立法院第11屆第3會期教育及文化、交通委員會第2次聯席會議紀錄

時  間 中華民國114611日(星期三)91分至1227

地  點 本院群賢樓101會議室

主  席 葛委員如鈞

議  程 報告事項

宣讀上次會議議事錄。

討論事項

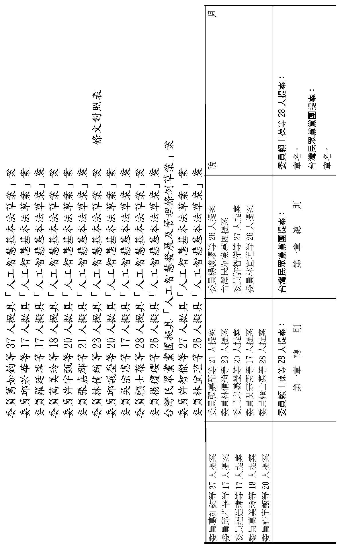
一、繼續審查()委員葛如鈞等37人擬具「人工智慧基本法草案」案。()委員邱若華等17人擬具「人工智慧基本法草案」案。()委員羅廷瑋等17人擬具「人工智慧基本法草案」案。()委員萬美玲等18人擬具「人工智慧基本法草案」案。()委員許宇甄等20人擬具「人工智慧基本法草案」案。()委員張嘉郡等21人擬具「人工智慧基本法草案」案。()委員林倩綺等23人擬具「人工智慧基本法草案」案。

二、審查()委員邱議瑩等20人擬具「人工智慧基本法草案」案。()委員吳宗憲等17人擬具「人工智慧基本法草案」案。()委員賴士葆等28人擬具「人工智慧基本法草案」案。()委員楊瓊瓔等26人擬具「人工智慧基本法草案」案。()台灣民眾黨黨團擬具「人工智慧發展及管理條例草案」案。()委員許智傑等27人擬具「人工智慧基本法草案」案。()委員林宜瑾等26人擬具「人工智慧基本法草案」案。

【第二案()()如經院會復議,則不予審查;進行逐條審查】

主席:報告委員會,出席委員24人,已足法定人數,現在開會。

本週三、週四為一次會,首先進行報告事項,請議事人員宣讀上次會議議事錄。

立法院第11屆第3會期教育及文化、交通委員會第1次聯席會議議事錄

時  間:中華民國114514日(星期三)上午9時至下午148

地  點:本院群賢樓101會議室

出席委員:洪孟楷  柯志恩  葛如鈞  李昆澤  羅廷瑋  林俊憲  陳素月  陳秀寳  林宜瑾  葉元之  蔡其昌  劉書彬  萬美玲  郭昱晴  何欣純  張雅琳  伍麗華SaidhaiTahovecahe   謝龍介  徐富癸  廖先翔  吳沛憶  林沛祥  邱若華  范 雲  游 顥

   委員出席25

列席委員:陳菁徽  林德福  許宇甄  鄭正鈐  楊瓊瓔  邱志偉  羅明才  吳宗憲  蔡易餘  林思銘  張嘉郡  蘇清泉  

   委員列席12

列席人員:

國家科學及技術委員會主任委員

吳誠文率同有關人員


數位發展部常務次長

葉寧


教育部資訊及科技教育司司長

吳穎沺


行政院教育科學文化處參議

謝勝隆


財政部賦稅署專門委員

劉旭


法務部法制司調部辦事檢察官

楊石宇


經濟部產業技術司司長

郭肇中


勞動部勞動法務司專門委員

林佳世


文化部綜合規劃司副司長

陳宜靜


行政院人事行政總處培訓考用處專門委員

陳怡君


個人資料保護委員會籌備處隱私科技組組長

林逸塵


考選部參研室研究委員

黃立賢


銓敘部法規司簡任視察

黃佳慧


行政院主計總處公務預算處專門委員

黃子菡

主  席:葛召集委員如鈞

主任秘書:陳錫欽

專門委員:白智榮

紀  錄:簡任秘書 盧焜鑫 簡任編審 蔡淑珍 科長 楊永綨

   薦任科員 陳怡安

討 論 事 項

一、審查委員葛如鈞等37人擬具「人工智慧基本法草案」案。

二、審查委員邱若華等17人擬具「人工智慧基本法草案」案。

三、審查委員羅廷瑋等17人擬具「人工智慧基本法草案」案。

四、審查委員萬美玲等18人擬具「人工智慧基本法草案」案。

五、審查委員許宇甄等20人擬具「人工智慧基本法草案」案。

六、審查委員張嘉郡等21人擬具「人工智慧基本法草案」案。

七、審查委員林倩綺等23人擬具「人工智慧基本法草案」案。

(僅進行詢答)

(本次議程採綜合詢答,有委員羅廷瑋、洪孟楷、柯志恩、李昆澤、葛如鈞、林俊憲、陳素月、陳秀寳、林宜瑾、葉元之、蔡其昌、劉書彬、萬美玲、張雅琳、郭昱晴、何欣純、伍麗華SaidhaiTahovecahe、游顥、徐富癸、吳宗憲、吳沛憶、謝龍介、楊瓊瓔、范雲等24人提出質詢,均經國家科學及技術委員會主任委員吳誠文、數位發展部常務次長葉寧及相關人員即席答復說明。另有委員林沛祥、邱若華、廖先翔、許宇甄、邱志偉提出書面質詢。)

決議:

一、報告及詢答完畢。

二、委員所提書面質詢或相關資料,列入紀錄並刊登公報。

三、對於委員質詢要求提供相關資料或未及答復部分,請相關機關儘速以書面答復。

四、「人工智慧基本法草案」相關草案,另定期繼續審查。

五、本次會議議事錄,授權主席確認後,即上傳立法院全球資訊網公開。

散會

主席:請問各位委員,上次會議議事錄有無錯誤或遺漏之處?(無)如果沒有的話,議事錄確定。

今天的議程是繼續審查人工智慧基本法草案相關草案,包括委員葛如鈞等37人、委員邱若華等17人、委員羅廷瑋等17人、委員萬美玲等18人、委員許宇甄等20人、委員張嘉郡等21人、委員林倩綺等21人擬具人工智慧基本法草案,同時審查人工智慧基本法草案相關草案,包括委員邱議瑩等20人、委員吳宗憲等17人、委員賴士葆等28人、委員楊瓊瓔等26人、委員許智傑等27人、委員林宜瑾等26人擬具人工智慧基本法草案,台灣民眾黨黨團擬具的是人工智慧發展及管理條例草案一案。

人工智慧基本法草案橫跨的範圍及AI影響的範圍非常廣,今天非常感謝行政單位各處室機關的同仁和主管來列席。

本日不處理臨時提案,因為今天提案數非常多。本案已於114514日詢答完畢,現在有新增委員邱議瑩等7個提案版本,不再進行詢答,併入本次共同審查。

現在進行人工智慧基本法草案逐條審查,請議事人員宣讀條文內容,並進行討論與協商;討論時,如有新增修正動議,請議事人員一併宣讀。




主席:也非常感謝今天有教育及文化委員會的委員、交通委員會和內政委員會的委員參與,大家對於這個法案真的是非常期待,召開公聽會的時候,各界也都希望我們能夠早一點有人工智慧的相關方針,現在就先針對法案名稱來討論。

林委員宜瑾:主席,不好意思,我想說是不是先來廣泛討論,好不好?先進行廣泛討論。

柯委員志恩:我覺得這個部分不需要廣泛討論,因為人工智慧基本法已經召開過公聽會了,我們也已經審了,做過答詢了,我不曉得還要廣泛討論些什麼,我覺得就進入逐條審查。因為這個不是臨時的,很久以來已經經過了多少次的質詢,經過多少次的公聽,我想大家都有共識,而且最重要的是,有這麼多委員都有版本,但是至今為止,我沒有看到數發部提出任何的意見或想法,我反而看到國科會過去以來所擬訂的這些草案,所以再這樣耗下去的話,我真的覺得有愧於卓內閣或賴總統對於AI如此的重視,大體討論已經在質詢的時候都問過主委了,所以我個人建議直接進入逐條討論。

林委員宜瑾:主席,不好意思,我們今天排審,可是沒有院版,因為沒有院版,我覺得可能每個委員會有比較相對不同的意見,所以我覺得今天要進入人工智慧基本法的審查程序,還是需要讓大家廣泛討論,說出對於審這個法的一些看法,這個程序其實某個程度也是必要存在,而且也不只是我的主張,不然請主席問一下其他委員的意見,請主席參採我的意見,讓我們先廣泛討論一下。

主席:張雅琳委員。

張委員雅琳:我也希望可以進行大體討論,最主要是因為我們收到相當多兒少團體的陳情,包含我之前在質詢的時候,他們都非常關心,私底下也一直不停的找大家來討論,過去政府到底有沒有就這部法對於未成年兒少的保護做一些相關的研究,其實大家是有相當多的質疑,所以,我希望今天可以作大體討論,讓我們可以再精確的去了解,我們的部會也可以再多作一點說明,讓相關的兒少團體可以更安心。

主席:劉書彬委員。

劉委員書彬:謝謝主席,關於人工智慧的相關法令的確已經是……我雖然大概3月才進來,但是我已經看到至少有公聽會和其他的相關會議,連交通委員會都已經審查了很多次,因此我也覺得也許不用再大體討論,但是可以先請主管機關來說明為什麼沒有提出院版,但是我們知道國科會有它的部版出來,把這個原因、流程還有院的態度講清楚,我們就可以進入逐條討論,不然的話,因為人工智慧各界都已經在如火如荼的運用當中,可是卻沒有一個法去規範,的確會使我們立法院陷入怠惰立法的狀況。

主席:請洪孟楷委員。

洪委員孟楷:大家都已經發言了,其實這不就也是廣泛討論的一環嗎?那我們現在在討論是廣泛討論要不要廣泛討論,不覺得很奇怪嗎?其實我覺得態度很明確,14個委員都有版本,我們從202421號進入到立法院教文委員會,那時候就已經講人工智慧是現在進行式,它不只是未來的趨勢,現在人工智慧已經在我們的各行各業了。202421號那個時候我們才看到歐盟剛剛創立這樣的相關法令,我們也想說臺灣應該後發先至,我們是科技王國,所以照理講我們也應該要並駕齊驅。但過了1年半、3個會期了,現在等於是第3會期尾端,還沒有出來我們自己的院版,14個委員都有版本啊!我們現在要問的是,行政院什麼時候有版本出來?

今天數發部給我們的書面報告,裡面還是把過去的歷史沿革脈絡再講一次,但最重要的是,數發部現在被行政院指定為主管機關,那你們什麼時候會把版本拿出來?這才是重點。我們14個委員,不分朝野,藍、白、綠委員都有版本,所以這不是單一委員、這不是在野黨委員的意見,也不是執政黨委員的意見,而是3黨的共識,都有黨團版、都有委員版。如果在這樣的情況下,數發部身為主管機關都還不願意把版本拿出來,這樣子我們要怎麼審?我們可以等1個會期,可以等2個會期,但到現在等了3個會期,我們還要等多久?數發部,等一下部長是不是可以很明確地講,什麼時候院版可以出來?我們今天可以先逐條討論,討論完之後有爭議的地方可以先保留,等數發部的版本一起出來,朝野協商的時候可以再共同討論。如果數發部一樣是這樣的態度,你連最基本的時間都不願意告訴我們的話,這樣國人沒有辦法無止境地等下去!

AI是一日千里,每天都有不同的科技變化運用,現在只是基本法,基本法通過之後才會有各行各業的相對應用法,如果我們連基本法都搞不定的話,我們怎麼樣告訴國人我們重視AI!不要忘記,這個內閣叫做AI內閣。這個內閣叫做AI內閣,好不好?語重心長,今天是藍、綠、白委員都希望有一部人工智慧基本法,那什麼時候行政部門能拿出院版?謝謝。

主席:謝謝。我們請范雲委員。

范委員雲:我想大家都非常重視AI相關的規範跟發展,我上一屆在立法院也有成立一個數位委員會在關注,後來數發部成立,我關注的就是監督教育這個部分。林宜瑾委員跟我,我們在做國會外交的時候,還特別去AI教育做得很好的愛沙尼亞考察他們怎麼樣從小學開始,教育部其實也在做相關的努力,所以並不是沒有一個基本法,相關部會就沒有在做事。

宜瑾委員希望大體討論,跟我的想法很相近,因為有幾個事情我們要釐清,第一個,目前你看到委員的版本,有人的主管機關是寫數發部,包括國民黨的委員,國民黨自己的委員也有人主管機關是寫國科會,所以大方向上這件事情到底應該是數發部還是國科會,這個東西還沒有釐清。

第二個,我想AI這部分要不要有基本法,比較大的爭議就在於,目前我們看到有兩個完全不同的方向,歐盟的方向還是美國的方向?美國的方向是重產業發展,希望監管密度低;歐盟的方向是希望監管密度高。如果以歐盟為例的話……美國還曾經規定,他在上次的預算審查,就是各州不得立法,因為他擔心規範不一引起產業的困境;歐盟當時是要2025年、2026年開始實行,因為現在很多產業發現發展不一,可能在競爭上會輸給像中國這種威權國家,所以產業希望部分的法規延後施行,而且歐盟也沒有辦法把相關的技術移植,這個東西只是一個母法,因為AI的環境變化太大了。

各位如果有看到最近的新聞,英國現在就主張要暫緩立這個法,希望能夠觀望情勢。我不知道我們這方面要做得比英國快,然後遇到歐盟現在的困境,還是我們相關的都準備好了。我至少知道行政院各部會,聽說國科會有在做相關研究,教育部已經在做相關的部分,數發部是不是也有在做相關的、大家希望要有的,就是基本的監管?我跟張雅琳委員一樣,除了兒少之外,我很關心的是跟婦女、數位相關的性別暴力跟歧視部分,都有在相關的地方監督。如果有這個基本法,我們也會把相關條文放入。但我覺得數發部應該要對國際的情勢有所掌握,也希望能夠說明一下到底這個情勢發展是如何,我們要走的是美國模式還是歐盟模式,而歐盟跟英國現在又遇到困境,那我們應該要怎麼找臺灣的方向?

我想大體討論就這幾個議題都必須要釐清,否則我們進入條文之後,等一下就主管機關的部分也馬上會遇到障礙,然後每一條所爭辯的都一樣是大方向的問題。最重要的,在這個時候就要定下去,會不會對臺灣的環境反而不利?美國想要跟中國競爭,那我們臺灣到底要往哪個方向走?我想這個部分都是大體討論應該要討論的,謝謝。

主席:謝謝。李坤城委員,然後待會兒是陳秀寳委員,郭昱晴委員好像有舉手,還有郭昱晴委員。

李委員昆澤:李昆澤。

主席:是李昆澤,對不起、不好意思。

李委員昆澤:李坤城比較帥。

主席:李昆澤委員,不好意思。

李委員昆澤:主席、召委,我是建議全案保留,因為我看各黨團以及委員之間,雖然提案很多,但方向都不太一致,最主要是缺乏整體政策的架構以及相關責任劃分的共識沒有辦法形成。我先從主管機關這個設計來看,大家都有明顯的歧異,葛如鈞召委提案認為應該是國科會作為主管機關,但是我看國民黨楊瓊瓔、賴士葆這兩位資深委員,他們主張應該是數位發展部。基本法是否要設主管機關當然是可以討論的,不過我看國民黨內部就有不同的意見,連主管機關為何,想法都不同,我們要怎麼實質討論?

