂條文,那是怎樣呢?我們今天全部都停下來,再繼續等行政院的版本嗎?要等到什麼時候呢?會不會來呢?到時候有變卦又怎麼辦呢?如果法務部今天沒有辦法提出修正條文,就按照今天委員所提出來的版本,我們就這樣走下去。我個人是這樣具體建議,基本上,很難再接受你再另訂條文去修正,好不好?以上,謝謝。

主席:謝謝。請問還有哪位?請莊委員。

莊委員瑞雄:謝謝召委。其實我也贊同剛剛吳宗憲召委的講法,但是大家話要講清楚,話要講清楚的原因就在於第二百八十六條跟第二百七十一條,放在第二百七十一條會產生一個重大、不同的地方。現在民意上有壓力,有那麼多公民團體說要把這個修得更重,大家都有聽到,各黨也都有聽到,但要講清楚,凌虐致死的部分就不是殺人要講好,放在第二百七十一條是用凌虐的方式去殺人,這要講好。你說要按照程序走,我也願意,只是我們都沒那麼厲害,立委不是我們做一做,以後留下讓大家好像滿足一時而已,還是要慎重一點!我到現在沒有看到誰表達反對,要加重都可以,但譬如放在第二百八十六條,我是反對的,我反對的原因是真的會把故意跟過失的界限給模糊化;放在第二百七十一條的話,我的擔憂只怕創設了比剝奪掉生命法益更高的態樣,讓它變成一個帝王條款。也就是本來殺人是死刑、無期徒刑或十年以上,現在針對幼童就變成比一般的殺人罪還要重,要做這樣差別待遇的時候,講清楚,我也可以接受,但問題就是怎麼去講清楚?我是鄉下來的,我沒辦法接受殺死父母親的法定刑反而沒有那麼重。

王委員鴻薇:一樣!也是死刑跟無期徒刑。

莊委員瑞雄:十年以上……等一下,先聽我講完。

王委員鴻薇:沒有!我要講,為什麼我們說……

莊委員瑞雄:不會!No!我不干擾……

王委員鴻薇:因為小孩子沒有任何反擊的能力……

莊委員瑞雄:八、九十歲躺在那邊也沒有反擊能力!我在講的是,我們立法的時候要讓它更周延。我知道你們的思考點,你們要嚇阻,我當然知道。我的意思是你把它獨立出來,這樣的態樣會掛一漏萬。你們的人比較多,你們讓它通過就好,我沒意見,我只是提醒你們。

沈委員發惠:我們沒有反對,他只是說這個……

王委員育敏:讓法務部……

主席:我知道,莊委員剛剛講的東西跟我剛剛講的其實是類似的。

莊委員瑞雄:類似的,大家要講清楚……

主席:我想大家的想法應該都差不多,就請法務部回應一下我們剛剛的問題。

黃次長謀信:就殺人的犯罪手法或犯罪年齡,我們做一個獨立的犯罪類型來特別加重規範,基本上,這是本部的政策立場,我們贊成也一直在強調。只是最低刑度要到多少刑度以上,大家可以討論,因為涉及到整個刑法可能會互相有一些牴觸或互相影響,所以針對加重的部分,我們贊成,就是一個獨立的犯罪類型。但是要跟各位委員報告一點,如果修在第二百七十一條有一個缺點是什麼?因為接下來有個第二百七十二條,它是犯前條之罪的加重、直系血親罪。如果第二百七十一條已經針對未滿七歲的有獨立犯罪類型了,後面那條是犯前面之罪加重二分之一就產生矛盾,因為第二百七十二條是對直系血親加重,而第二百七十一條是對未滿7歲之人加重,第二百七十二條卻又規定犯前條之罪要加重,這兩條就衝突了,所以解套方式就是要修第二百七十二條之一,要不然就是第二百七十二條要跟著修,不能單獨只修第二百七十一條加一項,這樣會跟第二百七十二條衝突,這個要跟各位委員報告。

剛才黃委員提到,可不可以在刑分裡面,未來就某一種特定犯罪類型特別規定這種犯罪不得假釋。因為刑法總則裡面所有的主刑種類規定在第三十三條裡面,有規定哪幾種主刑、各種主刑,沒有一種主刑叫做無期徒刑不得假釋,或者是另外一種叫做有期徒刑不得假釋,沒有這種刑法種類的存在。因此,我們比較建議去修刑法不得假釋的規定來統一適用,而不要用個別的刑分去規定。因為就個別的刑分,我剛剛也說明了,法條非常、非常多,未來不斷增加更惡劣的犯罪,我們就要不斷去修那個法,讓某一個犯罪不得假釋,而且還有一些特別法的規定,會非常、非常龐大。基本上,就不得假釋這一點訂在特定犯罪類型裡面,我們的政策方向是贊成,但我們比較希望規範在刑總裡面。

至於剛剛委員一直提到的第二百八十六條要不要修,我再次強調本部的立場不是說第二百八十六條不要修,我只是說第二百七十一條要修、第二百八十六條也要修的狀態之下,哪一種對整個法的影響比較小。我們不是說不要修第二百八十六條,修第二百八十六條的話,有一個缺點是什麼?因為第二百八十六條基本上是故意犯加過失犯的犯罪類型,現在我們不修法前,凌虐未滿7歲致死已經處到十年以上跟無期徒刑了,如果再加一個死刑上去,會變成一個什麼狀態?會跟殺人罪是一模一樣的刑度,會變成第二百八十六條的故意加過失的刑度會等於第二百七十一條的直接故意殺人,就是刑罰會產生一個法益上的衝突,倒不是本部不主張修第二百八十六條,而是第二百八十六條的級距已經拉高到產生極致。

最後一點,委員有提到本部會不會拖延,部長或者是我們政次都在貴委員會對外宣示,我們三個月內一定會把相關的條文送到行政院,我們也會跟行政院溝通,是不是能夠儘快完成相關修法程序。當時部長有對外宣示是三個月內的時間,以上說明。

主席:謝謝。我也跟次長補充一下,剛剛次長說把凌虐致死變成拉成跟殺人罪的刑度一樣,但是你看第三百二十八條第三項,強盜致死的加重結果犯也是拉到跟殺人一樣,所以我國的法律體制上並不是沒有這樣的設計,在此我先提醒一下次長。

請黃委員。

黃委員國昌:第一個,他剛剛是說三個月內法務部會給行政院,對吧?然後行政院什麼時候會給立法院?大概就是儘快嘛!這個詞我們也都聽過很多次,我不用再複述、不用再一一盤點。但我還是回到實質的問題,剛剛你講到無期徒刑可不可以假釋的問題,次長應該對刑總很熟,刑的種類規定在刑總第三十三條,刑總第三十三條只有講無期徒刑,但第三十三條刑的種類裡面,從來沒有去處理無期徒刑可不可以假釋、在什麼條件下面假釋,所以不可以假釋的無期徒刑,本來就在第三十三條的射程範圍之內了,何必要新增刑法的種類?我的說法絕對沒有錯啊!因為你現在是把過去累積的、實務上面的慣習當成是無期徒刑就一定可以假釋,但無期徒刑可以假釋是在後面第七十七條的規定,在一定的條件下面他可以假釋啊;在刑分裡面去明定特定、殘忍的犯罪類型不得假釋,並沒有違反刑的種類,還是回到刑總第三十三條的無期徒刑,刑總第三十三條的無期徒刑沒有先驗的在法條裡面去規定可以假釋還是不可以假釋,無期徒刑什麼時候可以假釋?那是在第七十七條的規定,所以不需要在刑總裡面去增加一個所謂要有不得假釋的無期徒刑,刑分才可以做這樣的處理啊!我的理解應該沒有錯吧!因為我們這樣子討論問題,我覺得很難聚焦,所以是不是一個一個來?剛剛次長所講的,如果是跟第二百七十二條之間的銜接關係,的確,放在第二百七十一條的最後一項,看起來會很醜,所謂的很醜,就是這個法條規定得很醜,但是實質在法律的適用上面,我是不覺得會產生任何問題,因為只是在第二百七十二條的犯前條之罪的時候,絕對不可能包括第二百七十一條第四項,這殊難想像啦!構成要件不會該當啦!但是不會排除第二百七十二條實際上面的適用範圍。