我認為未來AI基本法到了實施階段,一定會碰到很多應用層面的問題,應該要由數位部主政處理相關爭議性的問題,還有產業的發展,我認為國科會主要只是負責相關的AI科學研究,國科會比較屬於智庫的性質,真正要執行AI基本法顯然量能不足。我看同一政黨的委員間也對主管機關沒有一致的共識,所以我再次建議全案應該保留,以上。

主席:謝謝。接下來請陳秀寳委員。

陳委員秀寳:謝謝召委。其實今天有這麼多的委員提案,就表示大家都非常關心我們整個AI未來的走向與發展,但是目前世界各國對AI立法有相當大的歧見,尤其最新的國際狀況是,英國為了觀察美國AI的政策走向,已經延後推動AI監管法案。本席在上次詢答的時候有提到,美國對歐盟原本以監管為方向的AI法規也提出批評,認為這限制了AI的科技發展,所以歐盟現在也已經延緩部分條文的實施,這就是目前現實的狀況。

既然我們要制定一個這樣子的基本法,我們更應該要掌握目前國際間的局勢。以目前來講,美國是傾向放任市場的發展,他們為了強化對中國的競爭力,所以對這一塊他們幾乎沒有限制;英國則是選擇觀望美國,避免他的政策落後;歐盟是維持規則制定者的角色,但是在執行上不得不面對AI發展及國際的壓力。這些轉變我們都應該納入我國AI基本法的考量範疇。目前數發部也很嚴謹的想要草擬一部比較全面、周到的相關基本法,所以在它還沒有研議出來之前,就我們現在這樣子的情況之下討論,我會覺得有點倉促,而且到底AI基本法需要嚴謹的規範,會不會變成畫地自限?太寬鬆的話,只有一個框架,保護的力道會不會又不夠周延?而且我要呼應一下剛才李昆澤委員所講的,如果行政院認為主管機關應該在數發部比較合適,那我們應該尊重行政院,國科會主責的是我國的基礎科研,投入相關的資源,發展各項科技的先期研究,包含像半導體、人工智慧、太空科技等等,人工智慧基本法除了涉及科研之外,還有產業的發展跟輔導資料的監管以及人工智慧產業相關的風險規範,這些都需要跟產業接觸比較密切的數發部做為主管機關比較適合。

所以本席希望今天對於AI基本法,我們可以用更嚴謹的態度再來好好的討論,希望能夠讓整個法規可以更全面,以上。

主席:請郭昱晴委員,謝謝。

郭委員昱晴:我想大家應該都知道,從新聞上面都已經看到美國AI的政策走向,尤其是川普政府的政策走向,這當然也是全世界觀察AI走向的一個重點。所以光是英國,他們就已經確定要延後推動AI監管的法案,而且時程至少是延後一年以上。我們這麼急促地要通過這個AI基本法,其實光是主管機關的部分我就看到很多版本。剛剛不只有數發部、國科會,我記得國科會主委之前也特別強調,你們是比較注重科研的部分,針對一些產業還有一些辦理作業跟後續的條文的解釋,其實數發部應該比較有彈性,也比較適合,所以我想國科會主委應該也同意,但是我還看到其他國民黨或民眾黨的版本,他們好像也有人認為很中性的,要由行政院擔任中央主管機關,這看似很中性啦!但是沒有一個配套跟執行的平臺,我個人認為光是要搞定主管機關是哪一個部會就已經有問題了,我不知道為什麼今天要這麼急著進入逐條的部分。

另外,像臺灣的AI目前還是處於初期,資訊的治理其實也不容許有任何模糊的空間,尤其現在中國對臺灣無孔不入,包含所有的AI、國安的風險,在我們的條文當中,其實也沒有特別針對這一塊做審查機制的描寫,所以這個部分,我個人認為今天如果進入逐條會太過倉促啦!以上是我的意見。

主席:再來伍麗華委員,接著吳沛憶委員。

伍麗華Saidhai Tahovecahe委員:謝謝主席。我個人在質詢的時候,其實我對AI人工智慧基本法也是有期待的,特別現在大家都在運用AI,但是對一些少數民族、弱勢的群體來講,其實AI會創造很多的歧視,在全世界各國也都有這樣的先例,所以有一個法能夠管制、約束是好的。

但是綜觀我們現在看到的這些版本,我覺得歧異性非常的大,光是從大家所討論的主管機關,有人覺得是國科會也有人覺得應該是數發部,甚至也有人覺得不需要訂定主管機關。實際上,基本法就是一個宣示性的法,也不是組織法,以我們原住民來講,我們有一個原基法,原基法它就是沒有訂主管機關,是行政院或各縣市政府有一個推動的委員會。這個基本法的體例到底應該要長怎麼樣?我想這個部分可能有很多專業討論的空間。

另外是關於AI的定義,我個人看了之後,也是覺得目前AI的定義也需要審慎地討論,因為全世界各國……而且它是一個不斷在長大的定義,我覺得這種部分可能都還有很多需要討論的空間,所以我個人在這個地方表達希望能夠再爭取更多的討論、希望保留的部分能夠先暫緩,謝謝。

主席:謝謝伍麗華委員。我們請吳沛憶委員。

吳委員沛憶:關於AI基本法,我們在委員會其實也討論很多次,我印象中如果沒有記錯的話,去年差不多這個時間,國科會就告訴我們說這個要報院了,所以為什麼今天桌上沒有院版,其實我也是有同樣的困惑,我想國科會跟數發部也需要好好的跟大家說明。我仔細看了一下,今天總共有14個版本,其中有13個版本,包含葛如鈞召委的版本都是基本法,但是民眾黨黨團的版本看起來比較像是監管的作用法。倘若主席今天堅持要進入逐條的話,因為基本法跟作用法的方向差太多,你要怎麼樣整合,我想會有很大的問題,所以我也是具體建議今天先保留。請主席等一下針對今天基本法跟作用法版本差異這麼大的狀況做出裁示,謝謝。

主席:好,既然大家對於院版都有點困惑,我也說明一下,其實最早AI基本法在賴清德總統擔任行政院院長的時候就想要提出,在幾屆會期前,2018年許毓仁委員也有提出草案,其實一路下來,我們不斷經歷了各屆的會期,我們這個會期也完整的完成了詢答以及公聽會,各界也都表達非常多的期待。當然我想我們剛剛有一定的共識,即發現行政院到目前為止還沒有提出院版,但這次的狀況比較特殊,我們也要給好球投手吳誠文主委一個感謝,當時確實準時投出了國科會版本的院版,只不過後來有所謂的二二六改弦易轍之日,所以現在換到數發部,確實不同黨派的委員也都不太確定現在行政院的版本是在數發部這裡還是在行政院。為什麼沒有辦法提出院版,有各種不同的說法,有人說兩版基本上差異不大等等,所以我想我們是不是……剛剛雖然有各種說法,我們還是先讓數發部部長做個簡單的回應,謝謝。

黃部長彥男:謝謝召委還有各位委員。基本上,在上次公聽會跟平臺討論還有我們很多的會議之後,我們發現各界意見還是非常分歧,因此我們還在凝聚共識。另外,當然也根據國際局勢的改變,剛剛有提到最近川普上任之後,美國對原來拜登所訂的一些AI政策做了很大的改變,也因為這樣的關係,歐盟及英國就決定延後AI推廣的監管法案,因此我們事實上還在觀察目前國際的發展趨勢。而且AI的技術真的變化太快,從以前的辨識型AI到後來的生成式AI,現在可能會有所謂的代理型AIAgentic AI),其監管的方式都不同,我覺得因為AI的技術還在變化,所以現在訂定會不會太早?這也是我們在討論的。至於細節的部分,我是不是請司長再補充?

主席:好。

蔡司長壽洤:報告委員,本部收到行政院要接辦AI基本法的立法工作,我們確實有投入時間,從26號到319號,政委也有邀集我們進行廣泛的討論,因此有部分條文我們有去融合。但是最主要在院版的部分,現在的進度我們有詢問,因為臺灣現在有特殊的政經環境,所以在資安或假訊息的環境之下,院裡對於風險監管方面特別慎重。同時在416號教文委員會也有召開公聽會,裡面的委員也有提到,針對特定場景分級管理部分,我們特別在院版的相關條文也融合了風險管理,也就是所謂劃紅線的部分,針對特別的部分有去研析。本部的立場仍然強烈希望由院版併案審查,讓院裡有一定的立場在AI基本法裡面表達,希望委員可以體諒。

主席:當然過去這段時間也謝謝數發部的承擔,但是各個委員有不同的想法。

請吳誠文主委。

吳主任委員誠文:謝謝召委、各位委員。國科會從去年把原來我們草擬的版本送到行政院到現在,其實大家沒有停下腳步,一直在蒐集各方的意見。行政院一直在考慮產業發展創新的需求以及民眾人權保護相關的意旨,因此各方的意見都還在持續蒐集當中。大家也知道,剛剛數位部也提到地緣政治、貿易衝突等等,其實我們如果回想3月的時候,在巴黎召開的AI峰會,美國副總統代表川普總統,在會後本來要簽署一個世界各國要同意的協議,美國獨排眾議,會後大家也發現美國的立場相當明確,就是在AI的發展上絕對不願意其他任何國家超越它,因為AI各種原始的科學研究及產業發展是從美國開始,再蔓延到全世界。目前除了美國跟中國以外,其他國家都會意識到AI的進展非常快速,在相關法律的制定上必須要很謹慎地因應,以免自己在AI創新產業的發展受到影響,同時又要兼顧人權的保障,因此這個議題相當複雜。

從我個人的觀點來看,AI的發展還在起步當中,這個起步將來甚至會跟量子運算結合,未來高速運算、AI、量子這幾個領域如何結合,現在還有很多的科學研發工作要去進行,所以各國反而變成採取比較觀望的態度,這個現象的確在最近也發生了,因此行政院可能現在也採取比較謹慎的態度,以上跟委員報告。

主席:請柯志恩委員。

柯委員志恩:我只是想詢問一下,照這樣的說法,這讓我有點confused,我剛剛也贊同部長跟主委兩位所提到的,AI本來就是瞬息萬變,隨時在變化,而且我們現在又提到川普,川普今天所講的初一、十五都不一樣。但是我還是要提醒,AI基本法它只是一個基本法,基本法的定義就是一個上位大法,所以它裡面的執行部分可以作為依循的標準。可是我剛剛從頭聽到尾,說實在的,我們也期待有院版,而且認為AI本來就是當前政府最重要的,你看吳主委不斷地為科技預算編列1,800億,還有幾百億、幾千億,就是希望能夠讓我們變成一個AI大國,臺灣也有這樣的實力。

我只是不能理解,我們現在在處理的AI基本法,它是一個基本法,從第9屆到現在,怎麼可能還拿不出一個基本法的基本主軸?數發部司長剛剛也特別提到,從2月開始你們就不斷在進行,可是到目前為止,好像又覺得因為瞬息萬變的關係,所以沒有辦法在這個時候提出,到底要給國人感覺到我們這個政府是如何?不然我們當場就覺得AI基本法目前來說不適合,因為沒有辦法應付這麼瞬息萬變的環境,我們就乾脆停頓,這也是一種態度,而不是大家坐在這個地方等不到院版,然後大家所講的,等著數發部的書面報告裡面又沒有辦法告訴我們。

說實在的,我們很努力的研讀,如果今天進入逐條,包括數發部比照大家所有的部分來說,你看第一條、第五條、第十條、第十二條,我相信以葛委員的版本或是以國科會的版本,包括數位平權或是有關於弱勢族群,也包括推動能夠跟生化產學合作,這12條都是有共識的。我只是希望透過今天,其實大家在大體討論的時候,已經針對第二條哪個主管機關討論了,如果要讓大家覺得我們這邊可以進一步,乾脆就是保留送出協商,否則在逐條裡面,我說實在的,大家仔細看,其實有很多是可以有共識的,起碼我的比對結果有4條是數發部同意的,也是遵照國科會部分的,這表示我們就有往前進的空間啦!

所以我們大家應該作一個決定,是要逐條還是就保留送協商,總而言之,總不能耗在這個地方,然後癡癡地等行政院的版本。我必須要老實說,委員所審的版本,不一定要有院版才可以,學輔法就是在沒有院版的狀況之下我們還是逐條,等院版真正來了之後,發現吻合度很高,我們就可以立即做到。我不想大家在這邊浪費一堆時間,然後還是耗在這個地方,從第9屆到現在已經多久時間,還沒有辦法搞出一個AI基本法。我還是強調,基本大法不是要你們去做到什麼多細節的部分,這讓我們的委員會真的是對不起對於AI立國這樣子的一個方向。

主席:謝謝柯志恩委員。

請羅廷瑋委員,接下來是謝龍介委員。

羅委員廷瑋:聽完部長跟主委的說法,感覺是因為瞬息萬變,所以我們不改變。AI基本法不是政治法案,我記得在改裝電腦界,最近葛委員也在改裝電腦,好像說3個月電腦就有一波新的更動、更新,更何況手機,可能是半年,但AI呢?就是瞬息萬變。這一次賴清德總統也說他是AI內閣,但是我們現在在訂定AI基本法,卻好像不太願意去大刀闊斧,我想許多家長也都非常非常的擔憂,我們會不會在AI的戰爭當中看不到車尾燈?對於AI的境界當中,我們會不會只是AI裡面的石器時代?我想今天這一個AI基本法,我看到這麼多裡面大概很多的委員都是有共識的,我覺得我們應該趕快處理,這個部分希望能夠趕快推進。

主席:謝謝。

請謝龍介委員,接下來是游顥委員。

謝委員龍介:謝謝。我想是這樣子啦!AI本來就是一日千里,這是一個基本法,在中美兩大陣營的對抗當中,顯然我們沒辦法,就是要站在美國這邊,這是必然的,但你不能全部只是等待,到底要強力監管,但也要兼顧發展,你又不能抑制發展。所以院版可以有某些豁免,但我們不能只有等待啊,我們必須要有所作為,6年了,6年來對於卓榮泰的AI內閣,其實很多人期待,像醫療AI對人的身體……因為未來一日千里、每天都在進步,新的東西出來,你不能沒有監管權,在強力監管跟快速發展中間,是可以取得平衡的,所以是不是要提出一個院版,這個院版裡面可以有部分的豁免、部分的容忍、部分的等待,不然要怎麼協商?

如果我們一等再等,若第3會期等過第4會期,會有很多人失望,尤其是賴總統跟卓院長。我不知道你們現在的態度怎麼樣,是因為要等美國川普總統,等到他的態度明確,我們才配合他來修我們的法嗎?我個人認為不需要這樣,我們有辦法在等待的過程中確定我們現在的基本態度。不然現在沒有院版,只有這些委員的版本,協商到最後還是大家都不滿意,不然你們可以接受沒有院版,最後協商這個法可以成嗎?主委,這樣有辦法嗎?所以院版還是要快點提出來,針對監管跟發展中間的平衡,然後進到各版本的協商,最後協商很簡單,大家沒有很大的歧見。各行各業都在等待,所以基本法出來之後,後面的細節、管理,包括在業界的發展,現在到底是要重發展、輕監督或是要嚴格監督、輕發展,行政院要有一個態度出來,不能大家都各做各的。如果是這樣,也不需要行政院跟立法院在這邊共同討論。

主席:謝謝。接下來請游顥委員,待會兒請陳培瑜委員、葉元之委員。

游委員顥:謝謝召委。同樣的也是附議不管是柯志恩委員或是謝龍介委員大家的意見跟看法,因為在人工智慧基本法,其實從第9屆到現在,大家已經經過非常多的討論,不管是數發部或是國科會,大家在立法院或是在內部也經過非常多的討論,所以整個草案從主管機關到每個條文,其實大家早就有想法。現在若執意等院版的話,其實社會各界都一直在期待,我相信部會也很希望這個法能夠早日通過,大家早日都有共識,所以本席還是希望在今天聯席過程中能夠針對許多內容,大家有明確的結果,因為這個不是今天才討論的,這是從第9屆到現在大家都已經討論很多次,對機關來講也都很清楚,所以機關在擬草案的時候早就有想法。所以,我是覺得與其我們等候院版,不管是國民黨、民眾黨或者民進黨的委員,大家就一起來讓這個法在今天有一個具體的成果,我相信這是社會比較希望能看到的,尤其在科技業,大家希望能早日有成果,謝謝。

主席:謝謝。請陳培瑜委員。

陳委員培瑜:謝謝主席。我想談一下,我知道剛剛在討論說,光是主管機關這件事情都還沒有談定,但是聽說你們教文的委員就希望如果要談到主管機關,那就要進逐條。可是剛剛柯志恩委員又舉了學輔法為例,我要講這不是一個可以同等比喻的案例,因為學輔法早在10年前就有這個法,而且當時的主管機關非常的明確,但這一次連主管機關都不明確的情況下,不同的主管機關有不同的想像跟不同部門之間連結的可能性。我認為光是主管機關沒有談定這件事情,就應該要好好花時間討論,更何況各個逐條裡面,很多委員的版本其實差異很大,我認為廣泛討論這件事的意義非常重要。

而且我要提醒剛剛也有很多委員有提到,各國現在對於AI監管的事,其實態度很不一樣,我認為剛剛國民黨委員一直提到卓院長也好或是賴總統也好,我想要提醒大家,目前在相關政策跟預算的推動上,在各個部會或是AI監管都已經有相關的措施在進行,臺灣目前雖然沒有AI基本法,但並不代表所有部會的行政推動或是預算支持停滯不前,甚至剛才有人指控是AI的石器時代,我非常不以為然,也感到遺憾。身為一個立法委員,看的不是只有立法,還要監督行政機關的運作,如果你真的認真去看各個行政機關目前在AI政策上的推動,就應該知道各個部會都有相關業務在推動,因此我認為,就算我們現在沒有基本法,但我們很多事情已經在推動的情況下,更實質的去跟這些政策、預算對話,可能是更好的機制。當然,我也認為基本法也好,或是大家可能後續還想要加蔥、加料變作用法,我認為都需要更多實質的討論,而且現在因為國際的聲音很不一樣,我們並不是要等到美國立法之後,我們才來立法,而是如果相關科技所對接的,就是像美國、英國、歐洲這些國家他們的需求,我們更要回過來看,當你在跟這些國家對話的時候,你難道不用回來看我們自己現在這樣做是對的嗎?所以我認為這件事情真的很需要更多實質的討論,以上謝謝。