第三個,也就是回復剛剛莊瑞雄委員所提的問題,在外國的立法例,針對特定年齡以下的幼童犯殺人罪者,我現在在講的不是凌虐致死,而是被殺害的客體是一定歲數以下的孩童,處死刑或無期徒刑,也就是較一般的一般殺人罪加重處罰的立法例是有的。在美國很多州,針對特定身分而受害的人,因為要加強他的保護,小孩是其中之一,給他特別的刑罰規定,那個是有的。其實你也不用擔心第五十七條絕對沒有什麼審酌、量刑的空間,在我們現在的刑法分則裡面,特定的犯罪結合犯的時候,只能處死刑或無期徒刑,在我們目前刑分的條文裡面也有,次長,我應該沒有說錯吧!第二百二十六條之一就是一個最典型的類型,它只有兩種選項,不是死刑就是無期徒刑。

所以我還是回來談我那個特定具體的問題,刑法分則裡面,在刑的種類的選擇上面,我明定它是一個不可以假釋的無期徒刑,到底有什麼問題?法務部你們還是不贊成嗎?因為這個會具體牽涉到接下來第二百七十一條要怎麼處理的問題,以上。

主席:剛剛談的這部分我是認同黃國昌委員所提到的,如果放在第二百七十一條裡面,也就是多一項的話,其實在第二百七十二條的適用上基本上是沒有問題的,因為第二百七十二條有一個構成要件,就是已經限縮在直系血親尊親屬,所以在適用第二百七十一條的時候,不會跑到比他年輕的幼童去,所以在適用上面確實剛剛黃委員講得沒錯,這會讓條文的編排變得很醜,但是不會影響到實務上面的適用,所以剛剛黃委員講的這塊我是認同的,也給次長參考一下。

請王委員。

王委員鴻薇:可能比較懂法的人,在法條上、在法意上都非常講究,但是今天為什麼有這麼大的、來自於民間的聲音,希望能夠修法呢?最後他們其實都非常周到的,直接把第二百八十六條提供給委員,甚至是跨黨派的委員,但是我也會認為,其實希望修法的人,他不會執著於今天一定要放在哪一條文裡面,重點是來自於必須把保護幼兒;避免凌虐,甚至凌虐致死;應該要處以極刑這樣一個精神跟原則,放到法條裡面,希望這樣一個最基本的正義得以實現。因為我不是學法的,我非常能夠理解很多父母的心情,所以我剛才就說,今天針對第二百七十一條去修,或者去修第二百八十六條,對於也身為父母的我,我不會去堅持,雖然我自己的提案是修笫二百八十六條,但是如果你今天把我們希望修的精神能夠放到第二百七十一條,也OK啊!

但是我們不能接受的就是一再的拖延,剛才法務部說他們絕對不會拖延,可是我剛一聽還要3個月!這就代表我們這個會期就算要等行政院版,大概也等不到了,這個會期就落空了,到了下個會期有沒有送來,我們也不知道,但是我們真的很擔心,在這一段時間裡面,如果有同樣的案件,我們不希望再看到像剴剴案的悲劇,但是如果很不幸又有類似這樣的悲劇,請問一下,我們如何面對這麼龐大的、民間的聲音?我們如何去面對這些受傷害的兒童?

我剛才就做了具體的建議,就是我們今天的逐條討論裡面,其實我們聽到現在,法務部似乎也已經願意從善如流,是不是?是不是就在第二百七十一條裡面,法務部提出你的條文修正,對我來講,今天我在這邊,我沒有很堅持一定要放在第二百八十六條,如果在第二百七十一條把剛才我們所堅持的,就是把民間的聲音、希望放進去,我們也可以接受,像剛才在講第二百七十二條,我也趕快去看一下第二百七十二條,針對該條,也許你們很在乎這個部分,希望法條修得很漂亮,可是它跟第二百七十二條完全沒有扞格。請問一下,7歲以下的人怎麼會變成直系尊親屬呢?不可能的事情嘛!所以我真的還是具體建議,是不是請法務部就第二百七十一條提出你的條文修正?就是兼顧今天立法委員是反映民間的聲音,然後法務部也願意把你們修法的想法放到第二百七十一條,如果大家都有共識的話,我真的很希望這條能夠處理好,否則我們還要再去搞冷凍1個月,很難看啦!我們再去搞冷凍一個月,然後大家再去按鈴表決,我相信對面很多的民進黨委員也不願意在這個問題上我們還要再來表決,真的沒有必要,所以是不是請法務部能夠把你們的修正條文具體的提出來,如果你覺得放在第二百七十一條比第二百八十六條好,我們也可以接受,你就看看第二百七十一條的條文要怎麼樣來修正,如果民間的聲音、需求也可以符合的話,我們也可以來看看,並不是完全不能接受啦!

主席:沈委員有先舉手,先讓沈委員。

沈委員發惠:主席,我完全理解今天這個案子有這麼多的委員提案,就是針對現在的社會輿論。事實上,對於虐童案、對於發生的這些悲劇,大家其實都人神共憤,但是這樣子的情緒是一回事,我們的立法要怎麼達到大家、社會現在所期待的目的,就是以刑法的修正來遏止這樣子的犯罪行為,大家也都很一致,但是我覺得我們作為一個立法機關,尤其我們是立法院這個立法機關裡面的司法及法制委員會,我覺得我們的立法也不要說:今天通過就好,醜沒關係。召委坐在這裡,你應該也不太能接受今天就是通過,有扞格……對於第二百七十一條,你剛才講的就是有扞格。

王委員鴻薇:什麼扞格啦?

沈委員發惠:有啦,你說犯前條……

王委員鴻薇:直系血親尊親屬……怎麼可能發生?

沈委員發惠:對,怎麼可能發生,但是我們卻這樣立法,這就是扞格啊!扞格的意思就是這樣,扞格的意思是你立了一個法,但是這個法的狀況跟現實是矛盾的,它就是扞格嘛。我的意思不是這樣子,只是我們可以避免這種狀況,可以在立法上面避免這種狀況,為什麼我們現在明知道有這樣子的扞格還要堅持立一個看起來有扞格的法?用剛才黃國昌委員的話來講,這就是看起來很醜的法條。在立法院裡面,就法律來講,我們算是最專業的委員會,卻要去立一個現在就知道它很醜、現在就知道它有扞格的法令,我們為什麼不談出一個沒有扞格的法律條文呢?我個人是這樣建議,今天我們立法要立在第二百七十一條,還是另立一個第二百七十一條之一,再加上過失凌虐致死的第二百八十六條,都是不一樣的立法精神。其實在這裡我相信兩黨的委員,大家對於社會的感受以及對於這些人神共憤犯罪行為的憤怒都是一致的。問題是在立法的時候,我們還是必須要考慮立法最根本的罪責相當、立法刑罰的衡平,這是立法者的責任,我們不考慮的話,沒有人會考慮這個事情。我們不能說今天大家在討論這個立法原則,就扣上個帽子說你就是反對,你也不能說沒有列死刑,就是沒有處罰。剛剛整個討論過程,好像這個法條沒有列死刑,就是沒有處罰?不是!那所有的法條都判處死刑或三年以下有期徒刑,每一個法條都這樣列、每一個行為態樣都有判死刑的可能,當然法律不會這樣立的原因,就是因為它有列出死刑的刑種,本身就是一個法律各種犯罪、侵害不同法益犯罪的衡平,這是罪刑的衡平,對不對?一個是侵害生命法益,一個是凌虐致死、侵害身體法益造成的結果,一個殺人罪以凌虐的方式來進行殺人罪,這是生命法益的侵害,我們在立法上面,當然要去考慮兩者的衡平,以上。