柯委員志恩:不好意思,因為陳培瑜委員剛剛點名「柯志恩」三個字,所以我還是要做出回應。培瑜委員,我想我剛剛所講的脈絡是說大家都在講要等院版來,我們才來繼續逐條,我剛剛只是用學輔法來說,沒有院版,我們還是有辦法進行逐條,不要單指一個執行的機關,這不是我剛剛所講的本意,我還是把話說清楚。然後,執行機關在第二條的部分的確沒有談定,所以即使廣泛討論,其實結果也還是莫衷一是,還是沒有辦法前進,所以進入逐條的狀況跟廣泛討論的狀況是一樣的,但是你進入逐條,起碼你往前推進一步,不管在第一條或是我剛剛說的第四條或第幾條當中我們有一些共識,若沒有共識的話,我們就送出委員會,然後再來繼續下一步,這樣才有辦法讓這個基本法一步一步貼近完成的階段。

主席:接下來,請葉元之委員,謝謝。

葉委員元之:主席、各位同仁,大家都贊同我們現在是非常重視AI的國家,當然行政院或總統有推什麼AI政策,大家都非常高興而且歡迎,但這跟我們到底要不要立法,我覺得並沒有衝突,畢竟民主國家還是依法行政,而且透過立法可以讓政府繼續在這一塊更完備、更快往前走。所以如果大家真的重視AI的話,我覺得AI基本法早日訂定絕對有相關幫助,現在如果只是卡在沒有院版或是針對有一些條文,大家意見不一樣,其實法律常常也都發生這樣的狀況,很多法律在推出之前,大家每個版本都不一樣,但是總是要往前走。

AI基本法也開過公聽會,上次都有質詢過,如果就是因為有一條大家的意見不一樣,乾脆我們就不要再討論了,這樣永遠都不會前進,所以其實我也是主張今天要有一個結果,如果沒有院版的話,那麼這個法案送出委員會之後,就請行政院趕快把版本送進來,大家就針對行政院版本還有各委員版本,不管是一起協商也好或是討論也好,我覺得往前走才是主要的目的啦,如果總是找一些理由不要做是比較容易,但這應該不是國家的需求,謝謝。

主席:再來請徐富癸委員。待會接下來請張雅琳委員、郭昱晴委員、吳宗憲委員、黃健豪委員、林宜瑾召委,謝謝。

徐委員富癸:謝謝主席。各位同仁,剛剛聽了這麼多委員的提問,我們還是認為這個法真的不能這麼草率處理,尤其我們過去看到藍、白兩黨在很多案子上面的處理,真的是「橫柴入灶」,這從很多例子都可以看得出來。針對今天的案子,尤其AI涉及各個領域,我們都支持應該要加快進行,但是因為各領域有差別性的不同,所以更應該考量到多元的發展,不應該將基本法用無差別的方式進行監管。尤其過去我們知道原本在交通委員會主管的業務,在藍、白強行輾壓之下,又把它移到教文,主管機關原本是數位部又變成國科會,這樣變來變去,也不知道到底要由誰來管?我想在這些問題還沒有釐清之前,我們更應該謹慎,尤其我們看到現在歐美及英國等先進國家,他們對於監管的取向也有不一樣的態勢,我們更應該要謹慎小心才是,謝謝。

主席:好,接下來張雅琳委員,謝謝。

張委員雅琳:我想大家都非常關注AI這件事情,這個可能是今天大家唯一的共識啦!怎麼說?剛剛雖然很多的委員一直在講,我們從第9屆開始討論了很久,但是我認為就是因為科技日新月異,不代表討論很久,我們今天就可以直接討論。如果我們只是靠傳統的修法,會不會造成我們的修法根本沒有跟上這個時代?還有現在各個國家包含歐盟、英國及美國等等,我們能不能對接上,並能確保我們的產業有競爭力?我認為這還是需要更審慎的討論。

第二件事情,在整個法案的核心裡,人工智慧的定義都沒有共識,這會直接影響到這部法所涵蓋的範圍及風險分類治理的主體,以及技術落地實務的界線。再來,剛才還有提到,雖然都已經開了公聽會,但是我想大家過去可能在討論AI的時候,並沒有討論到影響兒少的部分。過去我們在很多的法案都會做兒少的影響性評估,今天家長很在乎自己的小孩有沒有跟上時代,更在乎自己的小孩會不會因為AI而走上死亡之路,因為就在不久前,美國佛州也才發生了14歲的少年,因為跟AI機器人對話,最後被引導走上死亡的這條路。兒少的影響性評估我們目前似乎也都還沒有做,在我們之前的公聽會,也沒有找相關兒少團體來發言的時候,我們對於AI的發展會不會實質的影響到兒少的最佳利益?我們是一無所知。在這種狀況之下,要進入實質的討論,我認為對兒少來說,並不是一件好事,謝謝。

主席:謝謝,接下來請郭昱晴委員。

郭委員昱晴:我再次強調我覺得我們不應該成為比誰先送案的競技場,更不能犧牲立法的品質。其實AI的發展牽涉的範圍非常廣,包含像是隱私權、勞動權、公平競爭、資安教育以及未來人才的培育,這絕對不會是單獨就可以拍板的。

剛剛大家都有提到這個主管機關未定、共識不足,貿然的逐條其實還會衍生更多將來還要解釋跟行政爭奪,還會造成法制上風險的問題。我想AI不是寫好條文就可以管了,而是要靠整體制度體系的落地,我們真的有準備好嗎?雖然這是上位法,但是上位法是不是應該更彰顯它的價值?如果今天貿然的逐條或者在沒有共識之下去討論這些,將來留下的這些法律漏洞丟給未來的執行者跟主管機關去收拾,我想這是一個非常不負責任的態度,以上。

主席:好,謝謝。

接下來有請吳宗憲委員。吳宗憲委員也是我們這一屆會期最早主要提出人工智慧基本法草案的委員。

吳委員宗憲:謝謝主席。去年3月我跟葛委員及洪孟楷委員,我們那時候就共提了AI基本法,所以對於行政機關而言,這絕對不是突襲啦!去年3月我就已經提出來這個基本法的草案,這個草案也不是2月進立法院,3月就生出來,這個草案是我自己之前花了一、兩年的時間跟一些法律系的教授,像甘添貴教授等等,我們是一步一步的研究出AI的走向,因為我自己的碩士論文就是寫人工智慧,所以這東西不是突然騰空出世的。

我們當初提的時候,剛好歐盟也才剛提而已,但是現在13個月過去了,我們還在原地踏步,而我們旁邊的韓國反而從完全沒有到現在超前了我們很多。我再跟各位報告一下,今天這是基本法,不是作用法,剛剛很多委員提出很寶貴的論述,但那個是在作用法的時候才要討論的,基本法其實不需要討論到那麼細節或各個細項的東西。臺灣現在是出口導向的國家,現在全世界都一直在推動人工智慧,如果我們不趕快把這個法律框架、原理及原則處理好的話,我們整個會繼續的落後。

我也跟各位報告,因為賴政府上任之後,一直希望要推動AI內閣、用AI治國。我也非常認同政府的這個政策,可是如果這個政策連最基本的基本法都推不出來,更不要講未來的作用法,基本法每拖一年,作用法就要再往後好幾年,更何況作用法還涉及科技的進步,人工智慧隨著科技進步,它可能1個月就完全不一樣,基本法一直拖,可能今年立法出來的作用法,明年整套不能用,大家有沒有想過這個問題?光是ChatGPT就已經翻了多少版本了。

我再提一個,我也希望趕快把這部法弄出來,因為人工智慧跟我們一般人類的智慧不一樣,人類智慧要逐年去累計,所以一個小朋友從……像我小孩4歲而已,他現在還不知道火很危險,他要燒到幾次之後,才會知道火不能碰,可能要3年、5年以上的時間,但人工智慧是全世界的機器同時學習,它可能在1秒鐘之內學習到完整的知識,所以它的變化是瞬間的,而不是像我們人類是慢慢的、一步步走,所以人工智慧的法案,立法的思考跟我們處理人類社會那種法案的思考是不能夠一樣的,我們要學習的東西需要10年,它可能是一瞬間1秒鐘之內,因為它累積的資料庫是全世界所有有連線的人工智慧機器所學習到的資料,它知道走臺階沒有抬腳會跌倒,小朋友可能要花1年,但是人工智慧可能是0.5秒內,因為有500台、有1,000台機器在這地方跌倒,它就會告訴大家不可以在這地方這麼做,一定要抬腳。

我想速度這東西非常的重要,我們去年3月就已經提出整個法的草案,如果行政機關跟不上,我們就只能由立法機關趕快朝這個方向去做,謝謝。

主席:好,接下來請黃健豪委員、林宜瑾委員,然後吳沛憶委員。

黃委員健豪:謝謝召委。今天我們大家討論人工智慧基本法,既然是基本法,我想它的核心應該是技術治理,而不是在數位管理的部分。大家過去在討論的時候,有些人會非常強調要去做資料運用或是平臺的管制,這個應該是在後續應用上,也就是在AI基本法立好之後、在上位法處理好之後,進入產業政策或實際執行的時候,我們再來討論所謂的監管或者應用的部分。

在現階段既然要處理基本法,我覺得應該從技術倫理演算法的透明性及科學自主性上切入,這也是國科會過去長期擔任的角色。過去提到像是AI人才培育計畫、臺灣AI中心、AI臺灣行動計畫等等,從2018年開始都是由當時的科技部主導這樣的重大政策,所以我想這有一定的延續性,這個人工智慧不是單純的、不是直接進入數位應用工具,而它一開始所謂的……我們現在這個階段討論的是生成科技怎麼去發展、怎麼去研發?它有機器學習及神經網絡,還有量子計算這些技術面的問題及科學面的東西。

我覺得現階段在處理AI基本法的時候,應該要由國科會這樣的機關處理,由它來擔任主管機關,相對來講會比較有助於前瞻性。當然各位也比較過,大家也都清楚現在全世界就是兩大聯盟在做AI,一個是像中跟美都是屬於發展性的,我們不管政治,只管他們對AI人工智慧的態度,而歐洲比較保守,是強調監管,而美國跟中國比較強調發展,在科技的競爭上看起來,歐盟目前因為強調監管的情況下,確實他們對於AI的管理及AI的發展相對在應用上沒那麼強烈;所以在科技面,我覺得至少現階段我們先處理科技面及研發面的時候,還是應該要強調科學的部分,還有強調發展的部門,後續如果進入實質上的商用,還有各政府部門要討論在金融系統怎麼管理,或在戶政資料怎麼管理等等的,到那個時候可能數位部或是我們監管的機制再進場。今天討論的是基本法,基本法是上位,我們是先把這個上位處理好,再去處理後續應用部分,以上,謝謝。

主席:接下來請林宜瑾召委。

林委員宜瑾:謝謝主席。今天排審最主要是這樣,我認為目前沒有數發部的院版出來,因為這是一個新法,如果能夠等數發部的草案出來,再跟大家的版本來併案審查的話,這才會比較妥適。為什麼會這樣講?因為第一個,其實行政院的大方向規劃就已經是要委由數發部來主責AI基本法的推動,之後我們還會針對很多部分,像風險如何分類,然後會有個風險分類的機制、會有個促進資料創新利用發展條例等等,與AI相關的子法其實也都是由數發部來做盤點,所以為什麼要等數發部的草案出來?因為行政院是這樣子的處理方式,這畢竟是一個新的法,可是現在很多委員的版本,像召委的版本就是以國科會作為主責單位,這當然就有很大的歧異。當然目前就我了解,行政部門也不是不做事,其實已經由政委協調會議,有協調出AI治理的方針,而且他們認為數發部才是最佳的主責單位。可是葛召委執意要國科會來主管,而且也安排在教文委員會來主審,當然這部分我是比較難以理解,這樣的安排是有什麼更專業的考量嗎?這部分等一下看葛召委怎麼說。

再看到剛剛其他委員的說法,其實AI的發展真的是牽涉到國際關係跟全球布局,臺灣對於世界上的潛在競爭對象又或者合作對象的一舉一動,當然必須要很即時的掌握,像英國為了觀察美國川普政府的政策走向,他就保留對AI大型科技公司的吸引力,延後AI監管法的推動;美國甚至在未來10年內還禁止各州制定針對AI的相關法規;至於歐盟也表態,如果這個技術標準跟指引還沒有就緒,也不排除延後部分監管法規的生效。國際上的這些案例給我們的啟示是什麼?AI是人類發展的新領域,它變化空間相當大,我認為今天的審查是完全違背世界各國的謹小慎微,不僅在院版還沒出來之前就要趕火車,而且還硬要跟行政專業唱反調,為了國科會跟數位部誰是主責單位的問題。我是覺得審法案真的是為了福國利民,而不是爭功搶勞,所以是不是可以請行政部門做出全盤的評估之後,我們再來處理?

主席:因為林宜瑾召委有點名到我,我就快速回應一下。第一點,我想國科會主委怎麼說都還是政委,而且他有順利的在他所承諾的期限之內提出了一版草案,只不過後續因不明原因被行政院收回。同時在機關的人力上面,國科會的人數也是較多的,同時在過去AI數位相關的預算高達五十幾億,總共有將近三百億是由國科會在主導,而數發部相對只有五億左右的預算,而且是數位加AI,還不是只有AI,人力相對也比較吃緊,現在又要做打詐、又要做資安,我們也非常擔憂可能會影響到信任的問題,因為近期有一些數位、資安、憑證等等遇到一些信任的問題,我們也會擔心現在可能有人開始不信任我們的數位,甚至未來會不會有人不信任我們的AI?甚至賴清德總統也在2月的時候說,這是民進黨的優先法案。結果我們現在還在這裡講各種各種的原因,而不往下推進,我們也擔心各國會不信任臺灣的政黨。所以我們想的是更上位的事情,也希望大家可以一起來理解,謝謝。

接下來請吳沛憶委員。

吳委員沛憶:剛剛前面吳宗憲委員的發言,部分我同意,不過有一個部分,我想前面可能還沒有到,因為剛剛說今天都是基本法的討論,統統都沒有作用法。不是啊!我剛剛前面就有提了,民眾黨黨團的提案完全是作用法,你看第三十六條「足生嚴重損害於個人資料當事人者,處五年以下有期徒刑」,第三十七條「屆期未改正者,處新臺幣二億元或企業年營收額百分之四以下罰鍰」,這個當然是作用法,而且不是只有第三十六條、第三十七條,是整個法案本身就是人工智慧發展及管理條例,這個完全就是作用法。

所以如果今天要送出委員會、要去協商的話,請問這個基本法跟作用法要如何協商?而且它是黨團的提案,不是個別委員的提案,還是我們要完全拋棄民眾黨黨團的版本,那民眾黨黨團到協商的時候會同意嗎?所以我的建議還是,不是說我們不能在委員會好好討論、逐條討論,但是今天你一個黨……這兩個差異太大了,請問基本法跟作用法要如何有共識?今天現場其他提案委員有同意要處以刑罰或有同意要處到二億元、一億元的罰鍰嗎?主席,這個是務實的問題啊!所以我剛剛說部分我同意,可是在基本法跟作用法兩者差異這麼大的情況下,我真的不知道如果你們今天堅持要送出委員會,到協商時有可能會有共識嗎?剛剛龍介委員也說了,協商會有共識嗎?不會嘛!這個是關乎產業很重大的法案,我希望不要這樣子來處理,謝謝。

主席:謝謝。

有請林沛祥委員,接下來請劉書彬委員。

林委員沛祥:謝謝主席。有關於人工智慧基本法這個案子,我認為要儘快送出委員會的最主要原因是,deep learning(深度學習)這東西是非常可怕的,剛剛不管是宗憲委員還是其他委員都已經講過了,當我們現在還在討論這些事情的時候,AI的速度不是像一般產業慢慢的前進,他們的科研,甚至我記得我看過一個影片,是兩部AI自己在講話,最後他們發出自己才懂的訊息,人類是不能懂的。在這個前提之下,如果我們對於AI的發展方向不明確,很有可能在未來,不是只有單純的說AI的發展上,而是我們在全國、我們在國際之間的產業競爭,或是我們未來可以發展的方向,都會受到阻礙。試想一下,我們現在是競合關係,是跟全球在做競合,但是如果我們沒有自己的特色,我們政府如果不能用AI基本法決定我們的特色,來限制可能有危害的地方,甚至發展出我們自己的優勢的話,我認為在未來的經濟競爭跟產業競爭上,我們會有極大的衝擊,甚至我們可能做的都已經晚了。

第二點,我個人認為以國科會來做主管機關會比數發部來得好,原因很簡單,剛剛有委員提過,我深表認同。我記得我最近看了最新的報告,美國跟中國在AI上面算是目前競爭力最強的兩個國家,而歐盟的科研能力很強,為什麼他們沒有辦法跟美國或中國並駕齊驅?原因是歐盟需要27個國家都能夠一致性的認同某些政策,在這種前提之下,我們看到他們的AI發展必須要獲得共識之後才能出來,所以以歐盟AI政策的發展來講,他們是用管制或協調的方式,相對於美國跟中國讓業能夠自由發揮,這點對於國家競爭力是比較有幫助的。因此,我會認為以國科會來做主管機關會比數發部來得恰當。