主席:莊委員先舉手,我們讓莊委員發言完之後,換王委員。

莊委員瑞雄:謝謝,我也不會講很多啦!我覺得該講的,我把它講一講。

今天提案這麼多,各黨都有提案,我剛剛以為我們是要聚焦在第二百七十一條跟第二百八十六條,我才會講陳亭妃委員提的第七十七條就先不要討論,不然我現在看,提案人都沒有來啊!有的跑掉了,或者都不來,像陳亭妃沒來,或張智倫這些,一大堆人也都沒來,所以我就把陳……

王委員鴻薇:我有來。

莊委員瑞雄:沒有!我是說不能因為陳亭妃沒有來就沒有考量到他提的部分,他那個是無期徒刑到底要不要假釋、要不要排除在外的問題,這是第一個。

第二個,大家仔細再想一想,真的會衝突啦!你去看刑法第二十二章殺人罪章的第兩百七十一條殺人罪,但凌虐致死卻放在第二十三章,其實整部刑法,每一章、每一章都不一樣,罪名不同,罪質也是不同的。殺人罪當然就是侵害到生命法益,保護的就是生命法益;但第二十三章的傷害罪章保護的是身體法益,這是兩個不同的東西,所以必須要做差別待遇!比如剛剛吳宗憲委員提到,屆時還有故意跟過失的問題,若放在對死亡的加重結果沒有故意的時候,那個時候就沒有處罰到;倒不是沒有處罰到,而是沒有用到那麼重,不是沒有處罰到!都死掉了哪有可能沒有處罰到?除非有一些阻卻違法事由,不然哪有可能沒有處罰到?要加重、要產生嚇阻,我看大家都一樣,只是體例上怎麼安排。或者提升到殺人罪章,即在第兩百七十一條獨立放一個行為態樣叫凌虐,要殺人且故意用凌虐的方式,用凌虐的方式產生來殺人的效果,主觀上是這樣,把它獨立出來。法務部看起來好像也可以接受這樣的態樣,但問題又跟前面大家所主張的,只要是凌虐方式,處無期徒刑者都不得假釋。如此,又要放在刑法分則裡面,又不去討論刑法總則第七十七條假釋的規定,這又很奇怪。我提出來是再一次提醒,不然你們想怎樣做,隨便你們,我都已經很用心也很負責任地跟你們說明了。

主席:好,謝謝。我們請王委員。

王委員鴻薇:我具體來說:第一個,剛剛說這個條文有沒有美醜的問題,我覺得條文的美醜難道會比孩子的生命更重要嗎?所以我要講的就是,今天我們在這個條文裡面也有討論到,只要中間沒有扞格,那麼刑法第二百七十二條的執行會出現問題嗎?第二百七十二條的執行不會出現問題!除非我們今天這樣修了,會影響第二百七十二條的執行!第二百七十二條就是對直系尊親屬加重其刑,如果不會影響第二百七十二條的執行……我覺得我們今天一直膠著在第二百七十一條怎麼訂,跟第二百七十二條對照看起來不好看等等之類的。說實在,我覺得民間團體沒有辦法接受,而且像我這樣的人,我根本沒有辦法想像為什麼我們法律是這樣訂的?它不是應該保障人民的生命財產安全嗎?還是它要編排起來,看起來好看而已?所以我在這邊做具體的建議,我剛才有聽到法務部的意見,法務部說要三個月之後才能送行政院,這個時間確實是拖延。既然今天我們已經可以接受,就請法務部對第二百七十一條提出條文修正,我們來看是不是符合民間團體的需求。

另外,如果覺得第二百七十二條應該再怎麼修,你再把它送過來嘛,再送過來你的修法。我剛剛講了,現在第二百七十一條修正之後,往前走,不會影響第二百七十二條的執行!除非會影響第二百七十二條的執行,認為不行,兩個法條要一併修正。但並不會影響第二百七十二條的執行。至於在法條上要如何變得美美的,怎麼樣用美肌、什麼的,我就隨便你啦!也就是說,如果法務部認為修正第二百七十一條是可行的,就提出條文修正;如果你提不出條文修正,我們就往下走,否則就是一直拖延而已。如果第二百七十一條條文修正之後,你再提出第二百七十二條的修法版本,我們還是會處理嘛!因為最重要的是我們一定要趕快先保障孩子的安全,我剛剛講了,如果我們在這邊拖拖拉拉,又拖個半年,三個月到半年,中間又發生一個什麼樣的悲劇,尤其是司法及法制委員會,大家全部難辭其咎!真的,我們就自己去撞牆好了。今天我們既然已經進入逐條討論,如何具體進行法條的修正,這是我具體的想法。以上。

主席:我們就縮短一下,好不好?因為吳委員還沒講過,讓吳委員先說。

吳委員思瑤:好,謝謝主席。我想今天的幾個立場,坐在這裡的每一個委員,即使有一些沒有坐在這裡,他們也是長期關心兒童議題的委員。立法院不分黨派,立場都很一致,我們要嚴肅地也願意來討論、也願意來促成修法,以滿足社會民意的期待。所以沒有人反對在刑責的部分進行加重跟調整,這第一件事情。

第二個前提是,也沒有人想要拖延,我們也希望能夠盡可能在合宜的條文、大家獲得共識之下,快速地回應社會的期待。所以我個人也認為,如果再搞個三個月、半年,不管是行政、立法、各個黨派沒有人可以回應社會。

第三個,我很務實地說到條文,這倒不是什麼單純用美醜來看條文,而是說我們要負責任的立法修正,而且這是死刑,這麼嚴肅的議題!兒虐跟死刑這兩個議題都是無比嚴肅的!如何讓法律的秩序避免產生扞格的可能,我們要負責任地嚴謹修法。所以法務部說什麼再三個月再送進來,我覺得可能真的是久了!

但今天如果就條文來講,要放在第二百七十一條、放第二百七十二條,或者有的委員放在第二百八十六條,可能連放在哪個條文,大家的共識今天都沒有辦法聚焦!即便方向一致,但是放在哪裡都沒有辦法聚焦就是因為大家要嚴謹啦!我們看第8屆、第9屆、第11屆三度針對刑法第二百八十六條的虐童刑責,如果我印象沒有錯的話,每一次的加重都是很嚴謹地討論到最後,透過朝野協商妥善地處理。所以合宜的話,是不是大家可以來……剛剛王鴻薇委員也同意,這一定要有執法單位──法務部要擬出建議條文。我想在場每個委員版本的寫法都不一致,連放在哪裡都不一致。但今天我也不接受什麼三個月、半年,那就是很久。這個會期延會到7月底,不是嗎?今天我們進入逐條了,方向也慢慢地聚攏跟聚焦了,剩下的就是要落實在哪一個條文、文字怎麼寫。今天委員會進入逐條之後,如果大家同意,我們就有一個共識性,等法務部的條文出來,現在條文先保留,反正就是最多一個月我們朝野協商,就是可以具體針對法務部門、行政部門的條文,在朝野協商那個場域,大家最終去定案它。這個嚴肅的條文,我不希望在院會用表決的方式處理,這種生命的、這種刑責的事情,我也非常期待這不應當是政治的攻防,我們一定要嚴謹,比嚴謹更嚴謹,有共識,這是最重要的。所以透過一個月的協商期限,讓法界、實務界再聚攏一下大家的意見,至於我們可以今天送出,一個月內我們趕快請召委協商,然後韓院長朝野協商,其實在這個會期就可以交出我們修法的成績單。所以在這個會期完成這個,然後讓他們去提出更嚴謹、不會掛一漏萬,也不會產生扞格的條文,那我覺得時間上大家應當是可以接受的。