主席:請劉書彬委員。

劉委員書彬:謝謝主席。民眾黨參與AI相關法規的制定是起於第10屆的時候,是由吳欣盈委員所推動的,作為一個小黨,我們認真考慮到的是,AI在臺灣的發展,事實上就如之前吳主委談論過或是各個單位在公聽會裡談論過的,目前臺灣AI的發展在研發上面是落後的,因為沒辦法發展,目前這個部分是以美國跟中國為主,但是我們確實重要的是在應用的部分,所以就必須要有很多的,包括一種基本原則的運作,還有在一個鼓勵發展方向的部分、還有更重要的是職權上面的認定、還有在風險分類上面的指引,這些部分事實上只有在一個作用法當中才能比較完整的呈現出來,當初我們是善盡一個小黨的責任把它呈現出來,但是目前看到各黨的版本當中,他們對於職權的部分其實是更不明確的,像我們是在發展及管理條例的第四條當中呈現出來。

11屆在審議的態度上面,我們當然知道我們的版本跟另外兩黨不一樣,但是我們希望能夠保持一個小黨對全面性的發展當中,目前是以發展、以應用為主的時候,呈現出它在架構上面,還包括了鼓勵發展,特別是風險。有一些罰則當然是因為作用法的關係,剛才張雅琳委員也提到兒少的部分沒有注意到,的確是,但是像深偽技術的數位影音目前都已經在網路上發生問題了,這些部分都必須要有很具體的指引方向。包括發展原則,我們的提案有一章專責特別在講,呈現出我們小黨對於各種議題的重視。在這樣的情況下,我們希望能夠保留這個名稱,到最後能夠透過政黨協商呈現出來。到時候尊重大家在協商當中的態度,當然可能呈現出來是……雖然兩黨還是比較多數,但是我們希望在委員會能夠還是保留。謝謝。

主席:好,謝謝……

劉委員書彬:可以等一下到實體討論的時候再說。

主席:對,就是保留送協商。剛剛有非常多委員的意見,我稍微簡要回應。第一、並非沒有院版,其實國科會有提出過一個版本,我相信數發部也做完他們的工作了。第二、關於一些人權、兒少的保護,第四條就有自主原則、保密原則、安全原則,包含保障人民生命、身體自由及財產之安全,包容原則是多元包容、確保公平、避免歧視,其實就是需要有一個上位法,讓各個機關去做法規調適,我相信就可以做到信賴。一共有第四條、第六條及第十六條,都是AI的信賴、風險分類以及個人的保護,強調數位平權的有第五條、第九條、第十七條,我們也用了智商157的各種新型態比對方法,我們也看到國民黨版本、民進黨版本之間的相似度高達八成五,其他像民進黨、民眾黨與國民黨版本彼此之間的相似度也高達七成,所以並非沒有共識的點。同時我們剛剛也提到,剛剛有李委員昆澤、柯志恩委員提案全案保留。針對14個版本,我剛剛提到經過比對也是高度相似,現在本法已經討論將近一個小時了,在場委員均充分表達意見。現有國民黨委員提案全案保留送出委員會,交付政黨協商,案由是「建議本案停止討論,全案保留送院會協商,是否有當,敬請公決?提案人謝龍介、林沛祥、羅廷瑋、柯志恩、洪孟楷委員」。請問在場委員,有無異議?(有)。

范委員雲:這麼複雜的東西……

張委員雅琳:落差這麼大耶!作用法……

主席:我再表達一次,請大家去google一下「賴清德 人工智慧」,20171218號賴清德擔任行政院長的時候,就呼籲要運用人工智慧提升競爭力、創新、創意。這個是民進黨自己的優先法案,民眾黨也提出他們的版本,七成以上跟我們有相關的共性,國民黨也希望盡速,召開公聽會時各界也都是非常期待,從2017年到現在已經經歷八年了,我想我們不需要再用其他的理由。沒關係,我們就來看一下這個提案,既然有提案,我們是不是……

張委員雅琳:我覺得我們還是要……

柯委員志恩:可以!可以進到逐條。

主席:可以進到逐條,因為剛剛你們是要廣泛討論啊!

張委員雅琳:所以你們現在要做出一個……

主席:因為剛剛有李昆澤委員……

洪委員孟楷:我們還是進逐條……

主席:對,剛剛是因為李昆澤委員有提,我們想要逐條,你們說想要廣泛討論。

張委員雅琳:保留在委員會!

洪委員孟楷:召委,我們一個多小時的討論,其實大家有共識還是有共識:第一、AI基本法重不重要?重要,大家都應該、臺灣都應該要有。第二、大家都希望這個基本法含括的面向更完整、更全面,我們一定是有提出來之後才能夠逐條,然後大家來協商。我剛剛看了一下林宜瑾委員的版本,很多的條文也寫得很好。

柯委員志恩:精神一樣。

洪委員孟楷:對啊!一樣。如果今天是第一個會期,我還是強調這一點是國科會跟數發部不可迴避的責任。如果今天是2024年第一個會期,我們還可以這樣來溝通,因為那個時候世界上還沒有進行到那麼快速,可是現在已經過了整整一年,我們還在原地踏步。再者,很多人剛剛講有一些委員的版本是以國科會為主管機關,那是因為那些委員的版本在去年就提出來了。去年民進黨政府真的就把國科會當成是AI人工智慧基本法的主管機關,到了去年11月才從國科會突然轉成數發部。你不能說去年11月才從國科會轉成數發部,結果現在倒因為果說,為什麼有些委員的版本主管機關是國科會?有些版本是數發部?那是因為這個過程,但我覺得既然大家有共識,我們是不是逐條、逐條來看,文字相近的、精神相符的就讓它可以順利出委員會?如果文字不符或者條文大家討論,真的沒有辦法就保留,我不知道等一下數發部能不能回應,什麼時候可以提出來版本?我們有一個月的冷凍期,為什麼會有一個月冷凍期?就是希望在一個月裡面,各黨回去再凝聚共識、縮減版本,另外也要要求行政部門提出來,難道我們要開空白支票,持續讓你們把時間一拖再拖嗎?人家都已經上太空了,我們還在殺豬公,這樣可以嗎?謝謝。

主席:好,謝謝。可不可以請數發部明確展示一下,什麼時候會提出數發部確認的院版?還是你們其實已經提出了,只是不好意思說?

黃部長彥男:不是。

主席:有嗎?如果沒有具體時間,我想……

黃部長彥男:現在是沒有,但是我們在……

主席:沒有具體時間。

黃部長彥男:我們在1131122號有送……

主席:2013嗎?113

黃部長彥男:113年。但就是剛剛講,因為各部會的意見很多,公聽會學者的意見也很多,所以我們還在討論中。

主席:所以2024年(113年)1122號有送一個版本,有一個院版。

黃部長彥男:因為還在討論中,所以目前還沒有院版。

主席:謝謝部長。我們是不是就進入逐條?因為我們想要進逐條的時候,你們又想要廣泛討論,這樣會沒有結果。

請陳秀寳委員發言,謝謝。

陳委員秀寳:謝謝召委。剛剛召委員有要數發部再把版本提出,所以主管機關是在數發部。既然主管機關是在數發部,為什麼是教文在審?一開始我看到的是,既然行政院認定主管機關是數發部,我們也覺得數發部要儘快提出你的版本之後……

柯委員志恩:聯席……

主席:不好意思,我們是聯席,陳雪生委員、廖先翔委員、黃健豪委員,也有民進黨的……洪孟楷委員也是交通的。

陳委員秀寳:但主責是不是應該由交通……

主席:聯席,謝謝。

陳委員秀寳:既然教文召委排審是聯席,那麼交通委員會的委員們自己也有會,他們沒有辦法來參與……

柯委員志恩:都在那裡,看到了……

陳委員秀寳:今天我想請教的是,既然主管機關是在數發部,我們也可以去聯席他們,我們為什麼不尊重行政院?

主席:不好意思,因為我怕民眾有點誤會,剛剛交通委員會的洪孟楷委員、游顥委員、李昆澤委員、徐富癸委員及黃健豪委員都有發言,廖先翔委員、陳雪生委員都還在現場。

陳委員秀寳:您排了聯席,所以他們必須要來。現在我的質疑是,既然主管機關就是在數發部,為什麼教文一定要把它排到我們這裡來聯席?

主席:謝謝,我也回應一下,我們是依照院會交付。依立院議字第1140701906號,「請貴會會同交通委員會審查本院委員許智傑等27人擬具人工智慧基本法草案」,所以我們是依據立院相關的決議。

陳委員秀寳:既然數發部是主管機關,主審、主場應該要在交通委員會。我們是聯席沒有錯,但不應該是教文通知他們來聯席,應該是……

主席:對不起……請你講完,不好意思。

陳委員秀寳:主場不是應該要在交通委員會嗎?

主席:好,謝謝。發言完畢嗎?謝謝。我想您提到的剛好就是一個意見、就是逐條。因為到最後一條的時候,我們就會討論到相關的主管機關,我們現在是要逐條還是要討論?我們不能逐條了以後,你們說要討論;我們說要討論了,你們又說要逐條,所以是不是請民進黨的委員決定一下?

我們現在又有一個新的提案,建議本案停止討論,進行逐條討論。

建議本案停止討論,進行逐條討論。是否有當,敬請公決。

提案人:謝龍介  林沛祥  葛如鈞  羅智強  

主席:請問委員有無意見?(無)沒有意見,通過。我想我們就逐條,謝謝。

范委員雲:有意見!

主席:有意見,那就表決啊!因為我們已經提案停止討論了,現在又要針對這個提案再進行討論,我想我們就表決是否進行逐條。我們再問一次,我們希望讓社會大眾以及國際看到我們的共識,好嗎?因為這個真的是一個非常基本、上位的法案,我再問一次……

范委員雲:我想問召委一下,逐條時我們是依照葛如鈞的版本,還是許智傑的版本,還是林宜瑾的版本?

主席:我們全部都有比較,相關文件都在各位的桌上。

范委員雲:因為文字差異真的很大耶!

主席:沒有很大。

范委員雲:沒有很大嗎?我剛剛看了,文字順序差異還是滿大。

主席:國民黨、民進黨都是八成五以上一樣,AI比對過了。

羅委員廷瑋:AI比對過了,七成、七成,雷同、雷同。

主席:全部的版本高達七成是相似的,好不好?

范委員雲:你所謂的七成只是關鍵字,可是順序的話,我們是以葛如鈞的「為建設智慧國家」,還是林宜瑾的「以人為本……

主席:不是關鍵字,順序我們都有整理出來,順序部分,是不是兩案只要差一條,後面全部都不一樣,就是相似度百分之零?也不是吧?

范委員雲:另外,剛剛秀寳委員講得很有道理,因為我們審法條的人未來就是主監督嘛。

主席:范雲委員發言完畢了嗎?

范委員雲:我覺得如果是交通委員會的召委來安排的話,未來監督跟修法一致性,權責也比較能夠追究啊。

主席:范雲委員發言完畢,我想立院相關的議事人員都有整理得非常完整,包括每一個條文順序的差異,還有相關的文字內容,我們都整理好了,也都在各位的桌上。那我們就逐條,好不好?我們不討論了。

最後一個意見表達,請伍麗華委員。

伍麗華Saidhai Tahovecahe委員:謝謝主席。我剛剛聽到秀寳委員提到一個很重要的點,其實剛剛我第一次發言的時候,我也有表達過,確實就原住民族的立場,我也很希望有一部法來約束目前AI人工的發展,但是我要談的就是,我看到主管機關的歧異性很大,沒有共識。剛才秀寳委員提醒一點,因為突然數發部就接招了,我自己在立法院的這一段時間當中,有一部法原住民很重視,叫做原住民族學校法,但是從第10屆的第1會期拿出來排審,擱置至今,也是因為主管機關喬不攏,所以我覺得對待我們的原住民族學校法,只是因為原民會、教育部,主管機關推來推去,每一次都跟我們說去內政委員會排審,有時候跟我們說要在教文委員會排審,我覺得剛剛秀寳提醒很重要的一件事,其實在大家的整個討論當中,歧異性最大、最沒有共識的就是主管機關,所以我必須要表達這個意見,也希望這個意見未來在我們的原住民族學校法也能夠被討論、看見,謝謝。

主席:還有沒有意見?如果沒有,我們就逐條,好不好?好,我們就進行逐條,OK,沒有異議、沒有異議,好,沉靜3秒,沒有異議,好,關於這個提案我們就通過。

我們逐條第一案,因為剛才提到的意見,都在逐條立刻就可以討論到了。針對第一個法案名稱,我們看到以上14案裡面有13案名稱是一樣的,都是「人工智慧基本法草案」,有一案是「人工智慧發展及管理條例草案」,我想是不是建議我們就以比較多的為主,還是怎麼樣?有沒有意見?好,沒有意見,我們就以「人工智慧基本法草案」作為本案名稱,照葛如鈞、邱若華、羅廷瑋、萬美玲……

請劉書彬委員。

劉委員書彬:謝謝主席,剛才我在第二輪的回答當中有去提到,人工智慧發展管理條例草案最重要的意義就在於,目前它因應臺灣的發展是以應用為主,因此,這個部分我們是希望能夠保留,本黨團的意見是希望能夠保留名稱,但是依照最後所呈現出來的、法案逐條討論出來的結果,再回來看這個部分,我希望現在暫時保留,以這樣的方式處理,希望得到委員的同意。關於名稱,我們看最後的部分,因為最後法條是什麼樣子,目前都還在討論。謝謝。

主席:好,謝謝劉書彬委員發言。

我想法案名稱我們就保留送院會處理。

第一章章名,賴士葆委員有寫「總則」,台灣民眾黨黨團也有寫「總則」,這樣子算起來有12案是沒有總則的,有沒有委員有意見?

請許智傑委員,您的版本是沒有總則的。

許委員智傑:謝謝,其實這個案子我們在交通委員會也討論了很久,關於這個法案的主管機關,當然在教委會這邊……

主席:不好意思,召委,那是第二條,第二條會討論到,謝謝。我們現在是在討論第一章章名。

許委員智傑:第一章,現在已經進入第一條了。

主席:對,總則,您的版本沒有總則,賴士葆委員有總則,台灣民眾黨黨團是有總則,您剛剛提的這個意見,在第二條立刻就可以提出想法。

劉委員書彬:主席,因為本黨的版本有總則,這部分我建議也是一併處理,好嗎?

主席:好,第一章章名我們就保留送院會處理。

我們接下來進入第一條。第一條,每個人都有版本,這個是它的目的、立法目的,關於這一條有沒有意見?

請柯志恩委員。

柯委員志恩:我覺得第一條雖然大家版本的用詞(wording)是不一樣的,不過它最主要的立法目的是要納入數位平權的概念。我想很多的委員,不管國民黨委員,還是民進黨委員,在寫第一條的時候都是遵照國科會當初所立定的部分,只是在詞義上面不一樣,所以請主席稍微看一下,如果大家覺得,因為我光是看第一頁當中楊瓊瓔委員的版本跟葛如鈞的版本,還有後面許智傑的版本等等,你會看到他們的字句其實都大同小異,就只是一個數位平權,所以是不是在wording部分大家把它改好一點,我覺得第一條是可以得到最大的共識的,好不好?

主席:我看其實像萬美玲委員也有提到國家文化價值,林宜瑾召委也有提到文化價值,確實是非常有共性的,包括國民生活福祉等等,許宇甄委員的版本也有提到國家文化價值,許智傑委員的版本也是有提到國家主權、文化價值,其實第一條是幾乎一樣,是有共識的,wording而已啦,謝謝。

請張雅琳委員,再來是吳沛憶委員。

張委員雅琳:我想這個可能也不是只有wording啦,我覺得在基本的立法概念上面就有點不太一樣,因為像葛如鈞委員是「為建設智慧國家」,這個目的性是為了建設智慧國家,可是國科會或是其他像張嘉郡委員的版本、邱若華委員的版本,他們是「促進以人為本」,不該侵害人的生命、財產等等,以及要提升國家的永續發展和競爭力,我覺得這個在開宗明義上面就有差異,所以我認為在這一條上面,我們還是應該要再做一些釐清,到底是要以建設智慧國家為主,還是以人為本來作為這一條的宗旨,謝謝。

主席:請吳沛憶委員,然後待會是郭昱晴委員、林宜瑾召委。

吳委員沛憶:在第一條當中,其實我們就看到很多版本,對於這個法到底是基本法,還是作用法,還是特別法,其實差異就很大,並不如剛剛所說的只是文字差異。我舉例而言,林倩綺委員、吳宗憲委員、賴士葆委員、楊瓊瓔委員,還有民眾黨委員的版本,在第一條第一段最後都有規定「本法未規定者,適用其他法律之規定。」這就變成這一條,我們現在立的這條法變成有優先適用性,這個就是特別法的特性,這跟我們剛剛講基本法又不一樣。然後民眾黨黨團版本的第一條最後一段有說,對於軍事用途所發展之人工智慧,不適用本法之規定。如果它是基本法而不是作用法的話,就不涉及監管,所以其實根本也不需要特別去寫要排除軍事用途。我認為這根本就沒有共識,所以以第一條而言,我的具體建議就是保留。

主席:郭昱晴委員,我們保留送協商,還是您先發言?您剛剛有舉手。

郭委員昱晴:我們看到這第一條,包含像吳宗憲委員的版本說特制定本法,本法未規定者適用其他法律之規定;再來像葛如鈞召委的版本,其實是為了要建設智慧國家;還有部分是講要以人為本。我想第一條應該是整部法律的精神所在,可是現在光是這短短的幾行文字都會出現各個不同的版本,臺灣是一個多元且多語的社會,光是這個部分我們其實就覺得,除了剛剛這些東西,我們是不是也要再加強民主國家推動可信任AI的治理基礎?我想光第一條這個部分,其實大家的意見都這麼多,是不是應該要先保留?