主席:沈委員。

沈委員發惠:就今天的立法來講,我其實沒有反對王鴻薇委員所講的,我們先修第二百七十一條,並請法務部趕快提條文,這個我沒有反對。我剛剛所講的只是說,今天所立的法,未來都是法律系的學生要念的法條。我們這樣子立法,可能10年後法律系的大學生會說,為什麼會立這種法?為什麼會有6歲以下的直系血親尊親屬?當初的立法者在想什麼?我們今天立的法,雖然在實務上執行,像王鴻薇委員講的,在實務上執行可能沒有問題,因為不會產生這種狀況;但是在法律條文上面所寫出來的狀況就是這樣子,有6歲以下的直系血親尊親屬,以後念法律系的學生會覺得當初的立法者怎麼會立這種法?我的意思只有這樣子。我們今天只修第二百七十一條,我並不反對;但是我希望我們在立法過程中,明知道這裡在文字邏輯上面有一些扞格跟剛剛黃國昌委員所講的很醜的地方。我們明知道,所以是不是能夠避免這樣的狀況?就實際上來說,今天的會議,我是贊成吳思瑤委員剛剛所講的,就等於是用一個月的時間……我們今天先保留條文,在這一個月時間裡,在協商之前,法務部一定要提出條文,讓我們大家在協商中就法務部跟我們的條文大家來進行……

主席:這條我們討論差不多一個小時,是不是王委員講完之後,我們就來決定要怎麼處理好不好?因為一個小時了。王委員。

王委員鴻薇:我覺得至少到今天為止,包含法務部也好或者民進黨團也好,終於看到你們願意正面地回應民間的聲音,畢竟之前超過13萬公民的連署一直都沒有得到回應!剛才主席說我們也討論了一個小時,我在這邊就具體建議:第一個,我希望法務部待會還是要做一下回應,因為我們剛才在互相的交集裡面,我聽得出來法務部可以同意在第二百七十一條修正,只是之前說再另定條文第二百七十一之一條,但再另定條文就是要等你們嘛!所以我想請法務部回應,訂在第二百七十一條,可不可以?剛才說一個月後再提修正版本,但如果今天你們就可以提條文修正的話,其實還不用等一個月!兩週之內我們就可以在院會處理了!不用再等一個月,兩週之內就可以去處理這個案子了,如果今天我們在委員會裡面就達成協議的話。所以第一個,法務部終究有自己的主體性,我希望法務部……我不曉得是民進黨團變成法務部的代言人,幫他們去決定你們要一定要一個月?這是其一。

第二,如果法務部說還是要回去想辦法做一些修正的話,那除了第二百七十一條,我剛剛講,當然就是對7歲以下凌虐致死應該處以死刑或無期徒刑。但是第二百八十六條也一定要修正,因為第二百八十六條除了……我看到大部分委員的提案,包含國民黨團提案,還有很多委員提案,除了是致人於死者處死刑或無期徒刑之外,還有另外一個修法重點就是致重傷者處無期徒刑或十年以上有期徒刑。若把致死者放到第二百七十一條,那麼就不能把第二百八十六條重傷的這一塊抹去了。所講的基本上,待會就請法務部來說明,但是如果說要一個月後才提版本的話,那就是包含第二百七十一條、第二百八十六條,不可能只修第二百七十一條,把第二百八十六條全部丟掉了,它還是要做一些修正,好不好?以上,謝謝。

主席:好,我看我們直接處理,大家有沒有意見?

王委員鴻薇:直接處理好了。

主席:我們現在來談處理,我們不要再……

吳委員思瑤:處理是直接處理條文?