主席:好,謝謝郭昱晴委員。再來許智傑委員,然後范雲委員。

許委員智傑:謝謝召委,大家好。現在美國、日本訂定的AI基本法比較寬鬆,他們訂定的是一個概念,這個概念其實不是去管那麼多的細節。現在其他委員的版本,有些是屬於比較偏美、日的概念,有一些是比較偏英國的概念,我們的基本主張其實就不太一樣。現在世界上各個不同國家的主張也都還不太一樣,大家都還在摸索當中,所以我建議這個我們還是保留,不要有結論。因為現在這個結論送出去了,恐怕將來整個世界的潮流怎麼轉變你不知道,這一條我們還是沒有共識,所以我主張還是要保留。

主席:好,謝謝,范雲委員。

范委員雲:我們剛剛說什麼70%一樣,這就是一個量的概念,沒有看到質的差異。我們剛剛講的,譬如民眾黨的這是一個作用法還是基本法?然後它的目的是智慧國家還是以人為本的相關應用權益保障?這在精神上就像我們剛剛說的,你是走歐盟的路線,但現在英國也喊卡,然後歐盟也有部分的條文希望能夠暫停下來,主要就是在這裡面的一個衝突嘛。

對臺灣來講,譬如說我們有個資法,這個部分到底是變成優先適用,還是它只是一個基本的原則,其他我們的個資法等等,還是要保障一些人權相關的意旨,我想這部分就有蠻大的衝突。所以這不只是說大家都講平權,事實上剛剛召委沒有提到的,林宜瑾委員還特別強調的國家主權,這個重要概念在有些委員的版本中就沒有,所以我覺得光從第一條就看到很大的差異。

我也要提一下,剛剛有委員講到,好像不提這個基本法就沒有在發展,這是一個很大的誤導。我們應該要問的是哪件事情我們在關心的,譬如說數發部沒有在做,國科會沒有在做還是教育部沒有在做,而不要誤導大家說,現在行政院沒有這個版本就是沒有在做哪些事。

還是回來講,其實我之前也有版本,為什麼我現在沒有提?就是因為目前這個方向,其實我們看到的一些值得學習的民主國家都還在猶豫當中,我想這是一個很大的問題。譬如說我之前也有質詢過數發部,還有國科會及文化部,就ChatGPT這個部分跟版權之間的衝突怎麼解決,這也是我們相關文化產業非常關心的問題。

主席:版權這個我們在第十五條也有提到。

我想這一條也就是第一條,本條為立法目的,其實各版本差異真的不大,本席的版本是特別強調數位平權,民進黨委員有強調國家主權也好或者是文化價值也好,我們其實有跟數發部溝通,數發部有表示同意本席的版本或者是不表示意見。若是在場的委員有特別的意見要納入立法目的的文字,可以請數發部現在統整各個版本,提出建議版文字給各位委員參考。可不可以一邊統整?

黃部長彥男:報告委員,我想那時候我講的是我不表示意見……

主席:不表示特別意見。

黃部長彥男:對,因為我知道這個差異很多,委員……

主席:好,所以數發部對第一條不表示特別意見。

好,那我想這一條是不是就保留送院會處理?

張委員雅琳:保留在委員會。

范委員雲:委員會吧?沒有說要送院會。

主席:我們前面都是保留送院會處理。

張委員雅琳:沒有啊!

主席:我們前面都是保留送院會處理,法案名稱保留送院會處理,第一章章名保留送院會處理,然後現在第一條也是保留送院會處理。

許委員智傑:我們現在保留是委員會之後還要再協調啊,你不能直接送院會處理……

主席:保留協商啦,好,保留協商。

許委員智傑:我們是要保留委員會還要再協商啊,後續黨團還要再協商委員會的結論啊……

柯委員志恩:保留協商。

主席:好,保留協商。

許委員智傑:對啊,不是直接送院會處理啊。保留送委員會協商保留。

主席:保留協商,好,保留協商。

范委員雲:保留送協商嘛,這是美好的傳統耶,要尊重啦!

主席:好,美好的傳統,謝謝范雲委員,也謝謝各位先進前輩。

我想我們的法案名稱保留送協商,第一章章名保留送協商,第一條也保留送協商。

前面我們剛剛是唸送院會處理啊,現在是全部……

張委員雅琳:全部都是送協商。

主席:送協商?好。

范委員雲:送出委員會嗎?

主席:送出委員會協商啊!送出委員會協商喔!

洪委員孟楷:沒有錯,召委,我補充一下,其實各委員會都一樣啦,我們不講哪一邊,今天保留我們就送出委員會,一個月冷凍期,一個月冷凍期完畢之後,召委可以再用委員會的名義召集一次黨團協商,黨團協商完沒有共識,可以再送給院長,院長再召集黨團協商,院長召集黨團協商也沒有共識的話,再院會處理。但我覺得這個基本法部分,我們希望屆時在委員會協商的時候,數發部就可以提出院的版本,好不好?

主席:好,我這裡再界定一下,我想教文委員會雖然有這個傳統,但是在議事規則上面,確實這裡我們就是保留送院會處理,但是院會會交我們來做黨團協商,那我們委員會可能會召開或是黨團會召開,這個我想我們就照過去的慣例處理啦。文字上我想因為議事人員給我的是保留送院會處理,我想大家都理解這個意思,我們就予以同意,好不好?因為協商也是院會交下來請我們協商,好不好?好,謝謝。我想我再……

范委員雲:我是建議召委就先講保留,因為像我們過去很多條文,在第一輪討論完之後回來也許會有共識,不是現在就……你總不會送一半、送幾條去院會吧?你就先保留就可以啦,到最後再決定是要怎麼處理啊!

主席:沒關係,我們的wording本來就是……

范委員雲:學輔法後來就在柯志恩召委的協調下,我們在委員會就解決啦。

柯委員志恩:保留、保留,我們先全部逐條……

主席:保留送出委員會啊。

張委員雅琳:沒有送出委員會。

范委員雲:先保留就好了啦!

林委員宜瑾:先保留啦!

許委員智傑:你現在就保留送協商就好啦。

張委員雅琳:因為我們之前都會一輪、兩輪,最後可能有一些會有共識啦!

許委員智傑:對,就是保留送協商嘛,協商委員會會先協商嘛。

張委員雅琳:對啊,最後可以再來處理決定要不要怎麼……

許委員智傑:對,你先保留。

主席:好,那我們就保留……

許委員智傑:先保留。

張委員雅琳:先保留啦!

主席:好,那我們就保留,法案名稱保留;第一章章名保留;第一條保留。

好,那我們現在第二條……

柯委員志恩:第二條直接保留啦。

主席:我想第二條剛剛各個委員也都充分發表意見,我們就保留吧。

我們在此還是說明一下,相關的部分也希望我們能夠更快的有共識,就是發展、創新,當然也要兼顧我們的風險分類,有臺灣價值、臺灣模式。

好,我們再來進入第三條,大家也都差異不大,也是非常感謝國科會當時有整理……

張委員雅琳:我有意見。

主席:請張雅琳委員,謝謝。

張委員雅琳:在第三條裡,我的想法是,其實每個人在定義人工智慧上面,包含像林倩綺委員定義得非常精細,或者像葛如鈞委員就寫:指以機器為基礎的系統,於不同程度之自主性運作。可是邱若華委員的版本又說:具自主運行能力之系統。我想確認一下,我們到底要依哪一個版本?因為這看起來是有一點落差啦!

再來,其實民間也有一些建議,我們是要講自主運作嗎?具完全自主運作能力作為要件,恐怕會過度限制適用的範圍,是不是應該要像自動車有不同等級的劃分?是不是應該要去做一些增訂,視為是一定的程度,而不是直接寫自主運作?所以有兩個問題:第一個,到底是以哪一個版本討論?第二個,現在如果是自主性運作的話,我們是不是應該要增加「一定程度」?

主席:好,謝謝。請郭昱晴委員。

郭委員昱晴:針對第三條,我們看到比方像葛如鈞召委剛剛有講不同程度的自主性跟可能展現適應性,這些字眼看起來好像很完整,但是在法律的操作上,會不會容易有更多的解釋空間?另外像剛剛林倩綺委員或民眾黨的版本,他們也試圖要把這些技術跟名詞去做定義,他們寫像監督式學習、知識庫、推理引擎、優化、演算等等,這看起來好像很齊全,可是不要忘了現在寫死這些詞,在3年後的技術可能馬上就會被淘汰了,所以以前大家都在講機器學習,現在要講生成式的AI強化學習等等。問題是我們從國際的經驗來看,不管是在他們的建議,我們的定義應該要聚焦在它的功能性跟風險性,而不是這些名詞的細節性,以上是我的建議。

主席:好,謝謝。請吳沛憶委員。

吳委員沛憶:我同意第三條剛剛前面大家提到的,因為是基本法,我們主要是支持AI的運作機制,不要訂到太細節。所以這一條我比較支持林宜瑾跟許智傑委員的版本,就AI主要的運作機制訂定就好了,不要訂到太細節,這個有可能會限縮將來它應用的空間。

主席:好,魯明哲委員也到場了,有要發言嗎?羅廷瑋委員有舉手,請羅廷瑋委員。

羅委員廷瑋:我覺得這一條大家都寫得非常用心,當然有人寫得很精細,但是我覺得還是有一些差異,我是建議要保留。

主席:好,請魯明哲委員,謝謝。

魯委員明哲:沒有。

主席:請張雅琳委員,然後是許智傑委員。徐富癸委員也要發言嗎?沒有。好,所以依序是張雅琳委員、許智傑委員、劉書彬委員及范雲委員,請簡短發表意見。

張委員雅琳:我想確認一件事情,我們這個是AI基本法,可是我們把這一條人工智慧的定義放在第三條,是不是應該放在第二條、應該開宗明義延續第一條的概念下來,先訂在第二條,然後再訂到它的主管機關?這個是我的建議。

主席:可以考慮。請許智傑委員,謝謝。

許委員智傑:好,謝謝主席。我覺得我們在討論這些都有一點……我剛剛一開始就提到全世界各國現在都有兩大派不同的角度,我們的角度就是……像我的版本的角度就是監管比較寬鬆,不要那麼嚴格的訂太細。包括林倩綺委員還有其他國民黨委員,你們是訂比較細,我覺得我們在這邊一條一條討論這些東西,其實全世界各國都還在摸索,臺灣要這麼急著把這些東西都訂死嗎?所以我是認為這條我們還是先保留啦!先暫緩,我們看全世界的潮流,要怎麼樣去拿捏一個最好的方式,再來做最後的確認。後面幾條都是類似,所以我建議還是保留,謝謝。

主席:好,再來請劉書彬委員,然後范雲委員及林宜瑾召委。

劉委員書彬:第三條是指人工智慧的一些定義,不過我們也要參考本黨裡面的意見,就是把整個人工智慧系統的相關定義列出來,包括人工智慧、人工智慧產業、巨量資料、個人資料,還有人工智慧安全等相關的部分,因為第三條是屬於定義名詞的部分,把這些定義呈現出來。我們希望能夠保留,謝謝。

主席:好,謝謝。請范雲委員,謝謝。

范委員雲:針對這條,我的意見跟許智傑委員剛剛講的一樣,其實應該要以簡馭繁,因為如果太細緻的去處理各個定義的話,日新月異喔!就如同我們剛剛講的,在12年前可能覺得我們要儘速立法,可是現在看到歐盟跟英國都有一些不同的聲音,英國甚至停下來並暫緩提基本法等等。我覺得歐盟的操作……如果是作用法的話,歐盟很多的指引也沒有訂出來,就是因為變化太快了。

我想我們應該要問的是,大家想要發展的話,應該是全民共識喔!這不分黨派的,有哪些部會、哪些事沒有在做?如果今天一定要繼續審這個法的話,針對第三條我比較支持許智傑委員、林宜瑾委員跟邱議瑩委員比較以簡馭繁的版本,我想在這個時間點上一定要立的話,我的意見是這樣。我要提一下,為什麼沒有我的版本?就是因為這個變化太大了,光是這個月我們就看到英國暫緩提出立法的版本,這是重要的一個考量。

主席:好,謝謝。請林宜瑾召委。

林委員宜瑾:謝謝主席。我是第二條啦!因為我沒有主管機關的……很多人的第二條是主管機關,我沒有主管機關的第二條,所以是你們的第三條,也就是我的第二條,是有關於定義,當然看起來各版本有差不多的共通點,我就簡單點出來:第一個是自主性的系統,第二個要經過感測或輸入,第三個是能夠影響實體或虛擬環境,第四個是有目標的產生預測內容、建議或決策。到這裡大家應該都還同意,可是確切的文字描述,因為我的版本跟許智傑委員的版本是比較一致的,就文字而言,如果數發部沒有辦法提供比較相對確切的文字的話,我認為我跟許智傑委員的版本其實是比較妥適的,以上。

主席:謝謝。針對第三條,因為大家都有意見及異議、有不同的想法,那麼第三條就保留。

接下來各條如果有異議或有意見的話,我們就直接保留。

接下來第二章章名,賴士葆委員建議的章名叫「發展與促進」、台灣民眾黨黨團是「人工智慧發展之基本原則」,有沒有異議?(有)有異議,我們就保留。

接下來第四條,第四條是剛剛提到有非常多人關注不管是原住民的福祉、國民的發展,還有兒少等等,其實各個委員對於第四條都有非常多的設定,包含張嘉郡委員有提到人類自主,台灣民眾黨黨團有考量到身心障礙者、高齡者及兒童,許智傑召委也有提到隱私資料保護的機敏性、永續性及公平性,邱議瑩委員跟許智傑委員有相似的想法,他也有提到公平與不歧視,吳宗憲委員非常重視的是安全原則、保障人民的生命、身體自由及財產安全,包容原則就有多元包容,我想第四條的部分,數發部應該沒有特別意見吧!但這條如果有意見的話就保留……

范委員雲:有人要發言。

張委員雅琳:我覺得我還是有必要幫團體發聲,因為這是團體的意見……

主席:簡短發言,好不好?

張委員雅琳:我之所以沒有提出版本,是因為我們一直跟團體不停在討論,而團體對這條是有意見的。兒少團體認為應該在第一項增訂第八款,雖然大家在各自的條文中都有提到兒童,但兒童的最佳利益原則應該明列,讓大家在做相關應用時,不會影響或犧牲兒少的最佳利益。所以他們希望能在這一條增訂第八款人工智慧研發與應用涉及兒少時,應以兒少利益為原則,預防心理、隱私、人格權、數位剝削及其他潛在侵害,並應提供符合其年齡之適當保護措施與資訊揭露,這是團體的建議。

主席:請范雲委員,然後是劉書彬委員。

范委員雲:我覺得這部分跟歧視相關的部分予以明文化很重要,由於第三條、第四條、第五條都有談到歧視,所以我就一起講。AI基本法應該要定下原則性的避免歧視,也要有性平觀點,像全國律師聯合會就建議,為避免對特定群體造成歧視,必須在條文中或至少在立法理由裡提出哪些特定群體,譬如身心障礙、原住民婦女、多元性別等等,以避免未來條文解釋上出現歧異。

另外,我覺得實質內容滿重要的。我建議召委,如果每條都保留的話,我覺得這樣子有點……還是要實質討論,否則不管是送委員會協商,到時候能到的人會比較少,或者送黨團協商?這樣子教文委員跟交通委員的實質意見都沒有機會表達。教文委員過去都是實質在討論的,從來沒有法案條文每條都保留,然後就這樣子審下去。上次我們在審查不義遺址條例時,後來就留在委員會中討論,因為每條都保留,然後送黨團協商,真的很不負責任!我們是最能夠做實質討論的,不管是交通委員或是教育委員,都是能表達意見的人。如果不處理條文的差異就保留,最後每條都保留,我覺得這樣子不太好。以上。

主席:簡短回應一下。首先,如果保留協商的話,其實還是可以做完整的討論;第二,我們先前也有完整的討論;第三,我們連第一章總則……我們希望能夠有共識,但如果連第一章章名都沒有共識的話,也許保留就是一種處理方法。

接下來請劉書彬委員。

劉委員書彬:謝謝主席。對這部分,我想提出一個問題。在這個基本法當中沒有看到職權的部分,在第二條大家有討論到主管機關,至於職權的部分各個版本也許在第四條有提到基本運作原則,但職權並沒有提到。所以是不是考慮把職權放在第四條或在什麼地方放進去?這樣才是合理的。另外,如果直接搭配藍、綠版本當中屬於運作的部分……或者以兩位召委的版本,如葛如鈞的版本或林宜瑾的版本都在運作的基本原則當中提到,本黨的版本也有,但我們特別在第二章第十一條到第十六條提到。如果大家有共識的話,我希望可以把我們這部分也放進去……也許整個狀況不是那麼詳細,但有些部分可以放進去或在標題呈現上放入。所以也是希望保留,但針對職權部分,我真的希望大家能考慮一下,這個我們是不是已經疏漏了?