主席:不是,就是說……

黃委員國昌:現在換誰講話?請主席裁示一下。

主席:我們剛剛說王委員講完就來看這條到底是要保留,還是要怎麼走法,好不好?黃委員講完然後再吳委員,你們就要怎麼處理來談就好了,請說。

黃委員國昌:針對法務部的部分,我願意給你們一個月的時間,但你們空口的承諾恐怕沒有辦法說服大家,跳票的次數太多了!所以我具體建議,今天條文全部保留出委員會!全部保留出委員會就有一個月的時間,你有一個月的時間去處理;一個月後東西還拿不出來,那就不要怪立法院了。一個月的時間到了以後,我們按照議事規則,該怎麼處理就怎麼處理,我覺得這兩方面的考慮都可以兼顧到。我不是無限期地等你,但也不要說我一天都不給你。今天走到這裡了,我覺得針對小朋友的保護,大家或許在具體的立法技術上有一些歧見,但是我覺得大的方向上沒有什麼太大的分別。所以我會建議,如果各個黨團的代表也同意,今天就請召委兩個條文都保留,送出委員會。但我們在這邊要把話講得很清楚,因為我相信現在很多關注的公民朋友都在看,我不要讓他們誤會說,你們這些立法委員,我們都已經連署成這樣、抗議成這樣,你們還是不處理?沒有不處理。今天就是條文保留出委員會,時間開始敲一個月,一個月之內,請法務部把東西交出來;東西沒有交出來,一個月時間到,我們就到院會去處理。這是我具體的建議。

主席:吳委員。

吳委員思瑤:剛剛黃國昌委員的發言也是我剛剛發言就時間處理上,我願意在最終一個月的協商冷凍期,讓你們去收攏你們的條文。只是說我跟他稍稍不同的是,我不希望這個最後是一個月之後談不攏就院會處理,我是不希望發生是院會處理,也就是用表決的方式來處理這個條文。所以一個月的時間,你去收攏條文,但並不是說最終朝野協商那個時候才拿出條文!這一個月就包括法務部你去溝通,也希望在我們坐上協商場域的時候,大家已經對條文溝通有相對的共識,好不好?這是我對於法務部門的要求。

另外我回到我自己對於條文的看法。我們很清楚知道,第二百七十一條是第二十二章的殺人罪責,第二百八十六條就是在傷害罪章,所以說如果比較起來,就條文來講,剛剛說要落在第二百七十一條、落在第二百七十二條或是第二百八十六條?我具體講、你們列入紀錄,我個人是認為就是從第二百七十一條故意傷人罪的部分來下手。我個人是覺得從第二百七十一條的修正去下手,你們好好去研議。這個月的時間是法案研議出來之後也要進行溝通,一個月後的協商場域,希望大家是在共識下做出決定,我不希望是院會表決處理。我們回應社會的方式不是動輒表決就好,這不是立法院的職責!我們如何把法律調得越嚴謹、越有共識,這才是我們負責任的作法,請主席裁示。

主席:謝謝吳委員。因為第二百七十一條跟第二百八十六條是連動的,是不是這兩條條文就依照大家的意思,就予以保留?也麻煩法務部能夠按照吳委員的意思,在這個月趕快把草案送過來。次長,要補充什麼嗎?

黃次長謀信:我跟委員、跟大會報告,法務部的政策立場一定要再次重申,法務部絕對不反對修第二百七十一條或修第二百八十六條!至於怎麼修,我們只是提供一個法制上的意見,認為這樣修比較妥適而已,這第一點,並不是說法務部反對,絕對不反對。

第二點,如果大院、貴委員會待會決議就是一個月冷凍期,那麼法務部會在這一個月內提出我們的法制上的意見,因為法務部畢竟沒有提案,我們只能提供法制意見出來讓各位委員參考,我們會在一個月內提出來,謝謝。

王委員鴻薇:你們有什麼條文、要怎麼修正,我覺得也可以提,反正都是意見,好不好?

黃次長謀信:好。

主席:謝謝,我想大家有共識就好。

本案審查完竣,擬具審查報告,提交院會公決;因為有保留條文,所以本案須交由黨團協商;院會討論時,由召委吳宗憲出席說明。條次、引述條文部分文字及法制用字、用語,授權主席及議事人員整理。

本日議程所列事項已經處理完畢,會議進行到此,65日上午9時繼續開會,現在休息,謝謝大家。

休息1322分)