主席:吳沛憶委員。

吳委員沛憶:第一,我想提程序問題,希望會議的主持要中立。像剛剛這一條召委本來沒有要開放討論,但您個人在主持當中其實就發表了很多您個人的意見,我希望原則要一致,要不就是大家都不要有意見、要不就是大家都來討論。第二,剛剛召委說之前很多都討論過,但是今天再發言、再討論也沒有共識,所以你認為要保留。前半部分我同意,這也是為什麼剛剛我們會主張之後再進行逐條,因為差異很大!如果前面第一條、第二條、第三條呈現出來都是再討論也沒有共識的話,代表今天的版本差異真的很大,並不是只有文字的差異而已。所以我們剛剛才會主張不要進入逐條,但既然要進入逐條,你又說因為差異太大,再討論也沒共識,所以每一條都保留、不討論!我覺得這前後是矛盾的,我希望大家還是可以再重新思考一下。剛剛許智傑委員及很多人都提到了,大家的版本不同不僅止於文字,而是立法體系,到底我們是希望規範多一點還是支持發展多一點?到底是基本法還是作用法?抑或是特別法?這些如果前面沒有共識的話,那麼每一條都會像剛剛的情況,就是沒辦法有共識,所以我希望大家可以再三思!

主席:謝謝吳沛憶委員。後續說不定還有機會,因為有些地方數發部有表達意見,也許我們還有機會可以通過。

第四條保留。

針對第五條,大家關注的主要是多元包容,即針對多元包容及不同的條件,基本上接近於數位平權的概念。其實大家在這條的相似度是非常高的,只有wording,所以我們期待數發部可以整合出一個版本。數發部對第五條有沒有要表示意見或者要協助整合?其實都包進去就是最包容的。

請林宜瑾召委、郭昱晴委員跟柯志恩委員。

林委員宜瑾:葛如鈞召委的第五條,是我版本的第十三條,許智傑召委的第十四條。整部法的條次安排歧異性很大。這一條內容是有關於平等與保障,優先考量身心障礙者、高齡者、兒童及其他需要協助族群的權益,這是參考學界意見而來的,其他委員的版本也都有類似文字。誠如葛召委所說,這條條文的內容確實是大同小異,但就條次來講歧異卻很大。因此對這整部法,我還是堅持如果院版出來的話就依院版的條次,那樣至少在整個條次的安排上有法理可循、有體例可循。所以條次的不同,然後該怎麼安排,對法案來講是非常重要的。就內容來講,平等與保障、弱勢保護這一點,我覺得看起來是有共識的。以上。

主席:謝謝,有共識。

郭昱晴委員剛剛有舉手要發言,再來,請柯志恩委員。

郭委員昱晴:第五條是在強調數位平權的部分。就像剛剛宜瑾委員講的,條次的部分,有的人是放在第十三條。葛如鈞召委與羅廷瑋委員的版本是寫基本人權的宣示,問題是裡面沒有講實質的做法。當然我們講保障平等,這一定是必要的,可是不是光只寫依法令辦理或者是依法令特別保障,好像感覺就已經OK了,這個其實也會造成執行時的落差更大。我們怎麼樣讓弱勢的族群在這個政策制定的時候有發聲的空間,才是真正能夠落實AI數位平權。如果要針對高齡者、原住民或者是身障者推動AI輔助科技,這個部分我們可能還要再強化、還要再更細項。就剛剛宜瑾委員也特別講的條次及內容,其實大家都放在不同的地方,我們今天要怎麼樣讓它有共識?所以我真的不知道逐條到底是在討論什麼,以上。

主席:請柯志恩委員。

柯委員志恩:我們先從內容來說好了,宜瑾委員的部分與葛如鈞委員的部分其實都完全展現了平等及保障,只是葛如鈞委員的版本裡面又多了一個「原住民」,它的包容度還有範圍的界定其實是更完整的,所以大家可以做個考慮。

提到條次,就再一次的凸顯院版的確是很重要,今天為什麼會做到這樣的程度?就是左等右等,沒有院版。我想召委最主要的目的是透過這樣,你說它沒有意義嗎?它還是有意義,到時候真的有院版來的時候,今天我們所有的討論、大家的想法其實都可以在院版修法過程當中提供大家一個非常重要的考量,否則,沒有這個步驟的話,我們要等到什麼時候?所以我覺得有些時候委員會可以促使行政單位更加速他們的運作。

回到這個條次,當然目前沒有院版,所以條次的確有很大的分歧,但是在內容的程度當中的話,比對幾個重要的版本,我個人覺得,在族群的層面裡面特別把原住民放進去,其他部分其實都可以得到非常高的共識。

主席:請范雲委員,謝謝。

范委員雲:我要提一下,這裡面沒有放到婦女及多元性別,只有葛如鈞委員用「性別」,而且你可以看到林宜瑾委員、許智傑委員的意旨跟葛如鈞委員的不太一樣,林宜瑾委員、許智傑委員的是要「優先考量」,是把群體權益當中覺得特別弱勢的特別拉出來,跟葛如鈞委員像憲法的寫法,無分什麼一律都要平等接近是不太一樣的。我們到底是要採優先考量特別弱勢,還是把所有想到的差異都寫出來?譬如邱議瑩委員還有針對偏鄉、傳統產業,對不對?那又是不同的寫法。

我想問的是,數發部或者是國科會有沒有既有的研究告訴我們,在AI發展的過程中,哪些群體是特別弱勢,沒有接近到的?我們要有一些調查的基礎,才能夠知道在這裡是要走宜瑾委員、許智傑委員的方向,優先考量一些特別弱勢的,譬如身心障礙者、高齡者、兒童,這是宜瑾委員、許智傑委員的寫法,還是要走葛如鈞委員的人無分性別、年齡等等,要不要再把邱議瑩委員的偏鄉拉進來,這總要有一個實證研究,否則我們就是在這邊窮盡一切嗎?我們是要優先保障某些弱勢,還是要走無分什麼一律平等的抽象性原則寫法?我覺得這個差異滿大的,以上。

主席:好,待會我會請……

范委員雲:數發部或是國科會可不可以都回應一下有沒有相關的研究?

主席:主管機關發言。許智傑委員,要先發言,還是我們就讓部會官員發言?

好,請許智傑委員,謝謝。

許委員智傑:謝謝主席。剛剛柯志恩委員提到,我們這個委員會可以讓行政單位不要怠惰、趕快。其實現在世界有一篇文章,資料來源是GuardianThe Verge,還有幾個,這邊提到的重點,我是覺得讓各位思考一下。為觀察美國AI政策走向,英國延後推動AI監督法案,再來就是英國到底想要什麼樣的AI法案?這邊有二個概念,一個就是歐盟面對實施壓力,考慮延後部分法規生效。當然美國比較寬鬆的法案也有引起反彈,就是美國預算法案藏十年AI監管禁令,引發廣泛反彈。這個是他們比較專業的雜誌所表達的意見,我提供給大家參考。

也就是現在美國和歐盟兩大系統的觀念不一樣,到底怎麼樣最好?其實AI變化這麼快速,我們在抓要怎麼樣最好,結果現在世界兩大系統都抓不出要怎麼樣最好、已經有紛爭了,你現在叫數發部馬上寫一個版本出來,就算他們寫出來,他們也不知道要用哪一個還是要怎麼平衡,所以這個法案,坦白講,我認為大家真的不要急。我比較主張全案保留,下次再逐條,當然就是看世界的發展動態怎麼樣,我們再來根據臺灣文化,還是根據世界潮流,看要怎麼拿捏一個平衡點。現在我們沒有一個人說得準,也沒有誰說的是對的,所以我是建議乾脆全案保留,下次再逐條。當然數發部要很積極的去看世界上的動態到底會怎麼走,雖然我們科技很強,但是臺灣也沒有這麼偉大,說我們就是世界走第一。所以這個部分,我是認為大家真的可以考慮一下世界的潮流,而不是你和我,我們幾個人在這邊決定,就把它定下來,我是這麼認為。

柯委員志恩:好,我很快講一下,說實在的,這個AI基本法當初是責成國科會,國科會花了非常多時間,他們有非常多的專家學者,他們花了很多時間擬定這樣的一個基本條例給我們,我們才看到。如果像許智傑委員說的,英國也都覺得目前不適合,說實在的,我覺得也可以,行政單位就站出來講,我們配合目前世界的潮流瞬息萬變,沒有辦法通過一個法規。我覺得行政單位要講一句話,不要浪費數發部及國科會已經花這麼多時間討論,如果覺得現在不合適就告訴我們,此時此刻配合世界潮流,不適合在這個地方做出這樣的決議,我們應該用什麼樣的方法,那就不要浪費大家的時間,這也是一個方法,行政部門站出來講一句話,說現在不合適,看要怎麼辦,這也是一個方法。我們今天就是坐在這個地方,要有一個態度,好不好?

主席:我們對人民做個交代啦!

許委員智傑:主席,我可不可以補充一下?

主席:我們是不是讓部會講,可以嗎?許智傑召委。

好。其實這條是有共識的,我們也怕民眾誤會我們不去保護他們,因為現在沒有一個框架,這些人全部都被落後在人工智慧之後,數發部及國科會可不可以共同擬出一個共識條文?如果不行,也許照柯志恩委員講的,你們可以在此對所有委員、全民說,此時我們不宜立AI基本法。民進黨委員可能也要跟賴清德主席交代,因為他2月講這是優先法案;國民黨委員很早就提案,我們非常重視;民眾黨委員也非常重視,我們現在是在討論多元的範圍。現在請兩個部會,我就少講話,請部長,待會請國科會主委。

黃部長彥男:報告委員們、召委,我開頭就講了,為什麼從去年11月多送院以後就一直沒辦法達成共識?就是因為國際有幾個事情在發生,一個就是國際情勢變化很多,第二個是技術變化很快。

我特別講,當初我們在訂AI基本法的時候,只有辨識AI,還沒有生成式AI,結果生成式AI出來以後,當初所想的規範都不對,現在生成式AI很多,又牽涉到著作權,牽涉到很多隱私的問題,因為這些技術產生確實帶動很多其他相關的法律問題,所以我們在做的時候會產生這樣的疑慮。未來還有Agentic AI(代理式AI),還有機器人,那些東西都在出來中,所以我所擔心的是,技術還在快速發展,現在是不是稍微觀望一下?這是我們當初的想法。

第二點,國際情勢也在變化,剛剛講到這幾年的國際情勢,尤其是最近川普當選之後,他的很多作為讓很多人擔心,很多時候會不會造成很多相對的問題,因為我們也在觀察國際情勢,我們看到像英國、歐盟已經退一步了,這個就是我們部裡面當初的一個concern,所以才會說再討論,而且又牽涉到跨部會,包括剛剛講兒少、衛福等等的問題都需要跟各部會討論,這些共識都還沒有完全,所以我才會對於現在定法有點保留。

主席:所以部長能不能擬一個共識的條文?沒辦法?就是多元的這一條,我們現在是在……

范委員雲:現在這樣發言……

主席:沒有辦法擬,因為我們是在這一條底下,所以我們剛剛的發言就是要確認……

張委員雅琳:召委,他剛剛的發言就是講,因為剛剛柯志恩委員是希望他可以回應到底現在是不是適合的時機點……

主席:所以我現在接著就要問了……

張委員雅琳:所以他回應的是這個部分。

主席:我們是不是就不適合弄AI基本法?

黃部長彥男:讓我們部跟行政院再討論,擇期再把這個……

主席:請國科會吳主委。

吳主任委員誠文:目前是數發部主政,國科會來協助。

柯委員志恩:主委,不好意思,我們是在為國科會過去長期以來擬出這個基本的部分講話,你怎麼現在全部都推給數發部?數發部到目前為止都給我這一份,就是不想去做,現在也都提不出來,我也不曉得壓力在哪裡,數發部到今天要來開這個會議之前,他們就是給我們這一張紙,國科會花很多時間把每個條文都弄得清清楚楚,你那時候在委員會的時候也不斷的告訴我們,你們到底花了多少的時間等等。你今天不可以這個樣子,你們自己這麼多國科會的同仁,花了這麼多時間,認為AI這麼重要,1,800億都給你們,你們才是一個最重要的單位,怎麼現在全部都推給數發部?就是數發部沒有辦法,所以我們才認為國科會或許也會有一個很好的、負責任的態度嘛!你應該展現你們國發會該有的爆發力、國發會該有的潛力啊!怎麼可以現在完全就丟給數發部?數發部要是有辦法的話,226號在這個地方起碼就應該給我們幾條、給我們幾個部分,而不是到今天告訴我說:瞬息萬變,有這麼多、這麼多、這麼多。你起碼可不可以告訴我們一下,你們現在的進度到底是如何?給我們看一下,根據國科會的這些條文,數發部基於國科會的條文做了哪些修正、做了哪些部分?起碼讓我們看到,我覺得這個東西才是一個雙方部會展現負責的方法嘛!對不對?

主席:主委,你先補充吧!我看你拿麥克風。

吳主任委員誠文:我們還是會依照行政程序,在行政院確定以後會……

主席:對,因為林宜瑾召委有提到您是政委,你是科技政委。

吳主任委員誠文:行政院還在討論當中,剛剛黃部長有提到,我們還是會依照行政院的指示。

主席:所以沒有辦法擬共識條文,可能現在也……針對剛剛的這個有沒有意見?

吳主任委員誠文:我沒有意見。

主席:請郭昱晴委員。

郭委員昱晴:好,其實剛剛數發部部長已經講得很清楚了,他說:現在因為科技的瞬息萬變,所以我們還是持續保持觀望跟應變的彈性操作。我想數發部剛剛也已經扛起責任了,國科會剛剛也講得很清楚,它是協助嘛!我覺得這樣也比較明朗啦!因為接下來要討論的第六條又是跟主管機關有關的,如果在這邊已經有共識了,那接著下來的第六條我們才知道主管機關的部分要怎麼樣討論。但是問題是,今天的每一條,剛剛其實也講到,光是AI的部分,它牽扯的不是只有數發部,也不是只有國科會,可能還牽扯到教育部、衛福部、文化部、經濟部,甚至是跟國安相關的一些部會都有相關,所以並不是只有在這兩位部長跟主委的身上而已。

所以我再次強調,今天我們進到逐條,其實要有一個方向、要有一個共識,光是從剛剛逐條討論的短短幾行字,我們都可以看到有這麼多不同的版本、不同的意見,我覺得大家坐在這裡真的也很辛苦啦!但是剛剛數發部已經強調,他們已經有要扛起責任的準備了,國科會也講它是來輔助,因為這個不是只有我們自己委員的版本不一樣,我們本身的態度其實也傾向這樣的方式,接下來我們就是看數發部跟行政院有沒有提出什麼樣的院版,我們再來進入逐條會比較恰當,以上。

主席:謝龍介委員,再來許智傑委員。

謝委員龍介:這是一個快跑衝刺的比賽,如果你還在做馬拉松的準備,說實在比較沒有效益。整個數發部如果有這個能力,國科會就不用協助,這非常競爭、面臨很大的挑戰,有能力的國科會如果不承擔,如果在內部硬要弄到數發部去,最後面臨的困難會更多,所以這是一個很現實的問題,是大家要互挺,什麼人要扛起責任,有能力的人如果不扛,到最後……如果今天重監管,那可以給數發部;如果今天是重發展,坦白說,國科會就是要扛起來,這麼簡單,這沒什麼啦!主委,我跟你說,承擔是為國家在扛,不是為哪一個黨派在扛,是為了子孫的未來,為了臺灣未來三十年的發展在扛嘛!你說你有想要扛,那到底是礙於什麼原因我們不管,你說由數發部主管,你可以來協助,這樣就是表示你受很大的委屈,我認為不需要……

范委員雲:不要曲解別人的意思……

謝委員龍介:我哪有曲解?我在說話,你曲解我的意思,然後你說我曲解別人的意思,要怎麼曲解?我是曲解賴清德的意思而已嗎?這是一個很嚴肅的課題,不然全國大家來評比,覺得數發部的能力比國科會還強的話,我今天說這些我跟你道歉,對不對?

范委員雲:你要聽部長講話……

謝委員龍介:說什麼?聽什麼?我怎麼會沒聽呢?

范委員雲:怎麼跟我們聽的都不一樣?

謝委員龍介:當然聽的不一樣,你們就聽不懂弦外之音,你是要怎麼跟人家聽的一樣?

主席:請許智傑委員。

許委員智傑:謝謝主席,我們意見不一樣,大家都互相尊重,沒關係啦!因為民主社會就是這樣。其實我們之前提的版本就是屬於比較寬鬆一點的,國民黨的版本其實管得比較細緻,所以我說大原則是這樣,當然每一個細節的部分,我們就不去論這些細節,所以我剛才說的是,為什麼英國他們管比較細緻,他們現在在考慮暫緩?這個不是誰對誰錯的問題,世界的趨勢就是這樣,所以我是建議,剛才柯志恩委員也有問到,數發部也表達了意見,現在這個當下,它要再去了解各個部會跟各個國家,所以速度有比較慢沒錯,但是現在先暫緩、先看世界的狀況,以及與各部會溝通之後看結果如何,有一個比較平衡的方向,當然要拜託他們趕快把官方的版本擬出來嘛!在這個官方版本還沒擬出來之前,我還是建議全案保留,將來再逐條協商,我們現在比較不用在這裡浪費時間,每一條都在這裡說不一樣的意見,最後還是沒有結論,我是這樣建議,謝謝。

主席:好,我想主席還是要先稍微說明一下,因為我們這個條文裡面有非常多是保護弱勢的,在場也有非常多部會,包含教育部、法務部、勞動部,也包含個人隱私、個人資料,我們開公聽會時也有非常多公民團體非常關注整體的上位態度,在沒有上位的態度之前,確實有可能會出現有人受害的狀況,如果我們現在沒有辦法提出來的話,我想這可能會影響到全民的福祉啦,所以我想既然許智傑委員剛剛有提到全案保留送協商,那我想我們是不是就全案保留送協商?剛剛許智傑委員是這樣講的……

張委員雅琳:擇期再審。

許委員智傑:就出委員會,全案保留,我們下一次可以再處理,等行政院、數發部趕快把這個版本……再思考世界各國跟我們不同黨派及各部會不同的意見,趕快去凝聚一個比較恰當的版本。

主席:好,洪孟楷委員,再來是伍麗華委員。

洪委員孟楷:這個討論如果是在一年前,我覺得還可以這樣子做,那是因為一年前的時候,世界各國是這樣子的處理狀況,可是現在已經又過了一年,有一些委員在講英國的狀況,請讓我說明一下,英國現在專案的地方法規是暫緩沒有錯,可是英國早就已經有AI的原則指導,而AI的原則指導內容含括範圍其實跟我們現在討論的基本法大同小異,換言之,世界各國其實用基本法的概念都已經有,更不要講歐盟已經立法,2026年要實施。我們要比較,其實我們臺灣也要跟鄰近或是相似的國家比較,在高科技來講的話,哪一些國家跟我們的競爭力或是跟我們相關產業是衝突的還是產業是互相競爭的?我想我講南韓大家應該不會有異議,南韓的高科技跟南韓的人口或是鄰近的部分也跟我們類似,南韓的AI基本法已經正式通過,2026年要準備生效,換言之,世界各國在這一個領域上面都還是持續地往前走。

我想今天主要還是究責的部分,我們委員都有提出版本,共16個版本,行政院的版本在哪裡?我們為什麼已經進入逐條第五條了,結果我們還要再回來有點類似大體討論?就是因為行政部門沒有版本。所以我是不是可以拜託各委員,因為我也有看到記者會,在3月的時候,有12位綠營的委員,現在坐在這裡的好多委員,他們就把AI基本法列為優先法案,這是你們的優先法案,也是我們的優先法案,也是民眾黨的優先法案,現在就只有行政部門不把它當優先法案看待。我們現在在討論逐條其實是有意義的,第一,各自的委員表述你認為哪裡需要加強,但是你不需要批評其他委員的版本,因為我相信每個委員的版本其實都有所本,即便這幾個委員的版本到時候都是保留,行政部門就應該針對這些委員的版本綜合出你們的院版,當一個月、兩個月朝野協商冷凍期已經可以再協商,那個時候協商的過程裡面,院版就一定要出來,院版沒有再不出來的理由跟迴避的空間。還有,對比之前我們幾個法案,現在雖然各黨很多委員都有不同版本,但我想在大同小異的情況下,也拜託各黨在這一個月的協商冷凍期,可以回去再去各自歸納,我想在協商的時候有院版,我們各黨團都各自歸納的時候,其實就會更聚焦,這樣才更能夠進行,而且不要忘記我們還是有委員會的協商先進行,委員會協商不成之後再來做政黨協商,再來做院長召開的政黨協商,所以是不是該走還是要走、是不是第五條如果討論到一個段落之後,召委可以做後續的進行,好不好?以上,謝謝。

主席:好,我想我們剛剛其實有表達過啦,就是有異議我們就保留,我們這條……好,因為伍麗華委員剛剛我有點他了,我想伍麗華委員發言完,我們這一條就做個決定。

伍麗華Saidhai Tahovecahe委員:好,謝謝主席。其實我們確實是不論討論到底第幾條就會一直打轉又回來討論。我個人看法是這樣,就是主管機關,其實像教育基本法、文化基本法,文化基本法的主管機關也不會寫文化部,教育基本法的主管機關也不會寫教育部,我的意思是說其實我們現在是因為要找奶爸、奶媽,好不容易聽到數發部感覺表態它就是奶爸,國發會是當奶媽,因為AI其實涉及各個領域跟各個部會,恐怕也不是單一機關適合做主管機關,所以我覺得應該是跳脫主管機關的問題,而是回到奶爸、奶媽,誰要把這個東西生出來,我想我要表達的是這個意思。

主席:好,謝謝伍麗華委員。我想我們這一條有異議,我們剛才已經說過了,有異議的條文我們就保留。

我們接下來進到第六條,第六條基本上是對人工智慧可能的風險或不當利用,方針大致一致,有的稍微寫得比較細一些,有的是賦予政府比較完整的責任。好,這條有沒有異議?

郭委員昱晴:有。

主席:我想這條按照剛剛我們的說法,如果有異議我們就保留。

接下來進到第三章的章名,第三章的章名有賴士葆委員提出監管與保護,第三章的章名,民眾黨這裡是沒有,基本上大家都一致,有沒有異議?有異議我們就保留。

我們接下來進入第七條,第七條有沒有異議?

羅委員廷瑋:有。

主席:一樣,有異議……

范委員雲:主席,還是要講話。

主席:一分鐘?好,或者是儘快好不好?謝謝。

林委員宜瑾:好,謝謝。因為條次真的都有差別,好,我們現在看起來是依照葛召委的條次在走,葛召委的第七條就是要設國家人工智慧戰略特別委員會,我想這個是跟基本法最扞格的地方,我們現在是討論基本法,不應該再出現組織法類型的機關設置的條文內容,更何況設置特別委員會,其實我覺得也應該需要國家長遠的政策規劃才有可能執行,就像運動部也是經過長遠的倡議、資源的盤點、規劃組織調整,才有辦法在今年掛牌成立,所以我想這個戰略特別委員會,本席認為如果在沒有妥善討論的情況之下設立,不但是給行政機關困擾,而且這個委員會要怎麼定位,員額、單位預算等等,所以我覺得這個不應該寫入,也請葛召委審慎考慮,謝謝。

主席:好,謝謝林宜瑾召委,剛好您提到,因為這跟本席有關,我還是提一下,62號,剛剛有不少委員提到各國的狀況,我們鄰近的南韓已經通過了人工智慧的相關規範,日本也通過人工智慧相關技術研究開發以及應用推動法,顯然就是在開發以及應用是比較偏科技研究及人才,同時林宜瑾召委剛剛提到的,日本在內閣直接設立人工智慧戰略本部,由首相擔任本部長,大臣為成員,所以我想機制上面確實有討論的空間。那我就說明到此,我想按照剛才我們的決定,也許第七條我們就予以保留。

我們接下來進到第八條,第八條只有兩個人的提案是接近的,有沒有異議?有異議我們就保留。

好,我們接下來進入第九條。

林委員宜瑾:至少要給一個講……

主席:好,那……

范委員雲:召委,我在教文委員會是第5年,沒有看過整個法案每一條都保留,然後還繼續下去的。召委,我知道對AI基本法你的熱情跟意志很高,可是我們剛剛已經有談到了,目前是數發部會主責嘛!我們也沒有每一條問數發部的意見,然後數發部剛剛已經講,他們不是沒有版本,而是現在變化太大,所以他們希望觀望一段時間,大家如果尊重數發部會主責這個部分,未來這個也應該是交通委員會的人主監督嘛!現在我們在場都是……我的意思是我們好像卡在這裡,然後每一條都保留。召委,你確定我們要繼續審下去嗎?還是我們擇期再審?這個部分如果數發部有版本的話,也不會現在每一條因為條次不一樣、內容差異很大,我們委員會完全沒有整合的能力,最後送去,難道我們是要讓傅崐萁黨鞭或是黃國昌他們去把條文生出來嗎?所以我真的覺得是不是擇期再審,請召委能夠再考慮一次。

主席:好,再強調一次,謝謝,因為在一開始就有不同政黨的委員提到,可能會出現有人落後、沒有被保護到的問題,我們看到鄰近國家也都陸續希望立法,去做研發、做應用、做保護,我們現在一直沒有這樣一個上位的基本法,今天列席的所有相關機關跟部會可能就沒有一個適應的標準,也沒有辦法開始進行法規調適。所以我想如果執政黨沒有提出一個適合的法案,也不願意凝聚共識,現在只是因為條文條次的順序不同、章名有問題,如果是說變化太快,現在所有的事物都變化很快,所以我想這個就按照剛才的決議,我們就保留,那我們……

張委員雅琳:我想問一下……

主席:沒有,因為剛才林宜瑾召委是跟我提說,如果有的話,也許我們就一位發表意見,但是因為……

張委員雅琳:沒有吧!他沒有,讓大家發言,讓大家發言!

主席:他剛剛說至少一位……

張委員雅琳:那是他個人……

主席:至少要一位啊,我們剛剛的決議是,有異議的話,我們就保留。

張委員雅琳:沒有、沒有、沒有。

主席:我想不要破壞這樣的……

范委員雲:只是建議啦。

主席:好。張雅琳委員,儘速發表,我們針對這一條,好不好?

張委員雅琳:好,因為其實我已經講了很多次,我還是希望部會可以來回應一下……

主席:針對第八條,謝謝。

張委員雅琳:我知道、我知道,讓我講話,謝謝。大家一直在講有參考到弱勢、有照顧到兒少等等,但是我一直沒有聽到我們的部會到底對於兒少的影響性評估有沒有一個非常明確的回應,不然其實坦白說,後面很難討論下去啊。因為我們根本不確定,所以現在兒少團體也都只是在猜,或是他們從國外的一些研究發現的。我覺得是不是可以請部會針對這點回應?這樣子我們才能夠更清楚地討論。

第二點是,我還是要再回應一下,因為大家其實一直不停地在講國外都有跟上這個法規,如韓國等等的,可是我要回應一下這題,歐盟雖然在之前已經訂了一個AI風險的相關法規,可是他們也已經在66號宣布,他們不排除延後部分法規的生效,我覺得這部分大家也要釐清,其實歐盟或是波蘭都有在因應這個世代科技日新月異、快速變遷做一些調整,所以我認為我們也必須要去對上世界的節奏,而不是說別人都有,我們就馬上要衝,我覺得我們還是要來……像剛剛數發部也有講,我們還是應該要靜觀其變,但還是請回應一下我剛剛前面第一個問題。

主席:謝謝張雅琳委員,因為國科會之前已經出過草案了,現在在數發部這裡,所以數發部是不是就兒少的部分簡要回應?

黃部長彥男:這個就是我剛剛講的,這個法案後來在制定的時候,為什麼說要先再討論跟觀察,因為這個基本法會影響到,剛剛有提到絕對會影響到兒少法,也影響到個資法,也影響到著作權法,所以這個法其實不是單獨的一個法,它牽動很多相關法律,才會需要跟各部會協調。我想這部分就是剛剛講的,兒少我們會特別注意,但確實是我們目前考量的一個問題。

張委員雅琳:我想問的是我們到底有沒有做一些相關的影響性評估,像之前其他法案可能就會做一些性別影響評估、兒少影響評估,這個部分我們到底做了沒?

黃部長彥男:我們會去做,但是需要一點時間。

張委員雅琳:還沒做?

黃部長彥男:對。

張委員雅琳:好,了解。

主席:好。我想第八條就保留。

接下來進入第九條。第九條主要是針對教育的部分,有非常多的委員也都非常關注教育。我們剛才也提到201712月,賴清德擔任行政院院長的時候就非常關注人工智慧與AI教育,但是現在已經2025年了,已經過了8年,我想接下來可能只會變化得更快。這條關於教育,林宜瑾委員有提到倫理教育、提升素養,楊瓊瓔委員有提到產學合作,許智傑委員提到的跟林宜瑾召委的是相似的,吳宗憲委員有很明白地列出產學合作、基礎設施等等。關於第九條,各位委員有沒有意見?如果有意見,我們就保留。

接下來進入第十條。

因為這一條的差異真的不大,我覺得不用……

吳委員沛憶:這邊要發言。

劉委員書彬:主席,我想因為剛才……

主席:好,劉書彬委員、郭昱晴委員。

劉委員書彬:我剛才發覺到,其實民進黨的許智傑委員跟林宜瑾委員的部分基本上是一樣的,而且跟葛如鈞委員的內容其實很相近,我覺得我們可以在第九條整合,真的是可以達到的,因為看文字,尤其在教育跟素養倫理通通都有包含到了,我覺得可以就文字上面達成一個共識。

主席:請問數發部部長、國科會主委能不能擬共識的條文?有委員提出是不是可以擬?請部長回應好不好?可不可以擬一個共識的條文?好,謝謝。

洪委員孟楷:召委。

主席:請洪孟楷委員。

洪委員孟楷:其實我看了那麼久,羅廷瑋委員、萬美玲委員跟許智傑委員、林宜瑾委員這四個人的版本真的蠻類似的,尤其在很多個條文,包括說前面的第三條、第四條,以及現在的第九條。所以第九條我覺得我們可以先……因為別的委員如果沒有到的話,可能他有其他的想法或意見,我們就是以在場委員為主,之前我們在教育及文化委員會審相關法案時也是這樣的概念。所以如果是第九條的話,羅廷瑋、萬美玲、許智傑、林宜瑾委員這四個版本文字幾乎都一樣,我是覺得立法的內容方向我也是支持的,我們是不是就以這四位委員的版本作為一個共識,看一下主管機關有沒有意見?如果主管機關沒有意見的話,是不是就以這四位委員的版本為第九條的修法方向?

主席:支持。請問主管機關這邊,數發部或是國科會,數發部可不可以先回應?

吳委員沛憶:有委員要發言,發言完了才……

主席:好,所以是郭昱晴委員、張雅琳委員、范雲委員,謝謝。

郭委員昱晴:好,第九條其實跟AI教育素養有關,我想今天教育部也沒來啊、教育部也沒來,那我想……

主席:有、有,教育部司長在這邊,資科司司長。

郭委員昱晴:好,等一下可以回應一下。我們知道教育部在2023年的課綱,其實就已經研議要將AI素養納入科技領域當中,但我覺得如果是在基本法當中細列執行的方式,我個人是覺得有點不妥啦,因為要保持更多的彈性。像邱議瑩委員、許智傑委員的版本也有特別提到涵蓋倫理教育,這一點其實是一個關鍵,我想AI的使用應該不是只有技能上的問題,也是一個價值判斷的問題,只是要不要在基本法當中去寫到這麼細項,這個部分等一下請教育部也來回應一下。

主席:請張雅琳委員,接著是范雲委員。

張委員雅琳:在沒有兒少影響性評估的狀況之下,我認為要針對這一些跟未成年的討論是有點不恰當啦,不過我還是提供一下團體意見,團體認為針對這一點,我們還是應該要針對未成年制定相關的學習指引,並且推動相關的產品認證,確保未成年兒少的身心安全及資訊判讀能力不受損害,這是團體的意見,我還是幫忙表達。不過我還是想要再重申,我們還是應該要等到有兒少影響性評估後再來審,這樣更能夠確保到底實質的影響是什麼,謝謝。

主席:范雲委員,謝謝。

范委員雲:我想問教育部,AI的教育範疇中有沒有可能納入性別平等意識?為什麼?因為其實你可以看到數位風險已經有很多的國家研究,包含我們剛剛一直提到的歐盟,他們通過人工智慧與人權民主和法理的框架公約時,特別提到婦女跟女孩的處境有非常高的風險。在這個過程中,AI的教育我相信教育部正在做,也不會反對,只是針對在AI的相關教育裡面,是不是能夠特別加強性別平等意識,並避免偏見、歧視以及性暴力相關的部分?這些也許可以放在說明文字裡面,但是我們今天連說明文字都沒有辦法處理。過去是行政院的版本會有說明文字,我還可以要求放在說明文字當中,所以待會是不是可以請教育部回應一下?就是AI教育的範圍中,能不能放入性別平等意識?如果能的話,文字修正這部分,教育部是不是可以協助提出?當然我還是要提到,這些相關的研究我們都沒有看到,也沒辦法要數發部跟教育部事前提供,讓我們對於要加入哪些跟監管有關的東西非常困擾。

我也要回應剛剛洪孟楷委員講的,他說英國有指引,可是英國現在停下來的就是跟監管有關的法。今天我們要發展,大家都同意,對不對?在發展的情況下,哪些要監管的部分才需要有這個基本法處理,對於監管的東西,英國停下來這個部分,我還是希望在國際資訊這個部分大家能夠更清楚地理解。以上,謝謝。

主席:謝謝范雲委員。我想這一條羅廷瑋委員、萬美玲委員、林宜瑾委員幾乎是相似的,這個也無牽涉到所謂的監管,因為這是教育平權,所以數發部、國科會可不可以擬一個,我們現在就是擬一個共識的條文出來,可不可以?

吳委員沛憶:不是說有意見就保留?

范委員雲:我剛剛是說要加入性別平等……

主席:然後請資科司……我說明一下,現在教育部資科司司長有來,然後高等教育司(高教司)、技職司、國民及學前教育署都有到,我們請司長回應一下。

吳司長穎沺:首先是針對條文的部分,委員提出來的這些,其實我們教育部沒有特別的意見,而且我們會去做,像剛才范雲委員提到的,怎麼樣避免AI有偏見或是性別意識的部分,在後續的AI素養教育,我們會特別去注意。張雅琳委員提到的是有關於未成年的指引,其實我們目前已經有學生的一個指引,但我們現在還在做,會把這個部分特別像我們有關於產品的認證,只要是教育部有關於未來產品有AI的部分,其實我們現在在審查也都有納入,我們會持續努力,做以上說明,謝謝。

主席:謝謝司長。關於第九條,本席的版本在寫的時候是參考科學技術基本法第二十二條,幾乎是一樣的,是明定政府應該提升國民對於人工智慧的知識、技能,去厚植相關的數位素養。這一條既然有共識,我想是不是可以請數發部跟……

張委員雅琳:抱歉,剛剛沒有共識啊!

主席:沒有、沒有,我說是有共識的啊,羅廷瑋委員、萬美玲委員、林宜瑾委員是有共識的,所以……

吳委員沛憶:主席,剛剛前面這麼多委員的發言,明顯就是沒有共識,我不知道為什麼你可以下有共識這個結論,我希望主持議事還是要公正一點。我具體的提問,因為召委──葛如鈞委員的版本第九條提到的是「厚植國民之數位素養」,其他委員提的是「提升國民人工智慧之素養」,因為這個是法律的文字,其實差一字都差很多,「數位素養」跟「人工智慧素養」是一樣的嗎?數位素養應該是包含但不等於人工智慧之素養,所以你這條定下去了,到底是要厚植數位素養?還是人工智慧之素養?這個要討論嘛,版本哪有一樣?版本統統都不一樣,你剛剛也沒討論,前面每一條有意見你就說保留,然後現在這一條你又說要請部會回應,接下來每一條是不是每個部會都要回應?還是怎麼樣?這個還是回到程序問題,我希望這個原則要一樣,否則我不知道……每一條討論的原則都不一樣。

主席:好,所以我們現在就確定……

吳委員沛憶:所以是你的數位素養要修掉嗎?還是怎麼樣?沒有共識……

主席:我覺得數位素養……

吳委員沛憶:我的主張是保留。

主席:我可以尊重萬美玲委員、羅廷瑋委員跟林宜瑾委員的意見,萬美玲委員是人工智慧之素養。

吳委員沛憶:我們有意見啊!剛剛是不是說有意見要保留?

張委員雅琳:因為我們剛剛還有講到針對……保留啦!

主席:好,既然這樣,我們就再次立下共識,待會有意見我們就保留,希望大家就不要再回來繞圈圈了。

張委員雅琳:保留跟發言是兩件事,保留但我們還是可以針對團體提出的一些建議……

主席:沒有,因為如果發言……

張委員雅琳:我覺得我們還是要反映團體的聲音,所以今天這些聲音還是能夠被提出來,然後最後達成保留的共識,我覺得這應該是今天大家認同的部分才對。

陳委員秀寳:召委,我覺得你不能怕我們發言,我相信孟楷委員有經驗,我們以前在教文,我們可能為了一個條文、為了一句話、為了一個字,我們可以講1個小時,你不能怕我們發言,因為大家非常的關心、大家對這些都有想法,也都有意見想要表達,你不能怕大家發言,還限制只能1個人發言,還講1分鐘,我們舉手你都完全不理我們,為什麼不讓我們講?為什麼不讓我們發言?

主席:第一,沒有怕發言;第二,剛剛並沒有委員真的就只講1分鐘,所以我想我們還是要理性的進行我們今天的會議,好不好?我們就針對法條,如果有異議我們就保留。之所以我們剛剛在發言上面,因為之後保留,我們在協商的過程裡,我們也都還是可以持續討論跟發表意見。好,這一條我們就保留。

現在進入第十條,第十條是所謂的鼓勵,有沒有異議?請郭昱晴委員,謝謝。

郭委員昱晴:我看到第十條,版本真的是非常混亂,包含葛如鈞委員的版本是放在第十條,就是在講跨域合作、國際參與、產官學的合作、公私協力等等,但是我們看到吳宗憲委員的版本是放在第五條;另外,林倩綺委員是放在第六條;民眾黨的版本是放在第三十二條;楊瓊瓔委員是放在第三十二條;萬美玲委員的公私協力是放在第八條,有這麼多不同的版本,我們現在是要放在哪裡?然後再來討論到底是以誰的版本為主。現在我光看條次就有第五條、第六條、第三十二條、第八條、第十條,還有人是放在第幾條,我不知道還有第幾條是我沒看到的,還有第六條,跟林倩綺委員一樣是第六條,所以到底我們是要依誰的版本?我們繼續這樣子討論下去……我剛剛已經講過,再次回應一下謝龍介委員剛剛講的,不是在比誰跑得快,送件不是在比誰跑得快,這個不是競技場,立法是要非常細緻、非常精緻的,而且講到AI基本法,我們牽扯到的所有部會是這麼的多、話題這麼的多,牽扯的資訊跟所有的關聯性又這麼的不一樣。今天我們光看條次都有這麼多不同的版本,到底要以誰的版本討論?以上。

主席:好,范雲委員剛剛有舉手。

范委員雲:因為這一條是發展,可是發展的寫法到底是像剛剛郭昱晴委員講的,我們應該是以葛如鈞委員的版本一一列舉呢?還是像林宜瑾跟許智傑或者邱議瑩等的版本強調公私協力,政府應怎麼樣等等,這是比較簡單的。這個部分我待會想請數發部能夠回應一下政府現在在做的有哪些,因為知道你們在做的有哪些,我們才知道哪些應該要列在這裡,然後大家也可以知道有沒有遺漏,我們應該要走葛如鈞委員這個方向,列舉一、二、三、四、五、六、七、資料中心、能源設備等等?還是宜瑾委員的、智傑委員的,就是強調公私協力?數發部是不是能夠回應?第一個,你們現在在做的這些項目中,譬如以葛如鈞委員的一、二、三、四、五、六、七、八為例,是不是都有在發展?需不需要強調公私協力?還是已經在公私協力了,需要法定公私協力?

主席:好,謝謝。那我們請數發部部長針對剛剛范雲委員所提到的,本席的版本是有列,您可以依據、依序、依條、依項說明你們有做的,以及其他委員的部分。是否可以請部長發表?

黃部長彥男:基本上,數發部在推動AI上已經工作了一段時間,我們基本上是從五個面向推動AI,當然剛剛講了,就是委員所講的這些工作都有涵蓋在我們的工作裡面,第一個就是協助建立算力池,讓AI能夠發展,然後是資料的整理,讓資料能夠用來訓練人才培育,再行銷幫助臺灣的AI廠商,能夠把solution媒合在國內產業的需要跟到國外,最後就是資金,我們就投資一些新創,讓很多AI新創可以發展。這個的確是公私協力,公私協力非常重要,所以公私協力這個字眼如果要放在基本法的話,這個應該要做。

至於工作的內容,我覺得因為剛剛講了AI的變化很快,我們要做的工作不止這8項,所以我覺得這邊應該不用去條列,而是一個基本原則的宣示比較重要。

主席:這條只是列法不一樣……差很多?好,差很多!那我們第十條就保留。

我們接下來進入第十一條。第十一條可能跟預算有關,因為公私協力也好,或者是政府協助也好,都有預算方面的需求。有異議嗎?林宜瑾委員。

林委員宜瑾:謝謝主席。葛召委的第十一條是有關於預算的部分,預算法強調各機關預算編列的獨立性,而且我們必須要遵循預算程序,由各級政府自行編列預算,然後交由民意代表審議。葛召委的版本有要求各級主管機關皆應編列預算,我覺得如果解釋為強制性的要求,而不是建議性的或者是方向性的指導,那可能就有一點變相干預地方政府的編列預算自主權,況且編列預算後還要審議,而且審議也可能不會過,所以訂這一條感覺好像是要求國會或議會一定要通過AI相關的預算一樣,我覺得這有點變相侵犯民意機關的預算審議權。

另外,預算法也有要求預算編列要有明確的用途跟細項,葛召委的草案只有指出確保經費符合人工智慧政策之所需,可是並沒有明確表示經費的具體用途、目標、效益評估等等,在實際預算審查的時候就會面臨很大的挑戰,可能會被質疑為空白授權或者是目的不明確的預算。如果地方政府隨便編一筆AI預算,就說名目上符合AI基本法,可是內容空泛不明,這叫民意機關怎麼審議?「各級主管機關皆應編列預算」這個其實是有違憲疑慮的,所以我覺得這個不應該這樣訂定,以上。

主席:好,張雅琳委員,再來是郭昱晴委員、劉書彬委員。

張委員雅琳:好,一樣,因為我們是行政、立法權分立,這是臺灣政府運作的基本架構,我國憲法第六十三條就規定立法院有審議預算的權利,財政紀律法第七條也限制各級政府及立法機關不得增訂固定經費額度或比率保障,應該要依循主計總處的往例,不應該在我們的法律案中訂定預算經費,所以我認為這1個地方有違憲的疑慮,這一條應該要拿掉才對。

主席:好,謝謝。郭昱晴委員。

郭委員昱晴:這個條文硬要把編列預算寫進法律,我覺得應該不太符合基本法的定位,我覺得基本法應該是設計一個治理的架構跟政策的方向,如果硬是要把預算編列寫進去,其實光是主計總處一貫的立場是依憲法規定,預算編列應該是由行政部門提案,立法院審議,不應該是在基本法就直接規定有編列預算的義務,這樣子的條文放在基本法裡面,我是覺得有點不妥,以上。

主席:好,再來是劉書彬委員。

劉委員書彬:民眾黨在這部分認為發展AI絕對是要有預算,但是預算的編列當然還是要符合國家財政,所以我們的第五條對應到目前在討論的葛委員版第十一條,就是政府應該在國家財政能力範圍內寬列預算,採取必要措施,確保經費能夠符合人工智慧發展所需。我們自己版本的第七條是有關國發基金的運用,也可以運用到促進AI發展,目前應該是在國科會當中有一些科研經費,目前應該是最大的部分,當然也是針對AI的發展。所以這部分我想應該都會有預算,只是我們透過法定預算的方式把它呈現到條文當中,謝謝。

主席:好,謝謝劉書彬委員。

針對第十一條,因為剛才有提到本席的版本,這主要還是希望人工智慧能夠確保預算,到底是「應」還是「得」,也是可以討論的。但總體來講,如果還是有異議的話,我們這條就保留。

范委員雲:召委?

主席:是,范雲委員。

范委員雲:現在到第十條,我們每條都保留,然後「應」跟「得」也沒辦法深入討論,我真的覺得這個傷害教文委員會過去長期以來的良好傳統,也對召委的形象不好,因為「應」跟「得」是很大的差異,我們如果不討論,到時候是少數人去協商,還是傅崐萁跟黃國昌加翁曉玲幫大家決定,所以真的覺得這樣子會更讓人擔憂,是不是擇期再審?然後……

主席:謝謝。謝謝范雲委員。

郭委員昱晴:我補充一下……

主席:謝謝范雲委員,因為范雲委員有提到本席,我想我還是說明一下。一個世界快速變遷的法令框架,大家必須要很理性的看待,我們剛才已經提過了,2017年賴清德擔任行政院院長就已經不斷的說教育跟AI,到今年3月,有十幾位民進黨立法委員集結起來,說要作為優先法案,2月份賴清德總統作為民進黨的黨主席,他說是優先法案。我想不同的政黨也都非常關注,公聽會的時候,不同的人也都提出希望能夠儘快有一個框架,剛剛也有委員提到相關弱勢的保護等等,所以我想這一條我們就保留。那就進入下一條。

范委員雲:郭昱晴委員要發言,讓他先發言。

柯委員志恩:要不要先休息5分鐘?

主席:好,我們休息5分鐘,謝謝。

休息1157分)

繼續開會1225分)

主席:非常感謝跨黨派以及諸位委員對於人工智慧基本法的關注,我想剛剛也有非常充分的發言與討論,我們就共同請數位發展部於715日以前提出部版,本席會在721日那一週排審,這樣大家有沒有意見?

張委員雅琳:好,了解。

主席:如果沒有意見的話,我們就作如上決議。

關於今日會議作如下決議:對於委員質詢要求,或者剛剛對談需要資料或未及答復部分,相關機關儘速以書面答復,人工智慧基本法草案未及審查部分另定期繼續審查。我們也希望數發部本於世界趨勢變化只會越來越快,請務必於715日以前提出數發部部版。

萬美玲委員提供書面資料,列入會議紀錄。

本次會議議事錄授權主席確認後即上傳立法院全球資訊網公開。

委員萬美玲書面資料:

人工智慧基本法草案逐條

第二條(主管機關為國科會)

於人工智慧基本法草案第二條,明定主管機關為國科會一事,本席建議採用本席條文,理由:

1.行政院於今年2月將本法主管機關移撥到數位部,但是整部草案的架構、條文均由國科會主導制定,甚至去年法規公告、蒐集各方意見也都是國科會來做,貿然移撥到數位部,恐怕數位部難以通盤瞭解並執行國科會所擬定的條文架構。

1-1.從行政院2月將人工智慧基本法移撥到數位部,到6月草案還未送進立法院,便進一步證實本席所說的。

1-2.而且依人工智慧基本法草案規定,數位部須制定AI驗證工具或方法,及風險分類框架,但至今仍未制定完成,而且提供的進度書面資料,也未說明何時能制定出來,這樣的態度,讓人難以放心將人工智慧基本法草案的主管機關移撥到數位部,也會擔心我國AI發展進度會被數位部無限期的延宕。

2.此外,國科會做為我國最高科技主管機關,本來就跟產、學、研界均有密切的聯繫,若由國科會來主導,不僅可以加速AI發展速度,也能即時了解當前AI的發展進程。

3.再者,自從2022年科技部正式改組成國科會後,科技辦公室也併入國科會,相當於我國科技預算分配全由國科會來主導,國科會做為AI基本法主管機關,可以法律搭配政策、預算運用,加速AI發展及應用。

因此,本席極力主張,應讓國科會來主管人工智慧基本法!

第四條(AI應用應遵守原則)

於人工智慧基本法草案第四條,明定AI使用應遵守智財權一事,理由:

1.據本席瞭解,經濟部智慧財產局於20222023年陸續闡明對生成式AI模型的開發者,蒐集提供大量資料給AI模型訓練、學習的行為,已涉及「重製」原始著作行為,在2023616日經授智字第11252800520號函,針對AI侵害著作權部分提出見解,指出除有著作權法第44條至第63條合理使用的情形外,應取得著作財產權人之同意或授權,才可使用。

2.智慧財產局也表示,生成式AI模型以演算法利用網路上的著作進行學習,不屬於著作權法第44條至第63條規定的合理使用情形,需參酌著作權法第65條第2項所定合理使用的四個判斷因素:

一、利用的目的及性質,包括是商業目的或非營利教育目的。

二、著作的性質。

三、所利用的質量及其在整個著作所占的比例。

四、利用結果對著作潛在市場與現在價值的影響。

再依據個案,來做綜合判斷,所以對於AI的開發也不是絕對的限制,而是要合法的利用,藉此來建立「AI法定授權機制」。

例如:現行「法定授權」制度,著作權法第47條關於國民教育使用教科用書等的著作利用,利用人將利用情形通知著作財產權人,並支付使用報酬;這個使用報酬率,由主管機關來定,這樣就能均衡私權及公益,並協助AI發展。

3.再者,國際上已經有多起著作權人對AI工具開發商提起的侵權訴訟,為避免人工智慧之發展侵害他人智慧財產權,本席於條文中明定人工智慧發展及應用,應遵守智慧財產權,不能為了發展AI而侵權。

主席:報告委員會,今日議程處理完畢,現在散會,謝謝各位。

散會1227分)